Skip to main content

Plasma Concentration Monitoring of Busulfan

Does It Improve Clinical Outcome?

Abstract

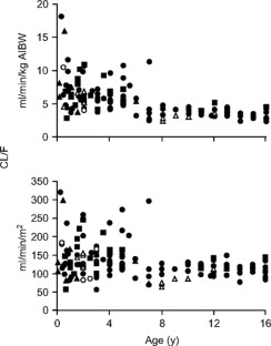
High dosage busulfan (1 mg/kg orally every 6 hours × 16 doses) is frequently used in preparative regimens for haemopoietic stem cell transplantation (HSCT). Busulfan is well absorbed after oral administration, exhibits low protein binding and is metabolised through conjugation with glutathione to form a thiophenium ion. At a given dose, there is considerable variability in the systemic exposure of busulfan, typically expressed as area under the plasma concentration-time curve (AUC) or average concentration at steady state (Css). Relative to that in adolescents and adults, patients less than 4 years of age have an increased apparent oral clearance (CL/F) of busulfan and a higher conjugation rate of busulfan with glutathione in the enterocyte.

Several investigators have identified relationships between busulfan Css and outcome in patients undergoing HSCT. Busulfan concentration-response relationships are regimen-, age- and disease-dependent. The busulfan/cyclophosphamide (BU/CY) regimen is the only regimen for which substantial concentration-outcome data exist. Generally, the risk of hepatic veno-occlusive disease is increased with busulfan Css > 900 µg/L.

The impact of busulfan Css on veno-occlusive disease may be influenced by the age of the patient and the dose of cyclophosphamide. Lower rates of relapse in chronic myelogenous leukaemia occur in patients with a busulfan Css > 917 µg/L without an increased risk of toxicity. Busulfan Css is also related to the engraftment rate in children, and escalating busulfan doses to achieve a target Css > 600 µg/L improves graft retention.

Therapeutic drug monitoring of busulfan should be performed to maximise the likelihood of engraftment and minimise the risk of toxicity and relapse in HSCT patients receiving the BU/CY preparative regimen.

This is a preview of subscription content, access via your institution.

Fig. 1
Table I
Fig. 2
Table II
Table III

References

  1. Hassan M, Oberg G, Ehrsson H, et al. Pharmacokinetic and metabolic studies of high-dose busulphan in adults. Eur J Clin Pharmacol 1989; 36: 525–30.

    PubMed  Article  CAS  Google Scholar 

  2. Shaw PJ, Scharping CE, Brian RJ, et al. Busulfan pharmacokinetics using a single daily high-dose regimen in children with acute leukemia. Blood 1994; 84: 2357–62.

    PubMed  CAS  Google Scholar 

  3. Dix SP, Wingard JR, Mullins RE, et al. Association of busulfan area under the curve with veno-occlusive disease following BMT. Bone Marrow Transplant 1996; 17: 225–30.

    PubMed  CAS  Google Scholar 

  4. Vassal G, Gouyette A, Hartmann O, et al. Pharmacokinetics of high-dose busulfan in children. Cancer Chemother Pharmacol 1989; 24: 386–90.

    PubMed  Article  CAS  Google Scholar 

  5. Regazzi MB, Locatelli F, Buggia I, et al. Disposition of highdose busulfan in pediatric patients undergoing bone marrow transplantation. Clin Pharmacol Ther 1993; 54: 45–52.

    PubMed  Article  CAS  Google Scholar 

  6. Hassan M, Ljungman P, Bolme P, et al. Busulfan bioavailability. Blood 1994; 84: 2144–50.

    PubMed  CAS  Google Scholar 

  7. Hollis L, Marcellus D, Jones R, et al. A pharmacokinetic study of oral and parenteral busulfan (Spartaject-TM) for myeloablation. Proceedings of the American Association for Cancer Research 1998; 39: 508 [online]. Available from URL: http://www.aacr.org/4000/4100/4100.html [Accessed 2000 Jul 13].

  8. Busulfex Product Information. Minnetonka (MN): Orphan Medical, 1999.

  9. Gibbs JP, Gooley T, Corneau B, et al. The impact of obesity and disease on busulfan oral clearance in adults. Blood 1999; 93: 4436–40.

    PubMed  CAS  Google Scholar 

  10. Grochow LB, Krivit W, Whitley CB, et al. Busulfan disposition in children. Blood 1990; 75: 1723–7.

    PubMed  CAS  Google Scholar 

  11. Vassal G, Deroussent A, Challine D, et al. Is 600 mg/m2the appropriate dosage of busulfan in children undergoing bone marrow transplantation? Blood 1992; 79: 2475–9.

    PubMed  CAS  Google Scholar 

  12. Ehrsson H, Hassan M. Binding of busulfan to plasma proteins and blood cells. J Pharm Pharmacol 1984; 36: 694–6.

    PubMed  Article  CAS  Google Scholar 

  13. Hassan M, Ehrsson H, Smedmyr B, et al. Cerebrospinal fluid and plasma concentrations of busulfan during high-dose therapy. Bone Marrow Transplant 1989; 4: 113–4.

    PubMed  CAS  Google Scholar 

  14. Hassan M, Oberg G, Bekassy AN, et al. Pharmacokinetics of high-dose busulphan in relation to age and chronopharmaco-logy. Cancer Chemother Pharmacol 1991; 28: 130–4.

    PubMed  Article  CAS  Google Scholar 

  15. Kashyap A, Wingard J, Cagnoni P, et al. Intravenous vs. oral busulfan as part of a BU/CY preparative regimen for allogeneic hematopoietic stem cell transplantation: decreased incidence of hepatic veno-occlusive disease [abstract]. Blood 1999; 94: 321b.

    Google Scholar 

  16. Ehrsson H, Hassan M, Ehrnebo M, et al. Busulfan kinetics. Clin Pharmacol Ther 1983; 34: 86–9.

    PubMed  Article  CAS  Google Scholar 

  17. Gibbs JP, Czerwinski M, Slattery JT. Busulfan-glutathione conjugation catalyzed by human liver cytosolic glutathione Stransferases. Cancer Res 1996; 56: 3678–81.

    PubMed  CAS  Google Scholar 

  18. Czerwinski M, Gibbs JP, Slattery JT. Busulfan conjugation by glutathione S-transferases alpha, mu, and pi. Drug Metab Dispos 1996; 24: 1015–9.

    PubMed  CAS  Google Scholar 

  19. Gibbs JP, Liacouras CA, Baldassano RN, et al. Up-regulation of glutathione S-transferase activity in enterocytes of young children. Drug Metab Dispos 1999; 27: 1466–9.

    PubMed  CAS  Google Scholar 

  20. Slattery JT, Sanders JE, Buckner CD, et al. Graft-rejection and toxicity following bone marrow transplantation in relation to busulfan pharmacokinetics [published erratum appears in Bone Marrow Transplant 1996 Oct; 18 (4): 829]. Bone Marrow Transplant 1995; 16: 31–42.

    PubMed  CAS  Google Scholar 

  21. Gibbs JP, Murray G, Risler L, et al. Age-dependent tetrahydrothiophenium ion formation in young children and adults receiving high-dose busulfan. Cancer Res 1997; 57: 5509–16.

    PubMed  CAS  Google Scholar 

  22. Murry DJ, Crom WR, Reddick WE, et al. Liver volume as a determinant of drug clearance in children and adolescents. Drug Metab Dispos 1995; 23: 1110–6.

    PubMed  CAS  Google Scholar 

  23. Schuler U, Schroer S, Kuhnle A, et al. Busulfan pharmacokinetics in bone marrow transplant patients: is drug monitoring warranted? Bone Marrow Transplant 1994; 14: 759–65.

    PubMed  CAS  Google Scholar 

  24. Vassal G, Fischer A, Challine D, et al. Busulfan disposition below the age of three: alteration in children with lysosomal storage disease. Blood 1993; 82: 1030–4.

    PubMed  CAS  Google Scholar 

  25. Hassan M, Fasth A, Gerritsen B, et al. Busulphan kinetics and limited sampling model in children with leukemia and inherited disorders. Bone Marrow Transplant 1996; 18: 843–50.

    PubMed  CAS  Google Scholar 

  26. Masauzi N, Higa T, Nakagawa S, et al. Pharmacokinetic study of busulfan in an AML patient treated with regular hemodialysis [letter]. Ann Hematol 1998; 77: 293–4.

    PubMed  Article  CAS  Google Scholar 

  27. Ullery LL, Gibbs JP, Ames GW, et al. Busulfan clearance in renal failure and hemodialysis. Bone Marrow Transplant 2000; 25: 201–3.

    PubMed  Article  CAS  Google Scholar 

  28. Grochow LB, Jones RJ, Brundrett RB, et al. Pharmacokinetics of busulfan: correlation with veno-occlusive disease in patients undergoing bone marrow transplantation. Cancer Chemother Pharmacol 1989; 25: 55–61.

    PubMed  Article  CAS  Google Scholar 

  29. Grochow LB. Busulfan disposition: the role of therapeutic monitoring in bone marrow transplantation induction regimens. Semin Oncol 1993; 20: 18–25.

    PubMed  CAS  Google Scholar 

  30. Pawlowska AB, Blazar BR, Angelucci E, et al. Relationship of plasma pharmacokinetics of high-dose oral busulfan to the outcome of allogeneic bone marrow transplantation in children with thalassaemia. Bone Marrow Transplant 1997; 20: 915–20.

    PubMed  Article  CAS  Google Scholar 

  31. Ljungman P, Hassan M, Bekassy AN, et al. High busulfan concentrations are associated with increased transplant-related mortality in allogeneic bone marrow transplantpatients. Bone Marrow Transplant 1997; 20: 909–13.

    PubMed  Article  CAS  Google Scholar 

  32. Hassan M, Oberg G, Ljungman P, et al. Correlation between hepatic veno-occlusive disease (VOD) and busulphan levels using limited sampling model for dose estimation. 39th Annual Meeting of the American Society of Hematology; 1997 Dec 5–7; San Diego (CA). Blood 1997; 90 Suppl.: 1106A.

  33. Kashyap A, Synold T, Parker P, et al. First dose area under the curve (AUC) of oral busulfan predicts risk of developing veno-occlusive diseases (VOD) in adult allogeneic bone marrow transplant (BMT) patients [abstract]. Proc Am Soc Clin Oncol 1997; 16: 215a.

    Google Scholar 

  34. Poonkuzhali B, Srivastava A, Quernin MH, et al. Pharmacokinetics of oral busulphan in children with beta thalassaemia major undergoing allogeneic bone marrow transplantation. Bone Marrow Transplant 1999; 24: 5–11.

    PubMed  Article  CAS  Google Scholar 

  35. Bolinger AM, Zangwill AB, Slattery JT, et al. An evaluation of engraftment, toxicity and busulfan concentration in children receiving bone marrow transplantation for leukemia or genetic disease. Bone Marrow Transplant 2000; 25: 925–30.

    PubMed  Article  CAS  Google Scholar 

  36. DeLeve LD. Cellular target of cyclophosphamide toxicity in the murine liver: role of glutathione and site of metabolic activation. Hepatology 1996; 24: 830–7.

    Article  Google Scholar 

  37. McDonald GB, Ren S, Bouvier ME, et al. Venoocclusive disease of the liver and cyclophosphamide pharmacokinetics: a prospective study in marrow transplant patients [abstract]. Hepatology 1999; 17: 314A.

    Google Scholar 

  38. Slattery JT, Clift RA, Buckner CD, et al. Marrow transplantation for chronic myeloid leukemia: the influence of plasma busulfan levels on the outcome of transplantation. Blood 1997; 89: 3055–60.

    PubMed  CAS  Google Scholar 

  39. Demirer T, Buckner CD, Appelbaum FR, et al. Busulfan, cyclophosphamide and fractionated total body irradiation for au-tologous or syngeneic marrow transplantation for acute and chronic myelogenous leukemia: phase I dose escalation of busulfan based on targeted plasma levels. Bone Marrow Transplant 1996; 17: 491–5.

    PubMed  CAS  Google Scholar 

  40. Vassal G, Koscielny S, Challine D, et al. Busulfan disposition and hepatic veno-occlusive disease in children undergoing bone marrow transplantation. Cancer Chemother Pharmacol 1996; 37: 247–53.

    PubMed  Article  CAS  Google Scholar 

  41. Baker KS, Bostrom B, DeFor T, et al. Busulfan pharmacokinetics do not predict relapse in acute myelogenous leukemia [abstract]. Blood 1999; 94: 144a.

    Google Scholar 

  42. Hobbs JR, Hugh-Jones K, Shaw PJ, et al. Engraftment rates related to busulphan and cyclophosphamide dosages for displacement bone marrow transplants in fifty children. Bone Marrow Transplant 1986; 1: 201–8.

    PubMed  CAS  Google Scholar 

  43. Yeager AM, Wagner Jr JE, Graham ML, et al. Optimization of busulfan dosage in children undergoing bone marrow transplantation: a pharmacokinetic study of dose escalation. Blood 1992; 80: 2425–8.

    PubMed  CAS  Google Scholar 

  44. Bolinger AM, Zangwill AB, Slattery JT, et al. Target dose adjustment of busulfan using pharmacokinetic parameters in pediatric patients undergoing bone marrow transplantation for malignancy or genetic disease [abstract]. Blood 1999; 94: 145a.

    Google Scholar 

  45. Dennison D, Chandy M, Poonkuzhali B, et al. Plasma busulfan levels influence rejection in bone marrow transplantation for homozygous beta thalassaemia [abstract]. Blood 1998; 91: 127a.

    Google Scholar 

  46. Masson E, Zamboni WC. Pharmacokinetic optimisation of cancer chemotherapy: effect on outcomes. Clin Pharmacokinet 1997; 32: 324–43.

    PubMed  Article  CAS  Google Scholar 

  47. McLeod HL. Therapeutic drug monitoring opportunities in cancer therapy. Pharmacol Ther 1997; 74: 39–54.

    PubMed  Article  CAS  Google Scholar 

  48. Slattery JT, Risler LJ. Therapeutic monitoring of busulfan in hematopoietic stem cell transplantation. Ther Drug Monit 1998; 20: 543–9.

    PubMed  Article  CAS  Google Scholar 

  49. Bolinger AM, Zangwill AB, Slattery JT, et al. Target dose adjustment of busulfan using pharmacokinetic parameters in pediatric patients undergoing bone marrow transplantation for malignancy or inborn errors [abstract]. Blood 1997; 90: 374a.

    Google Scholar 

  50. Regazzi MB, Locatelli F, Buggia I, et al. Pharmacodynamic, pharmacokinetic and plasma monitoring of busulfan in pediatrie patients undergoing bone marrow transplantation [abstract #199]. Fifth International Congress of Therapeutic Drug Monitoring and Clinical Toxicity; 1997 Nov 10–14; Vancouver. Ther Drug Monit 1997; 19: 597.

    Article  Google Scholar 

  51. Quernin MH, Poonkuzhali B, Montes C, et al. Quantification of busulfan in plasma by gas chromatography-mass spectrometry following derivatization with tetrafluorothiophenol. J Chromatogr B Biomed Sci Appl 1998; 709: 47–56.

    PubMed  Article  CAS  Google Scholar 

  52. Demirer T, Buckner CD, Appelbaum FR, et al. Busulfan, cyclophosphamide and fractionated total body irradiation for allogeneic marrow transplantation in advanced acute and chronic myelogenous leukemia: phase I dose escalation of busulfan based on targeted plasma levels. Bone Marrow Transplant 1996; 17: 341–6.

    PubMed  CAS  Google Scholar 

  53. Decker JC, Lindley C, McCune JS, et al. Target dose adjustment of busulfan using pharmacokinetic parameters in pediatrie patients undergoing bone marrow transplantation [abstract]. Proc Am Soc Clin Oncol 1998; 18: 189a.

    Google Scholar 

  54. Chattergoon DS, Saunders EF, Klein J, et al. An improved limited sampling method for individualised busulphan dosing in bone marrow transplantation in children. Bone Marrow Transplant 1997; 20: 347–54.

    PubMed  Article  CAS  Google Scholar 

Download references

Acknowledgements

This work was supported by National Institutes of Health Grant CA 18029.

Author information

Affiliations

Authors

Corresponding author

Correspondence to John T. Slattery.

Rights and permissions

Reprints and Permissions

About this article

Cite this article

McCune, J.S., Gibbs, J.P. & Slattery, J.T. Plasma Concentration Monitoring of Busulfan. Clin Pharmacokinet 39, 155–165 (2000). https://doi.org/10.2165/00003088-200039020-00005

Download citation

  • Published:

  • Issue Date:

  • DOI: https://doi.org/10.2165/00003088-200039020-00005

Keywords

  • Therapeutic Drug Monitoring
  • Chronic Myelogenous Leukaemia
  • Busulfan
  • Preparative Regimen
  • Chronic Myelogenous Leukaemia Patient