Abstract
The absence of head-to-head trials is a common challenge in comparative effectiveness research and health technology assessment. Indirect cross-trial treatment comparisons are possible, but can be biased by cross-trial differences in patient characteristics. Using only published aggregate data, adjustment for such biases may be impossible. Although individual patient data (IPD) would permit adjustment, they are rarely available for all trials. However, many researchers have the opportunity to access IPD for trials of one treatment, a new drug for example, but only aggregate data for trials of comparator treatments. We propose a method that leverages all available data in this setting by adjusting average patient characteristics in trials with IPD to match those reported for trials without IPD. Treatment outcomes, including continuous, categorical and censored time-to-event outcomes, can then be compared across balanced trial populations.
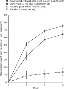
The proposed method is illustrated by a comparison of adalimumab and etanercept for the treatment of psoriasis. IPD from trials of adalimumab versus placebo (n = 1025) were re-weighted to match the average baseline characteristics reported for a trial of etanercept versus placebo (n = 330). Reweighting was based on the estimated propensity of enrolment in the adalimumab versus etanercept trials. Before matching, patients in the adalimumab trials had lower mean age, greater prevalence of psoriatic arthritis, less prior use of systemic treatment or phototherapy, and a smaller mean percentage of body surface area affected than patients in the etanercept trial. After matching, these and all other available baseline characteristics were well balanced across trials. Symptom improvements of ≥75% and ≥90% (as measured by the Psoriasis Area and Severity Index [PASI] score at week 12) were experienced by an additional 17.2% and 14.8% of adalimumab-treated patients compared with the matched etanercept-treated patients (respectively, both p < 0.001). Mean percentage PASI score improvements frombaseline were also greater for adalimumab than for etanercept at weeks 4, 8 and 12 (all p < 0.05). Matching adjustment ensured that this indirect comparison was not biased by differences in mean baseline characteristics across trials, supporting the conclusion that adalimumab was associated with significantly greater symptom reduction than etanercept for the treatment of moderate to severe psoriasis.
This is a preview of subscription content, log in to check access.




References
- 1.
Bucher HC, Guyatt GH, Griffith LE, et al. The results of direct and indirect treatment comparisons in meta-analysis of randomized controlled trials. J Clin Epidemiol 1997; 50: 683–91
- 2.
Lumley T. Network meta-analysis for indirect treatment comparisons. Stat Med 2002; 21: 2313–24
- 3.
Eckert L, Falissard B. Using meta-regression in performing indirect-comparisons: comparing escitalopram with venlafaxine XR. Curr Med Res Opin 2006; 22 (11): 2313–21
- 4.
Nixon RM, Bansback N, Brennan A. Using mixed treatment comparisons and meta-regression to perform indirect comparisons to estimate the efficacy of biologic treatments in rheumatoid arthritis. Stat Med 2007; 26: 1237–54
- 5.
Glenny AM, Altman DG, Song F, et al. Indirect comparisons of competing interventions. Health Technol Assess 2005; 9 (26): 1–134
- 6.
Sutton A, Ades AE, Cooper N, et al. Use of indirect and mixed treatment comparisons for technology assessment. Pharmacoeconomics 2008; 26: 753–67
- 7.
Phillips A. Trial and error: cross-trial comparisons of antiretroviral regimens. AIDS 2003; 17 (4): 619–23
- 8.
Cranney A, Guyatt G, Griffith L, et al. Meta-analyses of therapies for postmenopausal osteoporosis: IX. Summary of meta-analyses of therapies for postmenopausal osteoporosis. Endocr Rev 2002; 23 (4): 570–8
- 9.
Deeks JJ, Higgins JPT, Altman DG, et al. Analysing and presenting results. In: Higgins JPT, Green S, editors. Cochrane handbook for systematic reviews of interventions 4.2.6 [updated 2006 Sep]; Section 8. Chichester: JohnWiley & Sons, Ltd, 2006 [online]. Available from URL: http://www.cochrane.org/sites/default/files/uploads/Handbook4.2.6Sep2006.pdf [Accessed 2010 Jun 23]
- 10.
Berlin JA, Santanna J, Schmid CH, et al. Individual patientversus group-level data meta-regressions for the investigation of treatment effect modifiers: ecological bias rears its ugly head. Stat Med 2002; 21 (3): 371–87
- 11.
Pignon JP, Arriagada R, Ihde DC, et al. A meta-analysis of thoracic radiotherapy for small-cell lung cancer. N Engl J Med 1992; 327: 1618–24
- 12.
Homocysteine Lowering Trialists’ Collaboration. Lowering blood homocysteine with folic acid based supplements: meta-analysis of randomised trials. BMJ 1998; 316: 894–8
- 13.
Non-small Cell Lung Cancer Collaborative Group. Chemotherapy in non-small cell lung cancer; a meta-analysis using updated data on individual patients from 52 randomised clinical trials. BMJ 1995; 311: 899–909
- 14.
Moore RA, McQuay HJ. Single-patient data metaanalysis of 3453 postoperative patients: oral tramadol versus placebo, codeine and combination analgesics. Pain 1997; 69: 287–94
- 15.
Turner RM, Omar RZ, Yang M, et al. A multilevel model framework for meta-analysis of clinical trials with binary outcomes. Stat Med 2000; 19: 3417–32
- 16.
Ross SD. Trends inmeta-analysis. Drug Inf J 2009; 43: 171–6
- 17.
Sutton A, Higgins J. Recent developments in meta-analysis. Stat Med 2008; 27: 625–50
- 18.
Neumann PJ, Drummond MF, JÖ nsson B, et al. Are key principles for improved health technology assessment supported and used by health technology assessment organizations? Int J Technol Assess Health Care 2010; 26 (1): 71–8
- 19.
Sutton A, Kendrick D, Coupland CA. Meta-analysis of individual-and aggregate-level data. Stat Med 2008; 27 (5): 651–69
- 20.
Riley RD, Lambert PC, Staessen JA, et al. Meta-analysis of continuous outcomes combining individual patient data and aggregate data. Stat Med 2008; 27 (11): 1870–93
- 21.
Riley RD, Simmonds MC, Look MP. Evidence synthesis combining individual patient data and aggregate data: a systematic review identified current practice and possible methods. J Clin Epidemiol 2007; 60 (5): 431–9
- 22.
National Psoriasis Foundation. Benchmark survey on psoriasis and psoriatic arthritis: summary of top-line results [online]. Available from URL: http://www.webcitation.org/query.php?url=http://www.psoriasis.org/files/pdfs/press/npfsurvey.pdf&refdoi=10.1186/1477-7525-4-35 [Accessed 2010 Jun 23]
- 23.
Stern RS, Nijsten T, Feldman SR, et al. Psoriasis is common, carries a substantial burden even when not extensive, and is associated with widespread treatment dissatisfaction. J Investig Dermatol Symp Proc 2004; 9: 136–9
- 24.
Gottlieb AB, Chao C, Dann F. Psoriasis comorbidities. J Dermatolog Treat 2008; 19: 5–21
- 25.
Kimball AB, Jacobson C, Weiss S, et al. The psychosocial burden of psoriasis. Am J Clin Dermatol 2005; 6: 383–92
- 26.
Saurat JH, Stingl G, Dubertret L, et al. Efficacy and safety results from the randomized controlled comparative study of adalimumab vs methotrexate vs placebo in patients with psoriasis (CHAMPION). Br J Dermatol 2008; 158: 558–66
- 27.
Menter A, Tyring SK, Gordon K, et al. Adalimumab therapy for moderate to severe psoriasis: a randomized, controlled phase III trial. J Am Acad Dermatol 2008; 58: 106–15
- 28.
Leonardi CL, Powers JL, Matheson RT, et al. Etanercept as monotherapy in patients with psoriasis. N Engl J Med 2003; 349 (21): 2014–22
- 29.
Papp KA, Tyring S, Lahfa M, et al. A global phase III randomized controlled trial of etanercept in psoriasis: safety, efficacy, and effect of dose reduction. Br J Dermatol 2005; 152: 1304–12
- 30.
Gordon KB, Langley RG, Leonardi C, et al. Clinical response to adalimumab treatment in patients with moderate to severe psoriasis: double-blind, randomized controlled trial and open-label extension study. J Am Acad Dermatol 2006; 55: 598–606
- 31.
Moher D, Schulz KF, Altman DG. The CONSORT statement: revised recommendations for improving the quality of reports of parallel-group randomised trials. Lancet 2001; 57 (9263): 1191–4
- 32.
Hirano K, Imbens GW, Ridder G. Efficient estimation of average treatment effects using the estimated propensity score. Econometrica 2003; 71 (4): 1161–89
- 33.
Rosenbaum P, Rubin D. Reducing bias in observational studies using subclassification on the propensity score. J Am Stat Assoc 1984; 79 (387): 516–24
- 34.
Yu A, Johnson S, Wang S-T, et al. Cost utility of adalimumab versus infliximab maintenance therapies in the United States for moderately to severely active Crohn’s disease. Pharmacoeconomics 2009; 27 (7): 609–21
- 35.
Stuart EA. Matching methods for causal inference: a review and a look forward. Stat Sci [online]. Available from URL: http://www.e-publications.org/ims/submission/index.php/STS/user/submissionFile/482?confirm=92cac221 [Accessed 23 Jun 2010]
Acknowledgements
This study was supported by Abbott Laboratories, Inc. and Analysis Group, Inc. Editorial support was provided by Ellen Stoltzfus, PhD, of JK Associates. JES, EQW, APY and EK are employees of Analysis Group, Inc., which received funding for this research from Abbott Laboratories. CMG, YB, SRG and PMM are employees and shareholders of Abbott Laboratories.
Author information
Affiliations
Corresponding author
Electronic supplementary material
Rights and permissions
About this article
Cite this article
Signorovitch, J.E., Wu, E.Q., Yu, A.P. et al. Comparative Effectiveness Without Head-to-Head Trials. Pharmacoeconomics 28, 935–945 (2010). https://doi.org/10.2165/11538370-000000000-00000
Published:
Issue Date:
Keywords
- Psoriasis
- Etanercept
- Adalimumab
- Individual Patient Data
- Indirect Comparison