Abstract
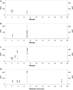
An isocratic high-performance liquid chromatographic method has been developed for assay of ceftiofur sodium in drug substance and in sterile powder for injection. Chromatography was performed on a 250 mm × 4.6 mm, 5 μm particle, C18 column with a 78:22 (v/v) mixture of 0.02 m disodium hydrogen phosphate buffer (pH adjusted to 6.0 with 85% orthophosphoric acid) and acetonitrile as mobile phase, at a flow rate of 1.0 mL min−1. The separation was monitored by UV detection at 292 nm. Validation of the method for linearity and range, intra- and inter-day precision, accuracy, specificity, recovery, robustness, and limits of quantification and detection yielded good results. The calibration plot was linear from 20.0–120.0 μg mL−1 and the correlation coefficient was 0.9999. It was shown that ceftiofur was degraded under acidic, alkaline, oxidative, and photolytic conditions. The method was found to be stability-indicating and could be used for routine analysis of ceftiofur sodium for injection.




Similar content being viewed by others
References
Salmon SA, Watts JL, Case CA, Hoffman LJ, Wegener HC, Yancey RJ (1995) J Clin Microbiol 33:2435–2444
Erskine RJ, Wilson RC, Tyler JW, McClure KA, Nelson RS, Spears HJ (1995) Am J Vet Res 56:481–485
Stanek C, Kofler J (1998) Tierarztl Prax. Ausgabe G Grosstiere/Nutztiere 26:314–317
Dalhoff A (1998) Antibiotics and chemotherapy. Karger, New York, pp 148
Neu HC (1992) Ann Intern Med 97:408–419
Yancey RJ, Kinney ML, Robert BJ, Goodenough KR, Hamel JC, Ford CW (1987) Am J Vet Res 48:1050–1053
Merck (2001) The Merck index, 13th edn. Whitehouse Station, New Jersey, pp 334
Tyczkowska KL, Voyksner RD, Straub RF, Anderson KL, Aronson AL (1993) J Chromatogr 614:123–134
Tyczkowska KL, Voyksner RD, Straub RF, Aronson AL (1994) J Assoc Off Anal Chem 77:1122–1131
Moats WA, Harik-Kham RJ (1995) J Assoc Off Anal Chem 78:49–54
Hamlow PJ (1995) Animal health drug metabolism, 7926. Upjohn Laboratories
Jacobson GA, Martinod S, Cunningham CP (2006) J Pharm Biomed Anal 40:1249–1252
Straub R, Linder M, Voyksner RD (1994) Anal Chem 66:3651–3658
Keever J, Voykner RD, Tyczkowska KL (1998) J Chromatogr A 794:57–62
Navarre CB, Zhang L, Sunkara G, Duran SH, Kompella UB (1999) J Vet Pharmacol Ther 22:13–19
Sörensen LK, Snor LK (2000) J Chromatogr A 882:145–151
Bruno F, Curini R, Di Corcia A, Nazzari M, Samperi R (2001) J Agric Food Chem 49:3463–3470
Makeswaran S, Patterson I, Points J (2005) Anal Chim Acta 529:151–157
ICH (1996) International conference on harmonization of technical requirements for registration of pharmaceuticals, validation of analytical procedures; methodology, harmonised tripartite guideline. ICH, Geneva
United States pharmacopeial convention (2005) United States pharmacopeia, 28th edn. USP, Rockville, pp 2748–2751
Lerner DA, Bonnefond G, Fabre H, Mandrou B, Simeon De Bouchberg M (1988) J Pharm Sci 77:699–703
Rabouan-Guyon SM, Guet AF, Courtois PY, Barthes DMC (1997) Int J Pharm 154:185–190
Acknowledgements
The authors wish to thank Eurofarma Laboratories Ltda, São Paulo, Brazil, for providing the reference substance. This study was performed with the collaboration of Universidade Federal do Rio Grande do Sul-UFRGS and Universidade Federal de Santa Maria-UFSM.
Author information
Authors and Affiliations
Corresponding author
Rights and permissions
About this article
Cite this article
Souza, M.J.e., Nogueira, D.R., Silva, L.M. et al. Development and Validation of an HPLC Method for Determination of Ceftiofur Sodium. Chroma 65, 401–406 (2007). https://doi.org/10.1365/s10337-006-0163-9
Received:
Revised:
Accepted:
Published:
Issue Date:
DOI: https://doi.org/10.1365/s10337-006-0163-9


