Perturbative Quantum Gravity and its Relation to Gauge Theory
- 1.8k Downloads
- 112 Citations
Abstract
In this review we describe a non-trivial relationship between perturbative gauge theory and gravity scattering amplitudes. At the semi-classical or tree-level, the scattering amplitudes of gravity theories in flat space can be expressed as a sum of products of well defined pieces of gauge theory amplitudes. These relationships were first discovered by Kawai, Lewellen, and Tye in the context of string theory, but hold more generally. In particular, they hold for standard Einstein gravity. A method based on D-dimensional unitarity can then be used to systematically construct all quantum loop corrections order-by-order in perturbation theory using as input the gravity tree amplitudes expressed in terms of gauge theory ones. More generally, the unitarity method provides a means for perturbatively quantizing massless gravity theories without the usual formal apparatus associated with the quantization of constrained systems. As one application, this method was used to demonstrate that maximally supersymmetric gravity is less divergent in the ultraviolet than previously thought.
Keywords
Gauge Theory Open String Feynman Rule Tree Amplitude Loop Momentum1 Introduction
Since its inception, it has been clear that General Relativity has many striking similarities to gauge theories. Both are based on the idea of local symmetry and therefore share a number of formal properties. Nevertheless, their dynamical behavior can be quite different. While Maxwell electrodynamics describes a long-range force similar to the situation with gravity, the non-Abelian gauge theories used to describe the weak and strong nuclear forces have rather different behaviors. Quantum chromodynamics, which describes the strong nuclear forces, for example, exhibits confinement of particles carrying the non-Abelian gauge charges. Certainly, there is no obvious corresponding property for gravity. Moreover, consistent quantum gauge theories have existed for a half century, but as yet no satisfactory quantum field theory of gravity has been constructed; indeed, there are good arguments suggesting that it is not possible to do so. The structures of the Lagrangians are also rather different: The non-Abelian Yang Mills Lagrangian contains only up to four-point interactions while the Einstein-Hilbert Lagrangian contains infinitely many.
Despite these differences, string theory teaches us that gravity and gauge theories can, in fact, be unified. The Maldacena conjecture [94, 2], for example, relates the weak coupling limit of a gravity theory on an anti-de Sitter backround to a strong coupling limit of a special supersymmetric gauge field theory. There is also a long history of papers noting that gravity can be expressed as a gauging of Lorentz symmetry [135, 82, 78], as well as examples of non-trivial similarities between classical solutions of gravity and non-Abelian gauge theo ries [126]. In this review a different, but very general, relationship between the weak coupling limits of both gravity and gauge theories will be described. This relationship allows gauge theories to be used directly as an aid for computations in perturbative quantum gravity.
The KLT relations hold at the semi-classical level, i. e. with no quantum loops. In order to exploit the KLT relations in quantum gravity, one needs to completely reformulate the quantization process; the standard methods starting either from a Hamiltonian or a Lagrangian provide no obvious means of exploiting the KLT relations. There is, however, an alternative approach based on obtaining the quantum loop contributions directly from the semi-classical tree-level amplitudes by using D-dimensional unitarity [15, 16, 28, 20, 115]. These same methods have also been applied to non-trivial calculations in quantum chromodynamics (see e.g. Refs. [28, 21, 12]) and in supersymmetric gauge theories (see e.g. Refs. [15, 16, 29, 19]). In a sense, they provide a means for obtaining collections of quantum loop-level Feynman diagrams without direct reference to the underlying Lagrangian or Hamiltonian. The only inputs with this method are the D-dimensional tree-level scattering amplitudes. This makes the unitarity method ideally suited for exploiting the KLT relations.
An interesting application of this method of perturbatively quantizing gravity is as a tool for investigating the ultra-violet behavior of gravity field theories. Ultraviolet properties are one of the central issues of perturbative quantum gravity. The conventional wisdom that quantum field theories of gravity cannot possibly be fundamental rests on the apparent non-renormalizability of these theories. Simple power counting arguments strongly suggest that Einstein gravity is not renormalizable and therefore can be viewed only as a low energy effective field theory. Indeed, explicit calculations have established that non-supersymmetric theories of gravity with matter generically diverge at one loop [132, 43, 42], and pure gravity diverges at two loops [66, 136]. Supersymmetric theories are better behaved with the first potential divergence occurring at three loops [39, 81, 80]. However, no explicit calculations have as yet been performed to directly verify the existence of the three-loop supergravity divergences.
The method described here for quantizing gravity is well suited for addressing the issue of the ultraviolet properties of gravity because it relates overwhelmingly complicated calculations in quantum gravity to much simpler (though still complicated) ones in gauge theories. The first application was for the case of maximally supersymmetric gravity, which is expected to have the best ultraviolet properties of any theory of gravity. This analysis led to the surprising result that maximally supersymmetric gravity is less divergent [19] than previously believed based on power counting arguments [39, 81, 80]. This lessening of the power counting degree of divergence may be interpreted as an additional symmetry unaccounted for in the original analysis [128]. (The results are inconsistent, however, with an earlier suggestion [73] based on the speculated existence of an unconstrained covariant off-shell superspace for N = 8 supergravity, which in D = 4 implies finiteness up to seven loops. The non-existence of such a superspace was already noted a while ago [80].) The method also led to the explicit construction of the two-loop divergence in eleven-dimensional supergravity [19, 40, 41, 17]. More recently, it aided the study of divergences in type I supergravity theories [54] where it was noted that they factorize into products of gauge theory factors.
Other applications include the construction of infinite sequences of amplitudes in gravity theories. Given the complexity of gravity perturbation theory, it is rather surprising that one can obtain compact expressions for an arbitrary number of external legs, even for restricted helicity or spin configurations of the particles. The key for this construction is to make use of previously known sequences in quantum chromodynamics. At tree-level, infinite sequences of maximally helicity violating amplitudes have been obtained by directly using the KLT relations [10,14] and analogous quantum chromodynamics sequences. At one loop, by combining the KLT relations with the unitarity method, additional infinite sequences of gravity and super-gravity amplitudes have also been obtained [22, 23]. They are completely analogous to and rely on the previously obtained infinite sequences of one-loop gauge theory amplitudes [11, 15, 16]. These amplitudes turn out to be also intimately connected to those of self-dual Yang Mills [143, 53, 93, 92, 4, 30, 33] and gravity [108, 52, 109]. The method has also been used to explicitly compute two-loop supergravity amplitudes [19] in dimension D = 11, that were then used to check M-theory dualities [68].
Although the KLT relations have been exploited to obtain non-trivial results in quantum gravity theories, a derivation of these relations from the Einstein-Hilbert Lagrangian is lacking. There has, however, been some progress in this regard. It turns out that with an appropriate choice of field variables one can separate the space-time indices appearing in the Lagrangian into ‘left’ and ‘right’ classes [124, 123, 125, 26], mimicking the similar separation that occurs in string theory. Moreover, with further field redefinitions and a non-linear gauge choice, it is possible to arrange the off-shell three-graviton vertex so that it is expressible in terms of a sum of squares of Yang-Mills three-gluon vertices [26]. It might be possible to extend this more generally starting from the formalism of Siegel [124, 123, 125], which contains a complete gravity Lagrangian with the required factorization of space-time indices.
This review is organized as follows. In Section 2 the Feynman diagram approach to perturbative quantum gravity is outlined. The Kawai, Lewellen, and Tye relations between open and closed string tree amplitudes and their field theory limit are described in Section 3. Applications to understanding and constructing tree-level gravity amplitudes are also described in this section. In Section 4 the implications for the Einstein-Hilbert Lagrangian are presented. The procedure for obtaining quantum loop amplitudes from gravity tree amplitudes is then given in Section 5. The application of this method to obtain quantum gravity loop amplitudes is described in Section 6. In Section 7 the quantum divergence properties of maximally supersymmetric supergravity obtained from this method are described. The conclusions are found in Section 8.
There are a number of excellent sources for various subtopics described in this review. For a recent review of the status of quantum gravity the reader may consult the article by Carlip [31]. The conventional Feynman diagram approach to quantum gravity can be found in the Les Houches lectures of Veltman [138]. A review article containing an early version of the method described here of using unitarity to construct complete loop amplitudes is ref. [20]. Excellent reviews containing the quantum chromodynamics amplitudes used to obtain corresponding gravity amplitudes are the ones by Mangano and Parke [99], and by Lance Dixon [48]. These reviews also provide a good description of helicity techniques which are extremely useful for explicitly constructing scattering amplitude in gravity and gauge theories. Broader textbooks describing quantum chromodynamics are Refs. [107, 141, 58]. Chapter 7 of Superstring Theory by Green, Schwarz, and Witten [70] contains an illuminating discussion of the relationship of closed and open string tree amplitudes, especially at the four-point level. A somewhat more modern description of string theory may be found in the book by Polchinski [110, 111]. Applications of string methods to quantum field theory are described in a recent review by Schubert [120].
2 Outline of the Traditional Approach to Perturbative Quantum Gravity
2.1 Overview of gravity Feynman rules
Scattering of gravitons in flat space may be described using Feynman diagrams [44, 45, 138]. The Feynman rules for constructing the diagrams are obtained from the Einstein-Hilbert Lagrangian coupled to matter using standard procedures of quantum field theory. (The reader may consult any of the textbooks on quantum field theory [107, 141] for a derivation of the Feynman rules starting from a given Lagrangian.) For a good source describing the Feynman rules of gravity, the reader may consult the classic lectures of Veltman [138].
The Feynman propagator and three- and four-point vertices in Einstein gravity.
Sample gravity tree-level Feynman diagrams. The lines represent any particles in a gravity theory.
Sample loop-level Feynman diagrams. Each additional loop represents an extra power of Planck’s constant.
2.2 Divergences in quantum gravity
In general, the loop momentum integrals in a quantum field theory will diverge in the ultraviolet where the momenta in the loops become arbitrarily large. Unless these divergences are of the right form they indicate that a theory cannot be interpreted as fundamental, but is instead valid only at low energies. Gauge theories such as quantum chromodynamics are renormalizable: Divergences from high energy scales can be absorbed into redefinitions of the original parameters appearing in the theory. In quantum gravity, on the other hand, it is not possible to re-absorb divergences in the original Lagrangian for a very simple reason: The gravity coupling \(k = \sqrt {32\pi {G_N}} \), where GN is Newton’s constant, carries dimensions of length (in units where ħ = c = 1). By dimensional analysis, any divergence must be proportional to terms with extra derivatives compared to the original Lagrangian and are thus of a different form. This may be contrasted to the gauge theory situation where the coupling constant is dimensionless, allowing for the theory to be renormalizable.
The problem of non-renormalizability of quantum gravity does not mean that quantum mechanics is incompatible with gravity, only that quantum gravity should be treated as an effective field theory [140, 64, 51, 84, 100] for energies well below the Planck scale of 1019 GeV (which is, of course, many orders of magnitude beyond the reach of any conceivable experiment). In an effective field theory, as one computes higher loop orders, new and usually unknown couplings need to be introduced to absorb the divergences. Generally, these new couplings are suppressed at low energies by ratios of energy to the fundamental high energy scale, but at sufficiently high energies the theory loses its predictive power. In quantum gravity this happens at the Planck scale.
Quantum gravity based on the Feynman diagram expansion allows for a direct investigation of the non-renormalizability issue. For a theory of pure gravity with no matter, amazingly, the one-loop divergences cancel, as demonstrated by ’t Hooft and Veltman1 [132]. Unfortunately, this result is “accidental”, since it does not hold generically when matter is added to the theory or when the number of loops is increased. Explicit calculations have shown that non-supersymmetric theories of gravity with matter generically diverge at one loop [132, 43, 42], and pure gravity diverges at two loops [66, 136]. The two-loop calculations were performed using various improvements to the Feynman rules such as the background field method [130, 46, 1].
Supersymmetric theories of gravity are known to have less severe divergences. In particular, in any four-dimensional supergravity theory, supersymmetry Ward identities [72, 71] forbid all possible one-loop [74] and two-loop [101, 134] divergences. There is a candidate divergence at three loops for all supergravities including the maximally extended N = 8 version [39, 81, 83, 80]. However, no explicit three-loop (super)gravity calculations have been performed to confirm the divergence. In principle it is possible that the coefficient of a potential divergence obtained by power counting can vanish, especially if the full symmetry of the theory is taken into account. As described in Section 7, this is precisely what does appear to happen [19, 128] in the case of maximally supersymmetric supergravity.
An example of a five-loop diagram.
2.3 Gravity and gauge theory Feynman rules
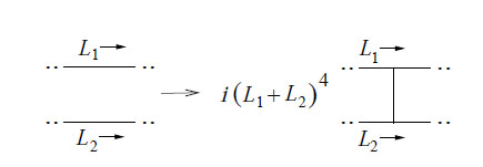
String theory suggests that the three-graviton vertex can be expressed in terms of products of three-gluon vertices.
Such relations, however, do not hold in any of the standard formulations of gravity. For example, the three-vertex in the standard de Donder gauge (3) contains traces over gravitons, i. e. a contraction of indices of a single graviton. For physical gravitons the traces vanish, but for gravitons appearing inside Feynman diagrams it is in general crucial to keep such terms. A necessary condition for obtaining a factorizing three-graviton vertex (4) is that the “left” μ i indices never contract with the “right” ν i indices. This is clearly violated by the three-vertex in Eq. (3). Indeed, the standard formulations of quantum gravity generate a plethora of terms that violate the heuristic relation (1).
In Section 4 the question of how one rearranges the Einstein action to be compatible with string theory intuition is returned to. However, in order to give a precise meaning to the heuristic formula (1) and to demonstrate that scattering amplitudes in gravity theories can indeed be obtained from standard gauge theory ones, a completely different approach from the standard Lagrangian or Hamiltonian ones is required. This different approach is described in the next section.
3 The Kawai-Lewellen-Tye Relations
Our starting point for constructing perturbative quantum gravity is the Kawai, Lewellen, and Tye (KLT) relations [85] between closed and open string tree-level amplitudes. Since closed string theories are theories of gravity and open string theories include gauge bosons, in the low energy limit, where string theory reduces to field theory, these relations then necessarily imply relations between gravity and gauge theories. The realization that ordinary gauge and gravity field theories emerge from the low energy limit of string theories has been appreciated for nearly three decades. (See, for example, Refs. [144, 118, 117, 69, 70, 110, 111].)
3.1 The KLT relations in string theory
As demonstrated by KLT, the property that closed string tree amplitudes can be expressed in terms of products of open string tree amplitudes is completely general for any string states and for any number of external legs. In general, it holds also for each of the huge number of possible string compactifications [102, 103, 49, 50, 86, 3].
3.2 The KLT relations in field theory
The KLT equations generically hold for any closed string states, using their Fock space factorization into pairs of open string states. Although not obvious, the gravity amplitudes (10) and (11) have all the required symmetry under interchanges of identical particles. (This is easiest to demonstrate in string theory by making use of an SL(2, Z) symmetry on the string world sheet.)
In the field theory limit the KLT equations must hold in any dimension, because the gauge theory amplitudes appearing on the right-hand side have no explicit dependence on the space-time dimension; the only dependence is implicit in the number of components of momenta or polarizations. Moreover, if the equations hold in, say, ten dimensions, they must also hold in all lower dimensions since one can truncate the theory to a lower-dimensional subspace.
The color-ordered gauge theory Feynman rules for obtaining tree-level scattering amplitudes for gravity coupled to matter, via the KLT equations. The Greek indices are space-time ones and the Latin ones are group theory ones. The curly lines are vectors, dotted ones scalars, and the solid ones fermions.
3.3 Tree-level applications
Using a helicity representation [36, 87, 142], Berends, Giele, and Kuijf (BGK) [10] were the first to exploit the KLT relations to obtain amplitudes in Einstein gravity. In quantum chromodynamics (QCD) an infinite set of helicity amplitudes known as the Parke-Taylor amplitudes [105, 9, 89] were already known. These maximally helicity violating (MHV) amplitudes describe the tree-level scattering of n gluons when all gluons but two have the same helicity, treating all particles as outgoing. (The tree amplitudes in which all or all but one of the helicities are identical vanish.) BGK used the KLT relations to directly obtain graviton amplitudes in pure Einstein gravity, using the known QCD results as input. Remarkably, they also were able to obtain a compact formula for n-graviton scattering with the special helicity configuration in which two legs are of opposite helicity from the remaining ones.
The three color-ordered Feynman diagrams contributing to the QCD partial amplitude in Eq. (15).
These formulae have been generalized to infinite sequences of maximally helicity-violating tree amplitudes for gluon amplitudes dressed by external gravitons. The first of these were obtained by Selivanov using a generating function technique [121]. Another set was obtained using the KLT relations to find the pattern for an arbitrary number of legs [14]. In doing this, it is extremely helpful to make use of the analytic properties of amplitudes as the momenta of various external legs become soft (i. e. k i → 0) or collinear (i. e. k i parallel to k j ), as discussed in the next subsection.
Cases with multiple fermion pairs are more involved. In particular, for the KLT factorization to work in general, auxiliary rules for assigning global charges in the color-ordered amplitudes appear to be necessary. This is presumably related to the intricacies associated with fermions in string theory [62].
When an underlying string theory does exist, such as for the case of maximal supergravity discussed in Section 7, then the KLT equations necessarily must hold for all amplitudes in the field theory limit. The above examples, however, demonstrate that the KLT factorization of amplitudes is not restricted only to the cases where an underlying string theory exists.
3.4 Soft and collinear properties of gravity amplitudes from gauge theory
The analytic properties of gravity amplitudes as momenta become either soft (k i → 0) or collinear (k j parallel to k j ) are especially interesting because they supply a simple demonstration of the tight link between the two theories. Moreover, these analytic properties are crucial for constructing and checking gravity amplitudes with an arbitrary number of external legs. The properties as gravitons become soft have been known for a long time [139, 10] but the collinear properties were first obtained using the known collinear properties of gauge theories together with the KLT relations.
As two momenta become collinear a gravity amplitude develops a phase singularity that can be detected by rotating the two momenta around the axis formed by their sum.
One interesting feature of the gravitational soft and collinear functions is that, unlike the gauge theory case, they do not suffer any quantum corrections [23]. This is due to the dimensionful nature of the gravity coupling κ, which causes any quantum corrections to be suppressed by powers of a vanishing kinematic invariant. The dimensions of the coupling constant must be absorbed by additional powers of the kinematic invariants appearing in the problem, which all vanish in the collinear or soft limits. This observation is helpful because it can be used to put severe constraints on the analytic structure of gravity amplitudes at any loop order.
4 The Einstein-Hilbert Lagrangian and Gauge Theory
One of the key properties exhibited by the KLT relations (10) and (11) is the separation of graviton space-time indices into ‘left’ and ‘right’ sets. This is a direct consequence of the factorization properties of closed strings into open strings. Consider the graviton field, h μν . We define the μ index to be a “left” index and the v index to be a “right” one. In string theory, the “left” space-time indices would arise from the world-sheet left-mover oscillator and the “right” ones from the right-mover oscillators. Of course, since h μν is a symmetric tensor it does not matter which index is assigned to the left or to the right. In the KLT relations each of the two indices of a graviton are associated with two distinct gauge theories. For convenience, we similarly call one of the gauge theories the “left” one and the other the “right” one. Since the indices from each gauge theory can never contract with the indices of the other gauge theory, it must be possible to separate all the indices appearing in a gravity amplitude into left and right classes such that the ones in the left class only contract with left ones and the ones in the right class only with right ones.
This was first noted by Siegel, who observed that it should be possible to construct a complete field theory formalism that naturally reflects the left-right string theory factorization of space-time indices. In a set of remarkable papers [124, 123, 125], he constructed exactly such a formalism. With appropriate gauge choices, indices separate exactly into “right” and “left” categories, which do not contract with each other. This does not provide a complete explanation of the KLT relations, since one would still need to demonstrate that the gravity amplitudes can be expressed directly in terms of gauge theory ones. Nevertheless, this formalism is clearly a sensible starting point for trying to derive the KLT relations directly from Einstein gravity. Hopefully, this will be the subject of future studies, since it may lead to a deeper understanding of the relationship of gravity to gauge theory. A Lagrangian with the desired properties could, for example, lead to more general relations between gravity and gauge theory classical solutions.
Here we outline a more straightforward order-by-order rearrangement of the Einstein-Hilbert Lagrangian, making it compatible with the KLT relations [26]. A useful side-benefit is that this provides a direct verification of the KLT relations up to five points starting from the Einstein-Hilbert Lagrangian in its usual form. This is a rather non-trivial direct verification of the KLT relations, given the algebraic complexity of the gravity Feynman rules.
The above ideas represent some initial steps in reorganizing the Einstein-Hilbert Lagrangian so that it respects the KLT relations. An important missing ingredient is a derivation of the KLT equations starting from the Einstein-Hilbert Lagrangian (and also when matter fields are present).
5 From Trees to Loops
In this section, the above discussion is extended to quantum loops through use of D-dimensional unitarity [15, 16, 28, 20, 115]. The KLT relations provide gravity amplitudes only at tree-level; D-dimensional unitarity then provides a means of obtaining quantum loop amplitudes. In perturbation theory this is tantamount to quantizing the theory since the complete scattering matrix can, at least in principle, be systematically constructed this way. Amusingly, this bypasses the usual formal apparatus [60, 61, 5, 79] associated with quantizing constrained systems. More generally, the unitarity method provides a way to systematically obtain the complete set of quantum loop corrections order-by-order in the perturbative expansion whenever the full analytic behavior of tree amplitudes as a function of D is known. It always works when the particles in the theory are all massless. The method is well tested in explicit calculations and has, for example, recently been applied to state-of-the-art perturbative QCD loop computations [21, 12].
The two-particle cut at one loop in the channel carrying momentum k1 + k2. The blobs represent tree amplitudes.
This provides a means of obtaining loop amplitudes from tree amplitudes. However, if one were to directly apply Eq. (42) in integer dimensions one would encounter a difficulty with fully reconstructing the loop scattering amplitudes. Since Eq. (42) gives only the imaginary part one then needs to reconstruct the real part. This is traditionally done via dispersion relations, which are based on the analytic properties of the S matrix [95, 91, 96, 35]. However, the dispersion integrals do not generally converge. This leads to a set of subtraction ambiguities in the real part. These ambiguities are related to the appearance of rational functions with vanishing imaginary parts R(s i ), where the s i are the kinematic variables for the amplitude.
A convenient way to deal with this problem [15, 16, 28, 20, 115] is to consider unitarity in the context of dimensional regularization [131, 137]. By considering the amplitudes as an analytic function of dimension, at least for a massless theory, these ambiguities are not present, and the only remaining ambiguities are the usual ones associated with renormalization in quantum field theory. The reason there can be no ambiguity relative to Feynman diagrams follows from simple dimensional analysis for amplitudes in dimension D = 4 - 2ε. With dimensional regularization, amplitudes for massless particles necessarily acquire a factor of (−s i )−ε for each loop, from the measure \(\int {{d^D}L} \). For small ε, \({( - {s_i})^{ - \epsilon}}R({s_i}) = R({s_i}) -\epsilon \ln ( - {s_i})R({s_i}) + \mathcal{O}({\epsilon^2})\), so every term has an imaginary part (for some s i > 0), though not necessarily in terms which survive as ε → 0. Thus, the unitarity cuts evaluated to \(\mathcal{O}({\epsilon})\) provide sufficient information for the complete reconstruction of an amplitude. Furthermore, by adjusting the specific rules for the analytic continuation of the tree amplitudes to D-dimensions one can obtain results in the different varieties of dimensional regularization, such as the conventional one [34], the t’ Hooft-Veltman scheme [131], dimensional reduction [122], and the four-dimensional helicity scheme [27, 13].
It is useful to view the unitarity-based technique as an alternate way of evaluating sets of ordinary Feynman diagrams by collecting together gauge-invariant sets of terms containing residues of poles in the integrands corresponding to those of the propagators of the cut lines. This gives a region of loop-momentum integration where the cut loop momenta go on shell and the corresponding internal lines become intermediate states in a unitarity relation. From this point of view, even more restricted regions of loop momentum integration may be considered, where additional internal lines go on mass shell. This amounts to imposing cut conditions on additional internal lines. In constructing the full amplitude from the cuts it is convenient to use unrestricted integrations over loop momenta, instead of phase space integrals, because in this way one can obtain simultaneously both the real and imaginary parts. The generalized cuts then allow one to obtain multi-loop amplitudes directly from combinations of tree amplitudes.
Two examples of generalized cuts. Double two-particle cuts of a two-loop amplitude are shown. This separates the amplitude into a product of three tree amplitudes, integrated over loop momenta. The dashed lines represent the cuts.
Complete amplitudes are found by combining the various cuts into a single function with the correct cuts in all channels. This method works for any theory where the particles can be taken to be massless and where the tree amplitudes are known as an analytic function of dimension. The restriction to massless amplitudes is irrelevant for the application of studying the ultra-violet divergences of gravity theories. In any case, gravitons and their associated superpartners in a supersymmetric theory are massless. (For the case with masses present the extra technical complication has to do with the appearance of functions such as m−2ε which have no cuts in any channel. See Ref. [28] for a description and partial solution of this problem.) This method has been extensively applied to the case of one- and two-loop gauge theory amplitudes [15, 16, 20, 21, 12] and has been carefully cross-checked with Feynman diagram calculations. Here, the method is used to obtain loop amplitudes directly from the gravity tree amplitudes given by the KLT equations. In the next section an example of how the method works in practice for the case of gravity is provided.
6 Gravity Loop Amplitudes from Gauge Theory
The unitarity method provides a natural means for applying the KLT formula to obtain loop amplitudes in quantum gravity, since the only required inputs are tree-level amplitudes valid for D-dimensions; this is precisely what the KLT relations provide.
Although Einstein gravity is almost certainly not a fundamental theory, there is no difficulty in using it as an effective field theory [140, 64, 51, 84, 100], in order to calculate quantum loop corrections. The particular examples discussed in this section are completely finite and therefore do not depend on a cutoff or on unknown coefficients of higher curvature terms in the low energy effective action. They are therefore a definite low energy prediction of any fundamental theory of gravity whose low energy limit is Einstein gravity. (Although they are definite predictions, there is, of course, no practical means to experimentally verify them.) The issue of divergences is deferred to Section 7.
6.1 One-loop four-point example
The one-loop box integral. Each internal line in the box corresponds to one of the four Feynman propagators in Eq. (51).
6.2 Arbitrary numbers of legs at one loop
Surprisingly, the above four-point results can be extended to an arbitrary number of external legs. Using the unitarity methods, the five- and six-point amplitudes with all identical helicity have also been obtained by direct calculation [22, 23]. Then by demanding that the amplitudes have the properties described in Section 3.4 for momenta becoming either soft [139, 10] or collinear [22], an ansatz for the one-loop maximally helicity-violating amplitudes for an arbitrary number of external legs has also been obtained. These amplitudes were constructed from a set of building blocks called “half-soft-function”, which have “half” of the proper behavior as gravitons become soft. The details of this construction and the explicit forms of the amplitudes may be found in Refs. [22, 23].
The all-plus helicity amplitudes turn out to be very closely related to the infinite sequence of one-loop maximally helicity-violating amplitudes in N = 8 supergravity. The two sequences are related by a curious “dimension shifting formula.” In Ref. [23], a known dimension shifting formula [18] between identical helicity QCD and N = 4 super-Yang-Mills amplitudes was used to obtain the four-, five-, and six-point N = 8 amplitudes from the identical helicity gravity amplitudes using the KLT relations in the unitarity cuts. Armed with these explicit results, the soft and collinear properties were then used to obtain an ansatz valid for an arbitrary number of external legs [23]. This provides a rather non-trivial illustration of how the KLT relations can be used to identify properties of gravity amplitudes using known properties of gauge theory amplitudes.
Interestingly, the all-plus helicity amplitudes are also connected to self-dual gravity [108, 52, 109] and self-dual Yang Mills [143, 53, 93, 92, 4, 30, 33], i. e. gravity and gauge theory restricted to self-dual configurations of the respective field strengths, \({R_{\mu \nu \;\rho \sigma }} = \tfrac{i}{2}\epsilon{_{\mu \nu }}^{\alpha \beta }{R_{\alpha \beta \rho \sigma }}\) and \({F_{\mu \nu }} = \tfrac{i}{2}\epsilon{_{\mu \nu }}^{\alpha \beta }{R_{\alpha \beta }}\), with ε0123 = +1. This connection is simple to see at the linearized (free field theory) level since a superposition of plane waves of identical helicity satisfies the self-duality condition. The self-dual currents and amplitudes have been studied at tree and one-loop levels [53, 4, 30, 33]. In particular, Chalmers and Siegel [33] have presented self-dual actions for gauge theory (and gravity), which reproduce the all-plus helicity scattering amplitudes at both tree and one-loop levels.
The ability to obtain exact expressions for gravity loop amplitudes demonstrates the utility of this approach for investigating quantum properties of gravity theories. The next section describes how this can be used to study high energy divergence properties in quantum gravity.
7 Divergence Properties of Maximal Supergravity
In general, the larger the number of supersymmetries, the tamer the ultraviolet divergences because of the tendency for these to cancel between bosons and fermions in a supersymmetric theory. In four-dimensions maximal N = 8 supergravity may therefore be expected to be the least divergent of all possible supergravity theories. Moreover, the maximally supersymmetric gauge theory, N = 4 super-Yang-Mills, is completely finite [129, 97, 80], leading one to suspect that the superb ultraviolet properties of N = 4 super-Yang-Mills would then feed into improved ultra-violet properties for N = 8 supergravity via its relation to gauge theory. This makes the ultraviolet properties of N = 8 supergravity the ideal case to investigate first via the perturbative relationship to gauge theory.
7.1 One-loop cut construction
7.2 Higher loops
The planar and non-planar scalar integrals, appearing in the two-loop N = 8 amplitudes. Each internal line represents a scalar propagator.
The two-loop amplitude (58) has been used by Green, Kwon, and Vanhove [68] to provide an explicit demonstration of the non-trivial M-theory duality between D = 11 supergravity and type II string theory. In this case, the finite parts of the supergravity amplitudes are important, particularly the way they depend on the radii of compactified dimensions.
Starting from an 1-loop planar diagram representing an integral function, an extra line may be added to the inside using this rule. The two lines on the left represent two lines in some 1-loop diagram.
7.3 Divergence properties of N = 8 supergravity
Since the two-loop N = 8 supergravity amplitude (58) has been expressed in terms of scalar integrals, it is straightforward to extract the divergence properties. The scalar integrals diverge only for dimension D ≥ 7; hence the two-loop N = 8 amplitude is manifestly finite in D = 5 and 6, contrary to earlier expectations based on superspace power counting [80]. The discrepancy between the above explicit results and the earlier superspace power counting arguments may be understood in terms of an unaccounted higher-dimensional gauge symmetry [128]. Once this symmetry is accounted for, superspace power counting gives the same degree of divergence as the explicit calculation.
In all cases the linearized divergences take the form of derivatives acting on a particular contraction of Riemann tensors, which in four dimensions is equivalent to the square of the Bel-Robinson tensor [6, 37, 38]. This operator appears in the first set of corrections to the N = 8 supergravity Lagrangian, in the inverse string-tension expansion of the effective field theory for the type II superstring [77]. Therefore, it has a completion into an N = 8 supersymmetric multiplet of operators, even at the non-linear level. It also appears in the M-theory one-loop and two-loop effective actions [67, 116, 68].
Interestingly, the manifest D-independence of the cutting algebra allows the calculation to be extended to D = 11, even though there is no corresponding D = 11 super-Yang-Mills theory. The result (58) then explicitly demonstrates that N = 1, D = 11 supergravity diverges. In dimensional regularization there are no one-loop divergences so the first potential divergence is at two loops. (In a momentum cutoff scheme the divergences actually begin at one loop [116].) Further work on the structure of the D = 11 two-loop divergences in dimensional regularization has been carried out in Ref. [40, 41]. The explicit form of the linearized N = 1, D = 11 counterterm expressed as derivatives acting on Riemann tensors along with a more general discussion of supergravity divergences may be found in Ref. [17].
8 Conclusions
This review described how the notion that gravity ∼ (gauge theory) × (gauge theory) can be exploited to develop a better understanding of perturbative quantum gravity. The Kawai-Lewellen-Tye (KLT) string theory relations [85] give this notion a precise meaning at the semi-classical or tree-level. Quantum loop effects may then be obtained by using D-dimensional unitarity [15, 16, 28, 20]. In a sense, this provides an alternative method for quantizing gravity, at least in the context of perturbative expansions around flat space. With this method, gauge theory tree amplitudes are converted into gravity tree amplitudes which are then used to obtain gravity loop amplitudes. The ability to carry this out implies that gravity and gauge theory are much more closely related than one might have deduced by an inspection of the respective Lagrangians.
Some concrete applications were also described, including the computation of the two-loop four-point amplitude in maximally supersymmetric supergravity. The result of this and related computations is that maximal supergravity is less divergent in the ultraviolet than had previously been deduced from superspace power counting arguments [19, 128]. For the case of D = 4, maximal supergravity appears to diverge at five instead of three loops. Another example for which the relation is useful is for understanding the behavior of gravitons as their momenta become either soft or collinear with the momenta of other gravitons. The soft behavior was known long ago [139], but the collinear behavior is new. The KLT relations provide a means for expressing the graviton soft and collinear functions directly in terms of the corresponding ones for gluons in quantum chromodynamics. Using the soft and collinear properties of gravitons, infinite sequences of maximally helicity violating gravity amplitudes with a single quantum loop were obtained by bootstrapping [22, 23] from the four-, five-, and six-point amplitudes obtained by direct calculation using the unitarity method together with the KLT relations. Interestingly, for the case of identical helicity, the sequences of amplitudes turn out to be the same as one gets from self-dual gravity [108, 52, 109].
There are a number of interesting open questions. Using the relationship of gravity to gauge theory one should be able to systematically re-examine the divergence structure of non-maximal theories. Some salient work in this direction may be found in Ref. [54], where the divergences of Type I supergravity in D = 8, 10 were shown to split into products of gauge theory factors. More generally, it should be possible to systematically re-examine finiteness conditions order-by-order in the loop expansion to more thoroughly understand the divergences and associated non-renormalizability of quantum gravity.
An important outstanding problem is the lack of a direct derivation of the KLT relations between gravity and gauge theory tree amplitudes starting from their respective Lagrangians. As yet, there is only a partial understanding in terms of a “left-right” factorization of space-time indices [124, 123, 125, 26], which is a necessary condition for the KLT relations to hold. A more complete understanding may lead to a useful reformulation of gravity where properties of gauge theories can be used to systematically understand properties of gravity theories and vice versa. Connected with this is the question of whether the heuristic notion that gravity is a product of gauge theories can be given meaning outside of perturbation theory.
In summary, the perturbative relations between gravity and gauge theory provide a new tool for understanding non-trivial properties of quantum gravity. However, further work will be required to unravel fully the intriguing relationship between the two theories.
Footnotes
- 1.
1 This happens because field redefinitions exist that can be used to remove the potential divergences.
Notes
Acknowledgments
The author thanks Abilio De Freitas, Aaron Grant, David Dunbar, David Kosower, Maxim Perelstein, Joel Rozowsky, Henry Wong, and especially Lance Dixon for collaboration on work described here and for sharing their insight into quantum gravity. The author also thanks Eduardo Guendelman for a number of interesting discussions on the Einstein-Hilbert action and its relation to gauge theory. This work was supported by the US Department of Energy under grant DE-FG03-91ER40662.
References
- [1]Abbott, L.F., “The background field method beyond one loop”, Nucl. Phys. B, 185, 189–203, (1981). 1, 4ADSCrossRefGoogle Scholar
- [2]Aharony, O., Gubser, S.S., Maldacena, J., Oogurl, H., and Oz, Y., “Large N Field Theories, String Theory and Gravity”, Phys. Rep., 323, 183–386, (2000). For a related online version see: O. Aharony, et al., “Large N Field Theories, String Theory and Gravity”, (May, 1999), [Online Los Alamos Preprint]: cited on 15 April 2002, http://xxx.lanl.gov/abs/hep-th/9905111. 1ADSMathSciNetCrossRefGoogle Scholar
- [3]Antonladis, I., Bachas, C.P., and Kounnas, C., “Four-dimensional superstrings”, Nucl. Phys. B, 289, 87–108, (1987). 3.1, 3.2ADSMathSciNetCrossRefGoogle Scholar
- [4]Bardeen, W.A., “Self-Dual Yang Mills Theory, Integrability and Multiparton Amplitudes”, Prog. Theor. Phys. Suppl., 123, 1–8, (1996). 1, 6.2ADSCrossRefGoogle Scholar
- [5]Batalin, I.A., and Vilkovisky, G.A., “Relativistic S-matrix of dynamical systems with boson and fermion constraints”, Phys. Lett. B, 69, 309–312, (1977). 5ADSCrossRefGoogle Scholar
- [6]Bel, L., “Sur la radiation gravitationelle”, Comptes Rendus Acad. Sci., 247, 1094–1096, (1958). and Ibid. 248, 1297 (1959). 7.3MathSciNetzbMATHGoogle Scholar
- [7]Berends, F.A., and Gastmans, R., “On the high-energy behavior in quantum gravity”, Nucl. Phys. B, 88, 99–108, (1975). 3.3ADSCrossRefGoogle Scholar
- [8]Berends, F.A., and Giele, W., “The six gluon process as an example of Weyl-Van Der Waerden spinor calculus”, Nucl. Phys. B, 294, 700–732, (1987). 3.2ADSCrossRefGoogle Scholar
- [9]Berends, F.A., and Giele, W.T., “Recursive calculations for processes with n gluons”, Nucl. Phys. B, 306, 759–808, (1988). 3.3ADSCrossRefGoogle Scholar
- [10]Berends, F.A., Giele, WT., and Kuijf, H., “On relations between multigluon and multigraviton scattering”, Phys. Lett. B, 211, 91–94, (1988). 1, 3.3, 3.4, 3.4, 6.2ADSCrossRefGoogle Scholar
- [ll]Bern, Z., Chalmers, G., Dixon, L.J., and Kosower, D.A., “One loop N gluon amplitudes with maximal helicity violation via collinear limits”, Phys. Rev. Lett., 72, 2134–2137, (1994). For a related online version see: Z. Bern, et al., “One-Loop N Gluon Amplitudes with Maximal Helicity Violation via Collinear Limits”, (December, 1993), [Online Los Alamos Preprint]: cited on 15 April 2002, http://xxx.lanl.gov/abs/hep-ph/9312333. 1ADSCrossRefGoogle Scholar
- [12]Bern, Z., De Freitas, A., and Dixon, L., “Two-loop helicity amplitudes for gluon gluon scattering in QCD and supersymmetric Yang-Mills theory”, J. High Energy Phys., 0203, 018, (2002). For a related online version see: Z. Bern, et al., “Two-Loop Helicity Amplitudes for Gluon-Gluon Scattering in QCD and Supersymmetric Yang Mills Theory”, (January, 2002), [Online Los Alamos Preprint]: cited on 15 Aprilil 2002, http://xxx.lanl.gov/abs/hep-ph/0201161. 1,5,5ADSMathSciNetCrossRefGoogle Scholar
- [13]Bern, Z., De Freitas, A., Dixon, L., and Wong, H.L., “Supersymmetric regularization, two-loop QCD amplitudes and coupling shifts”, (February, 2002), [Online Los Alamos Archive Preprint]: cited on 15 April 2002, http://xxx.lanl.gov/abs/hep-ph/0202271. 5
- [14]Bern, Z., De Freitas, A., and Wong, H.L., “Coupling Gravitons to Matter”, Phys. Rev. Lett., 84, 3531–3534, (2000). For a related online version see: Z. Bern, et al., “On the Coupling of Gravitons to Matter”, (December, 1999), [Online Los Alamos Preprint]: cited on 15 April 2002, http://xxx.lanl.gov/abs/hep-th/9912033. 1, 3.2, 3.3, 3.3, 3.3, 4ADSCrossRefGoogle Scholar
- [15]Bern, Z., Dixon, L., Dunbar, D.C., and Kosower, D.A., “One-loop n-point gauge theory amplitudes, unitarity and collinear limits”, Nucl. Phys. B, 425, 217–260, (1994). For a related online version see: Z. Bern, et al., “One-Loop n-Point Gauge Theory Amplitudes, Unitarity and Collinear Limits”, (March, 1994), [Online Los Alamos Preprint]: cited on 15 April 2002, http://xxx.lanl.gov/abs/hep-ph/9403226. 1, 5, 5, 5, 8ADSMathSciNetzbMATHCrossRefGoogle Scholar
- [16]Bern, Z., Dixon, L., Dunbar, D.C., and Kosower, D.A., “Fusing gauge theory tree amplitudes into loop amplitudes”, Nucl. Phys. B, 435, 59–101, (1995). For a related online version see: Z. Bern, et al., “Fusing Gauge Theory Tree Amplitudes Into Loop Amplitudes”, (September, 1994), [Online Los Alamos Preprint]: cited on 15 April 2002, http://xxx.lanl.gov/abs/hep-ph/9409265. 1, 5, 5, 5, 8ADSCrossRefGoogle Scholar
- [17]Bern, Z., Dixon, L.J., Dunbar, D., Julia, B., Perelstein, M., Rozowsky, J., Seminara, D., and Trigiante, M., “Counterterms in Supergravity”, in Proceedings of 4th Annual European TMR Conference on Integra bility, Nonperturbative Effects and Symmetry in Quantum Field Theory in Paris, France, 7-13 September 2000, (2000). For a related online version see: Z. Bern, et al., “Counterterms in Supergravity”, (December, 2000), [Online Los Alamos Preprint]: cited on 15 April 2002, http://xxx.lanl.gov/abs/hep-th/0012230. 1,7.3Google Scholar
- [18]Bern, Z., Dixon, L.J., Dunbar, D.C., and Kosower, D.A., “One-loop self-dual and N=4 super Yang Mills”, Phys. Lett. B, 394, 105–115, (1997). For a related online version see: Z. Bern, et al., “One-Loop Self-Dual and N=4 Super Yang-Mills”, (November, 1996), [Online Los Alamos Archive Preprint]: cited on 15 April 2002, http://xxx.lanl.gov/abs/hep-th/9611127. 6.2ADSMathSciNetCrossRefGoogle Scholar
- [19]Bern, Z., Dixon, L.J., Dunbar, D.C., Perelstein, M., and Rozowsky, J.S., “On the relationship between Yang-Mills theory and gravity and its implication for ultraviolet divergences”, Nucl. Phys. B, 530, 401–456, (1998). For a related online version see: Z. Bern, et al., “On the Relationship between Yang-Mills Theory and Gravity and its Implication for Ultraviolet Divergences”, (February, 1998), [Online Los Alamos Preprint]: cited on 15 April 2002, http://xxx.lanl.gov/abs/hep-th/9802162. 1, 1, 7.2, 7.2, 7.3, 8ADSCrossRefGoogle Scholar
- [20]Bern, Z., Dixon, L.J., and Kosower, D.A., “Progress in one-loop QCD computations”, Annu. Rev. Nucl. Part. S., 46, 109–148, (1996). For a related online version see: Z. Bern, et al., “Progress in One-Loop QCD Computations”, (February, 1996), [Online Los Alamos Preprint]: cited on 15 April 2002, http://xxx.lanl.gov/abs/hep-ph/9602280. 1, 3.2, 3.4, 5, 5, 5, 6.1, 8ADSCrossRefGoogle Scholar
- [21]Bern, Z., Dixon, L.J., and Kosower, D.A., “A two-loop four-gluon helicity amplitude in QCD”, J. High Energy Phys., 0001, 027, (2000). For a related online version see: Z. Bern, et al., “A Two-Loop Four-Gluon Helicity Amplitude in QCD”, (January, 2000), [Online Los Alamos Preprint]: cited on 15 April 2002, http://xxx.lanl.gov/abs/hep-ph/0001001. 1, 5, 5ADSCrossRefGoogle Scholar
- [22]Bern, Z., Dixon, L.J., Perelstein, M., and Rozowsky, J.S., “One-loop n-point helicity amplitudes in (self-dual) gravity”, Phys. Lett. B, 444, 273–283, (1998). For a related online version see: Z. Bern, et al., “One-Loop n-Point Helicity Amplitudes in (Self-Dual) Gravity”, (September, 1998), [Online Los Alamos Preprint]: cited on 15 April 2002, http://xxx.lanl.gov/abs/hep-th/9809160. 1, 3.4, 6.1, 6.2, 8ADSMathSciNetCrossRefGoogle Scholar
- [23]Bern, Z., Dixon, L.J., Perelstein, M., and Rozowsky, J.S., “Multi-leg one-loop gravity amplitudes from gauge theory”, Nucl. Phys. B, 546, 423–479, (1999). For a related online version see: Z. Bern, et al., “Multi-Leg One-Loop Gravity Amplitudes from Gauge Theory”, (November, 1998), [Online Los Alamos Preprint]: cited on 15 April 2002, http://xxx.lanl.gov/abs/hep-th/9811140. 1, 3.2, 3.4, 6.1, 6.2, 8ADSMathSciNetzbMATHCrossRefGoogle Scholar
- [24]Bern, Z., and Dunbar, D.C., “A mapping between Feynman and string motivated one-loop rules in gauge theories”, Nucl. Phys. B, 379, 562–601, (1992). 4ADSMathSciNetCrossRefGoogle Scholar
- [25]Bern, Z., Dunbar, D.C., and Shimada, T., “String based methods in perturbative gravity”, Phys. Lett. B, 312, 277–284, (1993). For a related online version see: Z. Bern, et al., “String-Based Methods in Perturbative Gravity”, (July, 1993), [Online Los Alamos Preprint]: cited on 15 April 2002, http://xxx.lanl.gov/abs/hep-th/9307001. 1,1,4ADSCrossRefGoogle Scholar
- [26]Bern, Z., and Grant, A.K., “Perturbative gravity from QCD amplitudes”, Phys. Lett. B, 457, 23–32, (1999). For a related online version see: Z. Bern, et al., “Perturbative Gravity from QCD Amplitudes”, (April, 1999), [Online Los Alamos Preprint]: cited on 15 April 2002, http://xxx.lanl.gov/abs/hep-th/9904026. 1, 3.4, 4, 4, 4, 4, 4, 4, 8ADSCrossRefGoogle Scholar
- [27]Bern, Z., and Kosower, D.A., “The computation of loop amplitudes in gauge theories”, Nucl. Phys. B, 379, 451–461, (1992). 1, 5, 7.1ADSMathSciNetCrossRefGoogle Scholar
- [28]Bern, Z., and Morgan, A.G., “Massive loop amplitudes from unitarity”, Nucl. Phys. B, 467, 479–509, (1996). For a related online version see: Z. Bern, et al., “Massive Loop Amplitudes from Unitarity”, (November, 1995), [Online Los Alamos Preprint]: cited on 15 April 2002, http://xxx.lanl.gov/abs/hep-ph/9511336. 1, 5, 5, 5, 8ADSCrossRefGoogle Scholar
- [29]Bern, Z., Rozowsky, J.S., and Yan, B., “Two-loop four-gluon amplitudes in N=4 super-Yang-Mills”, Phys. Lett. B, 401, 273–282, (1997). For a related online version see: Z. Bern, et al., “Two-Loop Four-Gluon Amplitudes in N=4 Super-Yang-Mills”, (February, 1997), [Online Los Alamos Preprint]: cited on 15 April 2002, http://xxx.lanl.gov/abs/hep-ph/9702424. 1, 7.1, 7.2ADSCrossRefGoogle Scholar
- [30]Cangemi, D., “Self-dual Yang-Mills theory and one-loop maximally helicity violating multi-gluon amplitudes”, Nucl. Phys. B, 484, 521–537, (1997). For a related online version see: D. Cangemi, “Self-dual Yang Mills Theory and One-Loop Maximally Helicity Violating Multi-Gluon Amplitudes”, (May, 1996), [Online Los Alamos Preprint]: cited on 15 April 2002, http://xxx.lanl.gov/abs/hep-th/9605208. 1,6.2ADSCrossRefGoogle Scholar
- [31]Carlip, S., “Quantum gravity: a progress report”, Rep. Prog. Phys., 64, 885–942, (2001). For a related online version see: S. Carlip, “Quantum Gravity: a Progress Report”, (August, 2001), [Online Los Alamos Preprint]: cited on 15 April 2002, http://xxx.lanl.gov/abs/gr-qc/0108040. 1ADSMathSciNetCrossRefGoogle Scholar
- [32]Chalmers, G., “On the finiteness of N = 8 quantum supergravity”, (August, 2000), [Online Los Alamos Archive Preprint]: cited on 15 April 2002, http://xxx.lanl.gov/abs/hep-th/0008162. 7.3
- [33]Chalmers, G., and Siegel, W., “The self-dual sector of QCD amplitudes”, Phys. Rev. D, 54, 7628–7633, (1997). For a related online version see: G. Chalmers, et al., “The self-dual sector of QCD amplitudes”, (June, 1996), [Online Los Alamos Preprint]: cited on 15 April 2002, http://xxx.lanl.gov/abs/hep-th/9606061. 1,6.2ADSCrossRefGoogle Scholar
- [34]Collins, J.C., Renormalization: an introduction to renormalization group, and the operator product expansion, (Cambridge University Press, Cambridge, 1984). 5zbMATHCrossRefGoogle Scholar
- [35]Cutkosky, R.E., “Singularities and discontinuities of Feynman amplitudes”, J. Math. Phys., 1, 429, (1960). 5, 5ADSMathSciNetzbMATHCrossRefGoogle Scholar
- [36]De Causmaecker, P., Gastmans, R., Troost, W., and Wu, T.T., “Helicity amplitudes for massless QED”, Phys. Lett. B, 105, 215–218, (1981). 3.2, 3.3ADSCrossRefGoogle Scholar
- [37]Deser, S., “The immortal Bel-Robinson tensor”, in Martin, J., Ruiz, E., Atrio, F., and Molina, A., eds., Relativity and Gravitation in General: Proc. of the Spanish Relativity Meeting in Honour of the 65th Birthday of Lluis Bel, (World Scientific, Singapore, 1999). For a related online version see: S. Deser, “The Immortal Bel-Robinson Tensor”, (January, 1999), [Online Los Alamos Archive Preprint]: cited on 15 April 2002, http://xxx.lanl.gov/abs/gr-gc/9901007. 7.3Google Scholar
- [38]Deser, S., Franklin, J.S., and Seminara, D., “Graviton graviton scattering, Bel-Robinson and energy”, Class. Quantum Grav., 16, 2815–2821, (1999). For a related online version see: S. Deser, et al., “Graviton Graviton Scattering, Bel-Robinson and Energy (Pseudo)-Tensors”, (May, 1999), [Online Los Alamos Archive Preprint]: cited on 15 April 2002, http://xxx.lanl.gov/abs/gr-gc/9905021. 7.3ADSMathSciNetzbMATHCrossRefGoogle Scholar
- [39]Deser, S., Kay, J.H., and Stelle, K.S., “Renormalizability properties of supergravity”, Phys. Rev. Lett., 38, 527–530, (1977). 1, 1ADSCrossRefGoogle Scholar
- [40]Deser, S., and Seminara, D., “Counterterms/M-theory corrections to D=11 supergravity”, Phys. Rev. Lett., 82, 2435–2438, (1999). For a related online version see: S. Deser, et al., “Counterterms/M-theory Corrections to D=11 Supergravity”, (December, 1998), [Online Los Alamos Preprint]: cited on 15 April 2002, http://xxx.lanl.gov/abs/hep-th/9812136. 1, 7.3ADSMathSciNetzbMATHCrossRefGoogle Scholar
- [41]Deser, S., and Seminara, D., “Tree amplitudes and two-loop counterterms in D=11 supergravity”, Phys. Rev. D, 62, 084010–1–084010–8, (2000). For a related online version see: S. Deser, et al., “Tree Amplitudes and Two loop Counterterms in D=11 Supergravity”, (February, 2000), [Online Los Alamos Preprint]: cited on 15 April 2002, http://xxx.lanl.gov/abs/hep-th/0002241. 1, 7.3ADSMathSciNetCrossRefGoogle Scholar
- [42]Deser, S., Tsao, H.S., and van Nieuwenhuizen, P., “One-loop divergences of the Einstein-Yang-Mills system”, Phys. Rev. D, 10, 3337–3342, (1974). 1, 1ADSCrossRefGoogle Scholar
- [43]Deser, S., and van Nieuwenhuizen, P., “Nonrenormalizability of the quantized Dirac-Einstein system”, Phys. Rev. D, 10, 411–420, (1974). 1, 1ADSMathSciNetCrossRefGoogle Scholar
- [44]DeWitt, B.S., “Quantum theory of gravity. II. The manifestly covariant theory”, Phys. Rev., 162, 1195, (1967). 2.1, 2.1, 3.2ADSzbMATHCrossRefGoogle Scholar
- [45]DeWitt, B.S., “Quantum theory of gravity. III. Applications of the covariant theory”, Phys. Rev., 162, 1239, (1967). 2.1, 2.1, 3.2ADSzbMATHCrossRefGoogle Scholar
- [46]DeWitt, B.S., in Isham, C., Penrose, R., and Sciama, D., eds., Quantum gravity II, (OUP, Oxford, 1981). 1, 4Google Scholar
- [47]Di Vecchia, P., Magnea, L., Lerda, A., Marotta, R., and Russo, R., “Two-loop scalar diagrams from string theory”, Phys. Lett. B, 388, 65–76, (1996). For a related online version see: P. Di Vecchia, et al., “Two-loop scalar diagrams from string theory”, (July, 1996), [Online Los Alamos Archive Preprint]: cited on 15 April 2002, http://xxx.lanl.gov/abs/hep-th/9607141. 1ADSMathSciNetCrossRefGoogle Scholar
- [48]Dixon, L.J., “Calculating scattering amplitudes efficiently”, in Soper, D.E., ed., QCD and Beyond: Proceedings of Theoretical Advanced Study Institute in Elementary Particle Physics (TASI’95), (World Scientific, Singapore, 1996). For a related online version see: L.J. Dixon, “Calculating Scattering Amplitudes Efficiently”, (January, 1996), [Online Los Alamos Preprint]: cited on 15 April 2002, http://xxx.lanl.gov/abs/hep-ph/9601359. 1, 3.2, 3.2Google Scholar
- [49]Dixon, L.J., Harvey, J.A., Vafa, C., and Witten, E., “Strings on orbifolds”, Nucl. Phys. B, 261, 678–686, (1985). 3.1, 3.2ADSMathSciNetCrossRefGoogle Scholar
- [50]Dixon, L.J., Harvey, J.A., Vafa, C., and Witten, E., “Strings on orbifolds. 2”, Nucl. Phys. B, 274, 285–314, (1986). 3.1, 3.2ADSMathSciNetCrossRefGoogle Scholar
- [51]Donoghue, J.F., “General Relativity as an effective field theory: the leading quantum corrections”, Phys. Rev. D, 50, 3874, (1994). For a related online version see: J.F. Donoghue, “General Relativity as an effective field theory: the leading quantum corrections”, (May, 1994), [Online Los Alamos Preprint]: cited on 15 April 2002, http://xxx.lanl.gov/abs/gr-gc/9405057. 2.2, 6ADSCrossRefGoogle Scholar
- [52]Duff, M.J., “Self-Duality and Helicity in Supergravity”, in van Nieuwenhuizen, P., and Freedman, D.Z., eds., Supergravity. Proceedings of 1979 Supergravity Workshop in Stony Brook, (North Holland, Amsterdam, 1980). 1, 6.2, 8Google Scholar
- [53]Duff, M.J., and Isham, C.J., “Self-duality, helicity, and coherent states in non-abelian gauge theories”, Nucl. Phys. B, 162, 271–284, (1980). 1, 6.2ADSMathSciNetzbMATHCrossRefGoogle Scholar
- [54]Dunbar, D.C., Julia, B., Seminara, D., and Trigiante, M., “Counterterms in type I supergravities”, J. High Energy Phys., 0001, 046, (2000). For a related online version see: D.C. Dunbar, et al., “Counterterms in type I Supergravities”, (November, 1999), [Online Los Alamos Preprint]: cited on 15 April 2002, http://xxx.lanl.gov/abs/hep-th/9911158. 1,8ADSMathSciNetzbMATHCrossRefGoogle Scholar
- [55]Dunbar, D.C., and Norridge, P.S., “Calculation of graviton scattering amplitudes using string based methods”, Nucl. Phys. B, 433, 181–208, (1995). For a related online version see: D.C. Dunbar, et al., “Calculation of Graviton Scattering Amplitudes using String-Based Methods”, (August, 1994), [Online Los Alamos Preprint]: cited on 15 April 2002, http://xxx.lanl.gov/abs/hep-th/9408014. 1, 1,6.1ADSCrossRefGoogle Scholar
- [56]Dunbar, D.C., and Norridge, P.S., “Infinities within graviton scattering amplitudes”, Class. Quantum Grav., 14, 351–365, (1997). For a related online version see: D.C. Dunbar, et al., “Infinities within graviton scatter ing amplitudes”, (December, 1995), [Online Los Alamos Archive Preprint]: cited on 15 April 2002, http://xxx.lanl.gov/abs/hep-th/9512084. 1ADSMathSciNetzbMATHCrossRefGoogle Scholar
- [57]Dunbar, D.C., and Turner, N.W., “Ultra-violet infinities and counterterms in higher dimensional Yang-Mills”, (March, 2002), [Online Los Alamos Archive Preprint]: cited on 15 April 2002, http://xxx.lanl.gov/abs/hep-th/0203104. 1
- [58]Ellis, R.K., Stirling, W.J., and Webber, B.R., QCD and collider physics, (Cambridge University Press, Cambridge, 1996). 1CrossRefGoogle Scholar
- [59]Faddeev, L.D., and Popov, V.N., “Feynman diagrams for the Yang-Mills field”, Phys. Lett. B, 25, 29, (1967). 7.1ADSCrossRefGoogle Scholar
- [60]Faddeev, L.D., and Popov, V.N., “Covariant quantization of the gravitational field”, Sov. Phys. Usp., 16, 777, (1974). 5ADSMathSciNetCrossRefGoogle Scholar
- [61]Fradkin, E.S., and Vilkovisky, G.A., “Quantization of relativistic systems with constraints”, Phys. Lett. B, 55, 224–226, (1975). 5ADSMathSciNetzbMATHCrossRefGoogle Scholar
- [62]Friedan, D., Martinec, E.J., and Shenker, S.H., “Conformal invariance, supersymmetry and string theory”, Nucl. Phys. B, 271, 93, (1986). 3.3ADSMathSciNetCrossRefGoogle Scholar
- [63]Frizzo, A., Magnea, L., and Russo, R., “Scalar field theory limits of bosonic string amplitudes”, Nucl. Phys. B, 579, 379–410, (2000). For a related online version see: A. Frizzo, et al., “Scalar field theory lim its of bosonic string amplitudes”, (December, 1999), [Online Los Alamos Archive Preprint]: cited on 15 April 2002, http://xxx.lanl.gov/abs/hep-th/9912183. 1ADSMathSciNetzbMATHCrossRefGoogle Scholar
- [64]Gasser, J., and Leutwyler, H., “Chiral perturbation theory: expansions in the mass of the strange quark”, Nucl. Phys. B, 250, 465–516, (1985). 2.2, 6ADSCrossRefGoogle Scholar
- [65]Gervais, J.L., and Neveu, A., “Feynman rules for massive gauge fields with dual diagram topology”, Nucl. Phys. B, 46, 381–401, (1972). 4ADSCrossRefGoogle Scholar
- [66]Goroff, M.H., and Sagnotti, A., “The ultraviolet behavior of Einstein gravity”, Nucl. Phys. B, 266, 709–736, (1986). 1, 1ADSCrossRefGoogle Scholar
- [67]Green, M.B., Gutperle, M., and Vanhove, P., “One loop in eleven dimensions”, Phys. Lett. B, 409, 177–184, (1997). For a related online version see: M.B. Green, et al., “One loop in eleven dimensions”, (June, 1997), [Online Los Alamos Archive Preprint]: cited on 15 April 2002, http://xxx.lanl.gov/abs/hep-th/9706175. 7.3ADSMathSciNetzbMATHCrossRefGoogle Scholar
- [68]Green, M.B., Kwon, H.-h., and Vanhove, P., “Two loops in eleven dimensions”, Phys. Rev. D, 61, 104010, (2000). For a related online version see: M.B. Green, et al., “Two loops in eleven dimensions”, (Oc tober, 1999), [Online Los Alamos Preprint]: cited on 15 April 2002, http://xxx.lanl.gov/abs/hep-th/9910055. 1, 7.2, 7.3ADSMathSciNetCrossRefGoogle Scholar
- [69]Green, M.B., Schwarz, J.H., and Brink, L., “N=4 Yang-Mills and N=8 supergravity as limits of string theories”, Nucl. Phys. B, 198, 474–492, (1982). 3, 7.1ADSCrossRefGoogle Scholar
- [70]Green, M.B., Schwarz, J.H., and Witten, E., Superstring theory, Cambridge Monographs On Mathematical Physics, (Cambridge University Press, Cambridge, 1987). 1, 3, 3.1, 3.1, 3.1, 3.1Google Scholar
- [71]Grisaru, M.T., and Pendleton, H.N., “Some properties of scattering amplitudes in supersymmetric theories”, Nucl. Phys. B, 124, 81–92, (1977). 1, 6.1ADSMathSciNetCrossRefGoogle Scholar
- [72]Grisaru, M.T., Pendleton, H.N., and van Nieuwenhuizen, P., “Supergravity and the S matrix”, Phys. Rev. D, 15, 996–1006, (1977). 1ADSCrossRefGoogle Scholar
- [73]Grisaru, M.T., and Siegel, W., “Supergraphity. (II.) Manifestly covariant rules and higher-loop finiteness”, Nucl. Phys. B, 201, 292–314, (1982). Erratum: Nucl. Phys. B, 206, 496 (1982). 1ADSCrossRefGoogle Scholar
- [74]Grisaru, M.T., van Nieuwenhuizen, P., and Vermaseren, J.A., “One loop renormalizability of pure supergravity and of Maxwell Einstein theory in extended supergravity”, Phys. Rev. Lett., 37, 1662–1666, (1976). 1ADSMathSciNetCrossRefGoogle Scholar
- [75]Gross, D. J., Harvey, J. A., Martinec, E.J., and Rohm, R., “Heterotic string theory. 1. The free heterotic string”, Nucl. Phys. B, 256, 253–284, (1985). 3.1ADSMathSciNetCrossRefGoogle Scholar
- [76]Gross, D.J., Harvey, J.A., Martinec, E.J., and Rohm, R., “Heterotic string theory. 2. The interacting heterotic string”, Nucl. Phys. B, 267, 75–124, (1986). 3.1ADSMathSciNetCrossRefGoogle Scholar
- [77]Gross, D.J., and Witten, E., “Superstring modifications of Einstein’s equations”, Nucl. Phys. B, 277, 1–10, (1986). 7.3ADSMathSciNetCrossRefGoogle Scholar
- [78]Hehl, F.W., McCrea, J.D., Mielke, E.W., and Neeman, Y., “Metric Afine Gauge Theory Of Gravity: Field Equations, Noether Identities, World Spinors, And Breaking Of Dilation Invariance”, Phys. Rep., 258, 1–171, (1995). For a related online version see: F.W. Hehl, et al., “Metric-Afine Gauge Theory Of Gravity: Field Equations, Noether Identities, World Spinors, And Breaking Of Dilation Invariance”, (February, 1994), [Online Los Alamos Preprint]: cited on 15 April 2002, http://xxxlanl.gov/abs/gr-gc/9402012. 1ADSMathSciNetCrossRefGoogle Scholar
- [79]Henneaux, M., “Hamiltonian form of the path integral for theories with a gauge freedom”, Phys. Rep., 126, 1–66, (1985). 5ADSMathSciNetCrossRefGoogle Scholar
- [80]Howe, P.S., and Stelle, K.S., “The ultraviolet properties of supersymmetric field theories”, Int. J. Mod. Phys. A, 4, 1871–1912, (1989). 1, 1, 7, 7.3, 7.3ADSMathSciNetCrossRefGoogle Scholar
- [81]Howe, P.S., Stelle, K.S., and Townsend, P.K., “Superactions”, Nucl. Phys. B, 191, 445–464, (1981). 1, 1ADSCrossRefGoogle Scholar
- [82]Ivanenko, D., and Sardanashvily, G., “The Gauge Treatment Of Gravity”, Phys. Rep., 94, 1–45, (1983). 1ADSMathSciNetCrossRefGoogle Scholar
- [83]Kallosh, R.E., “Counterterms in extended supergravities”, Phys. Lett. B, 99, 122–127, (1981). 1ADSMathSciNetCrossRefGoogle Scholar
- [84]Kaplan, D. B., “Effective field theories”, (June, 1995), [Online Los Alamos Archive Preprint]: cited on 15 April 2002, http://xxx.lanl.gov/abs/nucl-th/9506035. Lectures at the 7th summer school in nuclear physics symmetries in Seattle, WA, June 18-30, 1995. 2.2, 6
- [85]Kawai, H., Lewellen, D.C., and Tye, S.H., “A relation between tree amplitudes of closed and open strings”, Nucl. Phys. B, 269, 1–23, (1986). 1, 3, 3.2, 3.2, 8ADSMathSciNetCrossRefGoogle Scholar
- [86]Kawai, H., Lewellen, D.C., and Tye, S.H., “Construction of fermionic string models in four-dimensions”, Nucl. Phys. B, 288, 1–76, (1987). 3.1, 3.2ADSMathSciNetCrossRefGoogle Scholar
- [87]Kleiss, R., and Stirling, W. J., “Spinor techniques for calculating proton anti-proton to W or Z plus jets”, Nucl. Phys. B, 262, 235, (1985). 3.2, 3.3ADSCrossRefGoogle Scholar
- [88]Koba, Z., and Nielsen, H.B., “Manifestly crossing invariant parametrization of N meson amplitude”, Nucl. Phys. B, 12, 517, (1969). 3.1ADSCrossRefGoogle Scholar
- [89]Kosower, D.A., “Light-cone recurrence relations for QCD amplitudes”, Nucl. Phys. B, 335, 23–44, (1990). 3.3ADSCrossRefGoogle Scholar
- [90]Kosower, D.A., Lee, B.H., and Nair, V.P., “Multi gluon scattering: a string based calculation”, Phys. Lett. B, 201, 85–89, (1988). 3.2ADSMathSciNetCrossRefGoogle Scholar
- [91]Landau, L.D., “On analytic properties of vertex parts in quantum field theory”, Nucl. Phys., 13, 181–192, (1959). 5, 5MathSciNetzbMATHCrossRefGoogle Scholar
- [92]Leznov, A.N, “On equivalence of four-dimensional selfduality equations to continual analog of the main chiral field problem”, Theor. Math. Phys., 73, 1233–1237, (1988). Teor. Mat. Fiz. 73, 302, (1988). 1, 6.2CrossRefGoogle Scholar
- [93]Leznov, A.N, and Mukhtarov, M.A., “Deformation of algebras and solution of selfduality equation”, J. Math. Phys., 28, 2574–2578, (1987). 1, 6.2ADSMathSciNetzbMATHCrossRefGoogle Scholar
- [94]Maldacena, J., “The Large N Limit of Superconformal Field Theories and Supergravity”, Adv. Theor. Math. Phys., 2, 231–252, (1998). For a related online version see: J. Maldacena, “The Large N Limit of Superconformal Field Theories and Supergravity”", (November, 1997), [Online Los Alamos Preprint]: cited on 15 April 2002, http://xxx.lanl.gov/abs/hep-th/9711200. also in: Int. J. Theor. Phys. 38 1113-1133, (1999). 1ADSMathSciNetzbMATHCrossRefGoogle Scholar
- [95]Mandelstam, S., “Determination of the Pion-Nucleon Scattering Amplitude from Dispersion Relations and Unitarity. General Theory”, Phys. Rev., 112, 1344–1360, (1958). 5, 5ADSMathSciNetCrossRefGoogle Scholar
- [96]Mandelstam, S., “Analytic Properties of Transition Amplitudes in Perturbation Theory”, Phys. Rev., 115, 1741–1751, (1959). 5, 5ADSMathSciNetCrossRefGoogle Scholar
- [97]Mandelstam, S., “Light-cone superspace and the ultraviolet finiteness of the N=4 model”, Nucl. Phys. B, 213, 149–168, (1983). 7ADSMathSciNetCrossRefGoogle Scholar
- [98]Mangano, M.L., Parke, S., and Xu, Z., “Duality and multi-gluon scattering”, Nucl. Phys. B, 298, 653–672, (1988). 3.2ADSCrossRefGoogle Scholar
- [99]Mangano, M.L., and Parke, S.J., “Multiparton amplitudes in gauge theories”, Phys. Rep., 200, 301–367, (1991). 1, 3.2, 3.2, 3.4, 3.4ADSCrossRefGoogle Scholar
- [100]Manohar, A. V., “Effective field theories”, (June, 1996), [Online Los Alamos Preprint]: cited on 15 April 2002, http://xxx.lanl.gov/abs/hep-ph/9606222. 1996 Schladming Lectures: Perturbative and nonper turbative aspects of quantum field theory in Schladming, Austria, March 2-9, 1996. 2.2, 6
- [101]M.T., Grisaru., “Two loop renormalizability of supergravity”, Phys. Lett. B, 66, 75–76, (1977). 1ADSCrossRefGoogle Scholar
- [102]Narain, K.S., “New heterotic string theories in uncompactified dimensions less than 10”, Phys. Lett. B, 169, 41–46, (1986). 3.1, 3.2ADSMathSciNetCrossRefGoogle Scholar
- [103]Narain, K.S., Sarmadi, M.H., and Witten, E., “A note on toroidal compactification of heterotic string theory”, Nucl. Phys. B, 279, 369, (1987). 3.1, 3.2ADSMathSciNetCrossRefGoogle Scholar
- [104]Parke, S.J., and Taylor, T.R., “Perturbative QCD utilizing extended supersymmetry”, Phys. Lett. B, 157, 81–84, (1985). Erratum: Phys. Lett. B, 174, 465, (1985). 6.1ADSCrossRefGoogle Scholar
- [105]Parke, S.J., and Taylor, T.R., “Amplitude for n-Gluon Scattering”, Phys. Rev. Lett., 56, 2459–2460, (1986). 3.3ADSCrossRefGoogle Scholar
- [106]Paton, J. E., and Chan, H. M., “Generalized Veneziano model with isospin”, Nucl. Phys. B, 10, 516, (1969). 3.1, 3.2ADSCrossRefGoogle Scholar
- [107]Peskin, M.E., and Schroeder, D.V., An introduction to quantum field theory, (Addison-Wesley, Reading, 1995). 1, 2.1, 3.2Google Scholar
- [108]Plebanski, J.F., “Some solutions of complex Einstein equations”, J. Math. Phys., 16, 2395, (1975). 1, 6.2, 8ADSMathSciNetCrossRefGoogle Scholar
- [109]Plebanski, J.F., and Przanowski, M., “The Lagrangian of a self-dual gravitational field as a limit of the SDYM lagrangian”, Phys. Lett. A, 212, 22–28, (1996). For a related online version see: J.F. Plebanski, et al., “The Lagrangian of a Self-Dual Gravitational Field as a Limit of the SDYM Lagrangian”, (May, 1996), [Online Los Alamos Preprint]: cited on 15 April 2002, http://xxx.lanl.gov/abs/hep-th/9605233. 1,6.2,8ADSMathSciNetzbMATHCrossRefGoogle Scholar
- [110]Polchinski, J., String theory. Vol. 1: An introduction to the bosonic string, (Cambridge University Press, Cambridge, 1998). 1, 3, 3.1zbMATHCrossRefGoogle Scholar
- [111]Polchinski, J., String theory. Vol. 2: Superstring theory and beyond, (Cambridge University Press, Cambridge, 1998). 1, 3, 3.1zbMATHCrossRefGoogle Scholar
- [112]Roland, K., “Multiloop gluon amplitudes in pure gauge theories”, Phys. Lett. B, 289, 148–152, (1992). 1ADSCrossRefGoogle Scholar
- [113]Roland, K., and Sato, H. T., “Multiloop world-line Green functions from string theory”, Nucl. Phys. B, 480, 99–124, (1996). For a related online version see: K. Roland, et al., “Multiloop world-line Green functions from string theory”, (April, 1996), [Online Los Alamos Archive Preprint]: cited on 15 April 2002, http://xxx.lanl.gov/abs/hep-th/9604152. 1ADSMathSciNetzbMATHCrossRefGoogle Scholar
- [114]Roland, K., and Sato, HT., “Multiloop ϕ3 amplitudes from bosonic string theory”, Nucl. Phys. B, 515, 488–508, (11998). For a related online version see: K. Roland, et al., “Multiloop ϕ3 amplitudes from bosonic string theory”, (September, 1997), [Online Los Alamos Archive Preprint]: cited on 15 April 2002, http://xxx.lanl.gov/abs/hep-th/9709019. 1ADSMathSciNetzbMATHCrossRefGoogle Scholar
- [115]Rozowsky, J.S., “Feynman diagrams and cutting rules”, (September, 1997), [Online Los Alamos Preprint]: cited on 15 April 2002, http://xxx.lanl.gov/abs/hep-ph/9709423. 1,5,5
- [116]Russo, J.G., and Tseytlin, A.A., “One-loop four-graviton amplitude in eleven-dimensional supergravity”, Nucl. Phys. B, 508, 245–259, (1997). For a related online version see: J.G. Russo, et al., “One-loop four-graviton amplitude in eleven-dimensional supergravity”, (July, 1997), [Online Los Alamos Archive Preprint]: cited on 15 April 2002, http://xxx.lanl.gov/abs/hep-th/9707134. 7.3ADSMathSciNetzbMATHCrossRefGoogle Scholar
- [117]Sannan, S., “Gravity as the limit of the type II superstring theory”, Phys. Rev. D, 34, 1749–1758, (1986). 3, 4ADSCrossRefGoogle Scholar
- [118]Scherk, J., and Schwarz, J.H., “Dual Model Approach to a Renormalizable Theory of Gravitation”, in Schwarz, J.H., ed., Superstrings: The first 15 years of superstring theory, volume 1, 218–222, (World Scientific, Singapore, 1985). 3CrossRefGoogle Scholar
- [119]Schmidt, M.G., and Schubert, C., “Multiloop calculations in the string inspired formalism: The single spinor loop in QED”, Phys. Rev. D, 53, 2150–2159, (1996). For a related online version see: M.G. Schmidt, et al., “Multiloop calculations in the string inspired formalism: The single spinor loop in QED”, (October, 1994), [Online Los Alamos Archive Preprint]: cited on 15 April 2002, http://xxx.lanl.gov/abs/hep-th/9410100. 1ADSCrossRefGoogle Scholar
- [120]Schubert, C., “Perturbative quantum field theory in the string-inspired formalism”, Phys. Rep., 355, 73–234, (2001). For a related online version see: C. Schubert, “Perturbative Quantum Field Theory in the String Inspired Formalism”, (January, 2001), [Online Los Alamos Preprint]: cited on 15 April 2002, http://xxx.lanl.gov/abs/hep-th/0101036. 1,1ADSMathSciNetzbMATHCrossRefGoogle Scholar
- [121]Selivanov, K.G., “Gravitationally dressed Parke-Taylor amplitudes”, Mod. Phys. Lett. A, 12, 3087–3090, (1997). For a related online version see: K.G. Selivanov, “Gravitationally dressed Parke-Taylor amplitudes”, (Novem ber, 1997), [Online Los Alamos Archive Preprint]: cited on 15 April 2002, http://xxx.lanl.gov/abs/hep-th/9711111. 3.3ADSCrossRefGoogle Scholar
- [122]Siegel, W., “Supersymmetric dimensional regularization via dimensional reduction”, Phys. Lett. B, 84, 193–196, (1979). 5, 7.1ADSMathSciNetCrossRefGoogle Scholar
- [123]Siegel, W., “Superspace duality in low-energy superstrings”, Phys. Rev. D, 48, 2826–2837, (1993). For a related online version see: W. Siegel, “Superspace Duality in Low-Energy Superstrings”, (May, 1993), [Online Los Alamos Preprint]: cited on 15 April 2002, http://xxx.lanl.gov/abs/hep-th/9305073. 1, 4, 8ADSMathSciNetCrossRefGoogle Scholar
- [124]Siegel, W., “Two vierbein formalism for string inspired axionic gravity”, Phys. Rev. D, 47, 5453–5459, (1993). For a related online version see: W. Siegel, “Two-Vierbein Formalism for String-Inspired Axionic Gravity”, (February, 1993), [Online Los Alamos Preprint]: cited on 15 April 2002, http://xxx.lanl.gov/abs/hep-th/9302036. 1, 4,8ADSMathSciNetCrossRefGoogle Scholar
- [125]Siegel, W., “Manifest Duality in Low-Energy Superstrings”, in Halpern, M.B., Sevrin, A., and Rivlis, G., eds., Proceedings of Strings 1993, (World Scientific, Singapore, 1994). For a related online version see: W. Siegel, “Manifest Duality in Low-Energy Superstrings”, (August, 1993), [Online Los Alamos Preprint]: cited on 15 April 2002, http://xxx.lanl.gov/abs/hep-th/9308133. 1, 4, 8Google Scholar
- [126]Singleton, D., “General relativistic analog solutions for Yang-Mills theory”, Theor. Math. Phys., 117, 1351–1363, (1998). For a related online version see: D. Singleton, “General relativistic analog solutions for Yang Mills theory”, (April, 1999), [Online Los Alamos Preprint]: cited on 15 April 2002, http://xxx.lanl.gov/abs/hep-th/9904125. 1MathSciNetzbMATHCrossRefGoogle Scholar
- [127]Smirnov, V.A., “Analytical result for dimensionally regularized massless on-shell double box”, Phys. Lett. B, 460, 397–404, (1999). For a related online version see: V.A. Smirnov, “Analytical Result for Dimensionally Regularized Massless On-shell Double Box”, (May, 1999), [Online Los Alamos Archive Preprint]: cited on 15 April 2002, http://xxx.lanl.gov/abs/hep-ph/9905323. 7.2ADSCrossRefGoogle Scholar
- [128]Stelle, K.S., “Revisiting Supergravity and Super Yang-Mills Renormalization (March, 2002), [Online Los Alamos Archive Preprint]: cited on 15 April 2002, http://xxx.lanl.gov/abs/hep-th/0203015. 1, 1, 7.3, 7.3, 8
- [129]Stelle, K.S., “Extended Supercurrents and the Ultraviolet Finiteness of N=4 Supersymmetric Yang Mills Theory”, in Duff, M.J., and Isham, C.J., eds., Quantum structure of space and time: Proceedings of the Nuffield Workshop, London 3-21 August 1981, 337–361, (Cambridge University Press, Cambridge, 1981). 7Google Scholar
- [130]’t Hooft, G., in Acta Universitatis Wratislavensis no. 38, 12th Winter School of Theoretical Physics in Karpacz; Functional and probabilistic methods in quantum field theory, (1975). Vol. 1. 1, 4Google Scholar
- [131]’t Hooft, G., and Veltman, M., “Regularization and renormalization of gauge fields”, Nucl. Phys. B, 44, 189–213, (1972). 5ADSMathSciNetCrossRefGoogle Scholar
- [132]’t Hooft, G., and Veltman, M.J., “One loop divergencies in the theory of gravitation,”, Ann. Inst. Henri Poincare, A, 20, 69–94, (1974). 1, 1ADSMathSciNetGoogle Scholar
- [133]Tausk, J.B., “Non-planar massless two-loop Feynman diagrams with four on-shell legs”, Phys. Lett. B, 469, 225–234, (1999). For a related online version see: J.B. Tausk, “Non-planar massless two-loop Feynman dia grams with four on-shell legs”, (September, 1999), [Online Los Alamos Archive Preprint]: cited on 15 April 2002, http://xxx.lanl.gov/abs/hep-ph/9909506. 7.2ADSMathSciNetzbMATHCrossRefGoogle Scholar
- [134]Tomboulis, E., “On the two loop divergences of supersymmetric gravitation”, Phys. Lett. B, 67, 417–420, (1977). 1ADSCrossRefGoogle Scholar
- [135]Utiyama, R., “Invariant Theoretical Interpretation of Interaction”, Phys. Rev., 101, 1597–1607, (1956). 1ADSMathSciNetzbMATHCrossRefGoogle Scholar
- [136]van de Ven, A.E.M., “Two-loop quantum gravity”, Nucl. Phys. B, 378, 309–366, (1992). 1, 1ADSMathSciNetCrossRefGoogle Scholar
- [137]van Neerven, W.L., “Dimensional regularization of mass and infrared singularities in two-loop on-shell vertex functions”, Nucl. Phys. B, 268, 453–488, (1986). 5ADSCrossRefGoogle Scholar
- [138]Veltman, M.J., “Quantum theory of Gravitation”, in Balian, R., and Zinn-Justin, J., eds., Methods in Field Theory, Proceedings of the Les Houches Summer School 1975, 265–327, (North-Holland, Amsterdam, 1976). 1, 2.1, 2.1, 3.2Google Scholar
- [139]Weinberg, S., “Infrared photons and gravitons”, Phys. Rev. B, 140, 516–524, (1965). 3.4, 3.4, 6.2, 8ADSMathSciNetCrossRefGoogle Scholar
- [140]Weinberg, S., “Phenomenological lagrangians”, Physica, 96, 327–340, (1979). 2.2, 6CrossRefGoogle Scholar
- [141]Weinberg, S., The quantum theory of fields, (Cambridge University Press, Cambridge, 1995). 1, 2.1, 3.2CrossRefGoogle Scholar
- [142]Xu, Z., Zhang, D.H., and Chang, L., “Helicity amplitudes for multiple bremsstrahlung in massless nonabelian gauge theories”, Nucl. Phys. B, 291, 392–428, (1987). 3.2, 3.3ADSCrossRefGoogle Scholar
- [143]Yang, C.N., “Condition of Self-Duality for SU(2) Gauge Fields on Euclidean Four-Dimensional Space”, Phys. Rev. Lett., 38, 1377–1379, (1977). 1, 6.2ADSMathSciNetCrossRefGoogle Scholar
- [144]Yoneya, T., “Connection of dual models to electrodynamics and gravidynamics”, Prog. Theor. Phys., 51, 1907–1920, (1974). 3ADSCrossRefGoogle Scholar
Copyright information
Open AccessThis article is distributed under the terms of the Creative Commons Attribution 4.0 International License (https://creativecommons.org/licenses/by/4.0), which permits use, duplication, adaptation, distribution, and reproduction in any medium or format, as long as you give appropriate credit to the original author(s) and the source, provide a link to the Creative Commons license, and indicate if changes were made.












