Skip to main content

Prediction of Prognosis for cHCC-CC Patients After Surgery: Comparison of Tumor Marker Score Based on AFP, CEA, CA19-9, and Other Clinical Stages

Abstract

Background

The effectiveness of clinical stage as a prognostic factor in combined hepatocellular carcinoma and cholangiocarcinoma (cHCC-CC) patients is controversial.

Patients and Methods

Medical records of all pathologically confirmed cHCC-CC patients from 2000 to 2017 at West China Hospital were retrieved. Tumor marker score (TMS) was determined from optimal AFP, CEA, and CA19-9 cutoff values. Interaction and subgroup analysis were conducted according to potential confounders. Prognostic value of TMS and other prognostic models were evaluated by Kaplan–Meier (K–M) analysis, c-index, and time-dependent receiver operating curves (td-ROC).

Results

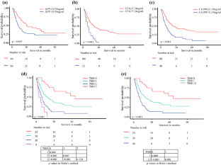
Optimal cutoff values for preoperative AFP, CEA, and CA19-9 were 10.76 ng/mL, 5.24 ng/mL, and 31.54 U/mL, respectively. Among 128 patients, 24, 58, and 46 were classified into TMS 0, TMS 1, and TMS ≥ 2, respectively. TMS could stratify our series into groups of statistically different prognosis. Subgroup analysis according to potential confounders and test for interactions showed that TMS 1 and TMS ≥ 2 were stable risk factors relative to TMS 0. Univariate (HR: TMS1 = 2.30, p = 0.014; TMS ≥ 2 = 5.1, p < 0.001) and multivariate Cox regression analyses (HR: TMS1 = 1.72, p = 0.124; TMS ≥ 2 = 4.15, p < 0.001) identified TMS as an independent prognostic risk factor. TMS had good discrimination (c-index 0.666, 95% CI 0.619–0.714), and calibration plots revealed favorable consistency. Area under the curve (AUC) value of td-ROC for TMS and integrated AUC was higher than for other clinical stages at any month within 5 years postoperation.

Conclusion

TMS exhibited optimal prognostic value over other widely used clinical stages for cHCC-CC after surgery and may guide clinicians in prognostic prediction.

This is a preview of subscription content, access via your institution.

Fig. 1
Fig. 2
Fig. 3
Fig. 4
Fig. 5

Data Availability

All data included in this study are available upon request by contact with the corresponding author.

References

  1. Theise ND, Nakashima O, Park YN, Nakanuma Y. Combined hepatocellular-cholangiocarcinoma. In: FT Bosman, F Carneiro, R Hruban, ND Theise, editors. WHO classification of tumours of the digestive system, vol 3, 4th edn. Lyon, France: International Agency for Research on Cancer; 2010. p. 225–7.

    Google Scholar 

  2. Kassahun WT, Hauss J. Management of combined hepatocellular and cholangiocarcinoma. Int J Clin Pract. 2008;62(8):1271–8.

    CAS  PubMed  Article  Google Scholar 

  3. Wang AQ, Zheng YC, Du J, et al. Combined hepatocellular cholangiocarcinoma: controversies to be addressed. World J Gastroenterol. 2016;22(18):4459–65.

    CAS  PubMed  PubMed Central  Article  Google Scholar 

  4. Jarnagin WR, Weber S, Tickoo SK, et al. Combined hepatocellular and cholangiocarcinoma: demographic, clinical, and prognostic factors. Cancer. 2002;94(7):2040–6.

    PubMed  Article  Google Scholar 

  5. Koh KC, Lee H, Choi MS, et al. Clinicopathologic features and prognosis of combined hepatocellular cholangiocarcinoma. Am J Surg. 2005;189(1):120–5.

    PubMed  Article  Google Scholar 

  6. Greene FL, Sobin LH. A worldwide approach to the TNM staging system: collaborative efforts of the AJCC and UICC. J Surg Oncol. 2009;99(5):269–72.

    PubMed  Article  Google Scholar 

  7. Llovet JM, Brú C, Bruix J. Prognosis of hepatocellular carcinoma: the BCLC staging classification. Semin Liver Dis. 1999;19(3):329–38.

    CAS  PubMed  Article  Google Scholar 

  8. The Cancer of the Liver Italian Program (CLIP) Investigators. Prospective validation of the CLIP score: a new prognostic system for patients with cirrhosis and hepatocellular carcinoma. The Cancer of the Liver Italian Program (CLIP) Investigators. Hepatology (Baltimore, Md.). 2000;31(4):840–5.

    Article  Google Scholar 

  9. Okuda K, Ohtsuki T, Obata H, et al. Natural history of hepatocellular carcinoma and prognosis in relation to treatment. Study of 850 patients. Cancer. 1985;56(4):918–28.

    CAS  PubMed  Article  Google Scholar 

  10. Leung TW, Tang AM, Zee B, et al. Construction of the Chinese University Prognostic Index for hepatocellular carcinoma and comparison with the TNM staging system, the Okuda staging system, and the Cancer of the Liver Italian Program staging system: a study based on 926 patients. Cancer. 2002;94(6):1760–9.

    PubMed  Article  Google Scholar 

  11. Kudo M, Chung H, Osaki Y. Prognostic staging system for hepatocellular carcinoma (CLIP score): its value and limitations, and a proposal for a new staging system, the Japan Integrated Staging Score (JIS score). J Gastroenterol. 2003;38(3):207–15.

    PubMed  Article  Google Scholar 

  12. Edge SB, Compton CC. The American Joint Committee on Cancer: the 7th edition of the AJCC cancer staging manual and the future of TNM. Ann Surg Oncol. 2010;17(6):1471–4.

    PubMed  Article  Google Scholar 

  13. He C, Mao Y, Wang J, et al. The Predictive value of staging systems and inflammation scores for patients with combined hepatocellular cholangiocarcinoma after surgical resection: a retrospective study. J Gastrointest Surg. 2018;22(7):1239–50.

    PubMed  Article  Google Scholar 

  14. Schizas D, Mastoraki A, Routsi E, et al. Combined hepatocellular-cholangiocarcinoma: an update on epidemiology, classification, diagnosis and management. Hepatobiliary Pancreat Dis Int. 2020;19:515–23.

    PubMed  Article  Google Scholar 

  15. Black AP, Mehta AS. The search for biomarkers of hepatocellular carcinoma and the impact on patient outcome. Curr Opin Pharmacol. 2018;41:74–8.

    CAS  PubMed  PubMed Central  Article  Google Scholar 

  16. Heimbach JK, Kulik LM, Finn RS, et al. AASLD guidelines for the treatment of hepatocellular carcinoma. Hepatology (Baltimore, Md). 2018;67(1):358–80.

    Article  Google Scholar 

  17. Zhu AX, Park JO, Ryoo BY, et al. Ramucirumab versus placebo as second-line treatment in patients with advanced hepatocellular carcinoma following first-line therapy with sorafenib (REACH): a randomised, double-blind, multicentre, phase 3 trial. Lancet Oncol. 2015;16(7):859–70.

    CAS  PubMed  Article  Google Scholar 

  18. Zhu AX, Kang YK, Yen CJ, et al. Ramucirumab after sorafenib in patients with advanced hepatocellular carcinoma and increased α-fetoprotein concentrations (REACH-2): a randomised, double-blind, placebo-controlled, phase 3 trial. Lancet Oncol. 2019;20(2):282–96.

    CAS  PubMed  Article  Google Scholar 

  19. Bruix J, Cheng AL, Meinhardt G, Nakajima K, De Sanctis Y, Llovet J. Prognostic factors and predictors of sorafenib benefit in patients with hepatocellular carcinoma: analysis of two phase III studies. J Hepatol. 2017;67(5):999–1008.

    CAS  PubMed  Article  Google Scholar 

  20. Llovet JM, Montal R, Sia D, Finn RS. Molecular therapies and precision medicine for hepatocellular carcinoma. Nat Rev Clin Oncol. 2018;15(10):599–616.

    PubMed  Article  Google Scholar 

  21. Liang B, Zhong L, He Q, et al. Diagnostic accuracy of serum CA19-9 in patients with cholangiocarcinoma: a systematic review and meta-analysis. Med Sci Mon Int Med J Exp Clin Res. 2015;21:3555–63.

    CAS  Google Scholar 

  22. Patel AH, Harnois DM, Klee GG, LaRusso NF, Gores GJ. The utility of CA 19-9 in the diagnoses of cholangiocarcinoma in patients without primary sclerosing cholangitis. Am J Gastroenterol. 2000;95(1):204–7.

    CAS  PubMed  Article  Google Scholar 

  23. Shen WF, Zhong W, Xu F, et al. Clinicopathological and prognostic analysis of 429 patients with intrahepatic cholangiocarcinoma. World J Gastroenterol. 2009;15(47):5976–82.

    CAS  PubMed  PubMed Central  Article  Google Scholar 

  24. Wang Y, Li J, Xia Y, et al. Prognostic nomogram for intrahepatic cholangiocarcinoma after partial hepatectomy. J Clin Oncol. 2013;31(9):1188–95.

    PubMed  Article  Google Scholar 

  25. Yoshikawa M, Morine Y, Ikemoto T, et al. Elevated preoperative serum cea level is associated with poor prognosis in patients with hepatocellular carcinoma through the epithelial-mesenchymal transition. Anticancer Res. 2017;37(3):1169–75.

    CAS  PubMed  Article  Google Scholar 

  26. Wakizaka K, Yokoo H, Kamiyama T, et al. Clinical and pathological features of combined hepatocellular-cholangiocarcinoma compared with other liver cancers. J Gastroenterol Hepatol. 2019;34(6):1074–80.

    CAS  PubMed  Article  Google Scholar 

  27. Shen YH, Yin YR, Cai H, et al. Prognostic value of WHO histopathological classification and serum levels of AFP and CA19-9 in post-surgical patients with combined hepatocellular carcinoma-cholangiocarcinoma. Chin J Clin Med. 2018;25(5):693–9.

    Google Scholar 

  28. Kim KH, Lee SG, Park EH, et al. Surgical treatments and prognoses of patients with combined hepatocellular carcinoma and cholangiocarcinoma. Ann Surg Oncol. 2009;16(3):623–9.

    PubMed  Article  Google Scholar 

  29. Brunt E, Aishima S, Clavien PA, et al. cHCC-CCA: consensus terminology for primary liver carcinomas with both hepatocytic and cholangiocytic differentation. Hepatology (Baltimore, Md). 2018;68(1):113–26.

    PubMed Central  Article  PubMed  Google Scholar 

  30. Gera S, Ettel M, Acosta-Gonzalez G, Xu R. Clinical features, histology, and histogenesis of combined hepatocellular-cholangiocarcinoma. World J Hepatol. 2017;9(6):300–9.

    PubMed  PubMed Central  Article  Google Scholar 

  31. Stavraka C, Rush H, Ross P. Combined hepatocellular cholangiocarcinoma (cHCC-CC): an update of genetics, molecular biology, and therapeutic interventions. J Hepatocell Carcinoma. 2019;6:11–21.

    CAS  PubMed  Article  Google Scholar 

  32. Yeh MM. Pathology of combined hepatocellular-cholangiocarcinoma. J Gastroenterol Hepatol. 2010;25(9):1485–92.

    PubMed  Article  Google Scholar 

  33. Strasberg SM. Nomenclature of hepatic anatomy and resections: a review of the Brisbane 2000 system. J Hepatobiliary Pancreat Surg. 2005;12(5):351–5.

    PubMed  Article  Google Scholar 

  34. Camp RL, Dolled-Filhart M, Rimm DL. X-tile: a new bio-informatics tool for biomarker assessment and outcome-based cut-point optimization. Clin Cancer Res. 2004;10(21):7252–9.

    CAS  PubMed  Article  Google Scholar 

  35. Liu C, Xiao GQ, Yan LN, et al. Value of α-fetoprotein in association with clinicopathological features of hepatocellular carcinoma. World J Gastroenterol. 2013;19(11):1811–9.

    CAS  PubMed  PubMed Central  Article  Google Scholar 

  36. Si YQ, Wang XQ, Fan G, et al. Value of AFP and PIVKA-II in diagnosis of HBV-related hepatocellular carcinoma and prediction of vascular invasion and tumor differentiation. Infect Agent Cancer. 2020;15(1):70.

    CAS  PubMed  PubMed Central  Article  Google Scholar 

  37. Navarro JG, Lee JH, Kang I, et al. Prognostic significance of and risk prediction model for lymph node metastasis in resectable intrahepatic cholangiocarcinoma: do all require lymph node dissection? HPB (Oxford). 2020;22(10):1411–9.

    Article  Google Scholar 

  38. Harrell FE Jr, Lee KL, Mark DB. Multivariable prognostic models: issues in developing models, evaluating assumptions and adequacy, and measuring and reducing errors. Stat Med. 1996;15(4):361–87.

    PubMed  Article  Google Scholar 

  39. Li J, Ma S. Time-dependent ROC analysis under diverse censoring patterns. Stat Med. 2011;30(11):1266–77.

    PubMed  Article  Google Scholar 

  40. Wells HGM. Primary carcinoma of the liver. Am J Med Sci. 1903;126(3):403–17.

    Article  Google Scholar 

  41. Wang J, Li E, Yang H, et al. Combined hepatocellular-cholangiocarcinoma: a population level analysis of incidence and mortality trends. World J Surg Oncol. 2019;17(1):43.

    PubMed  PubMed Central  Article  Google Scholar 

  42. Yin X, Zhang BH, Qiu SJ, et al. Combined hepatocellular carcinoma and cholangiocarcinoma: clinical features, treatment modalities, and prognosis. Ann Surg Oncol. 2012;19(9):2869–76.

    PubMed  Article  Google Scholar 

  43. Chu KJ, Lu CD, Dong H, Fu XH, Zhang HW, Yao XP. Hepatitis B virus-related combined hepatocellular-cholangiocarcinoma: clinicopathological and prognostic analysis of 390 cases. Eur J Gastroenterol Hepatol. 2014;26(2):192–9.

    CAS  PubMed  Article  Google Scholar 

  44. Kim SH, Park YN, Lim JH, Choi GH, Choi JS, Kim KS. Characteristics of combined hepatocelluar-cholangiocarcinoma and comparison with intrahepatic cholangiocarcinoma. Eur J Surg Oncol. 2014;40(8):976–81.

    CAS  PubMed  Article  Google Scholar 

  45. Wu CH, Yong CC, Liew EH, et al. Combined hepatocellular carcinoma and cholangiocarcinoma: diagnosis and prognosis after resection or transplantation. Transplant Proc. 2016;48(4):1100–4.

    PubMed  Article  Google Scholar 

  46. Ramai D, Ofosu A, Lai JK, Reddy M, Adler DG. Combined hepatocellular cholangiocarcinoma: a population-based retrospective study. Am J Gastroenterol. 2019;114(9):1496–501.

    PubMed  Article  Google Scholar 

  47. Park H, Choi KH, Choi SB, et al. Clinicopathological characteristics in combined hepatocellular-cholangiocarcinoma: a single center study in Korea. Yonsei Med J. 2011;52(5):753–60.

    CAS  PubMed  PubMed Central  Article  Google Scholar 

  48. Li H, Wang XT, Zhang AQ, et al. Comparison of the predictive values of eight staging systems for primary liver cancer in prognosis of combined hepatocellular-cholangiocellular carcinoma patients after surgery. Zhongguo yi xue ke xue yuan xue bao Acta Academiae Medicinae Sinicae. 2016;38(2):175–81.

    PubMed  Google Scholar 

  49. Portolani N, Baiocchi GL, Coniglio A, et al. Intrahepatic cholangiocarcinoma and combined hepatocellular-cholangiocarcinoma: a Western experience. Ann Surg Oncol. 2008;15(7):1880–90.

    PubMed  Article  Google Scholar 

  50. Cazals-Hatem D, Rebouissou S, Bioulac-Sage P, et al. Clinical and molecular analysis of combined hepatocellular-cholangiocarcinomas. J Hepatol. 2004;41(2):292–8.

    CAS  PubMed  Article  Google Scholar 

  51. Coulouarn C, Cavard C, Rubbia-Brandt L, et al. Combined hepatocellular-cholangiocarcinomas exhibit progenitor features and activation of Wnt and TGFβ signaling pathways. Carcinogenesis. 2012;33(9):1791–6.

    CAS  PubMed  Article  Google Scholar 

  52. Joseph NM, Tsokos CG, Umetsu SE, et al. Genomic profiling of combined hepatocellular-cholangiocarcinoma reveals similar genetics to hepatocellular carcinoma. J Pathol. 2019;248(2):164–78.

    CAS  PubMed  Article  Google Scholar 

  53. Fujimoto A, Furuta M, Shiraishi Y, et al. Whole-genome mutational landscape of liver cancers displaying biliary phenotype reveals hepatitis impact and molecular diversity. Nat Commun. 2015;6:6120.

    CAS  PubMed  Article  Google Scholar 

  54. Liu ZH, Lian BF, Dong QZ, et al. Whole-exome mutational and transcriptional landscapes of combined hepatocellular cholangiocarcinoma and intrahepatic cholangiocarcinoma reveal molecular diversity. Biochim Biophys Acta Mol Basis Dis. 2018;1864(6 Pt B):2360–8.

    CAS  PubMed  Article  Google Scholar 

  55. Fowler KJ, Sheybani A, Parker RA 3rd, et al. Combined hepatocellular and cholangiocarcinoma (biphenotypic) tumors: imaging features and diagnostic accuracy of contrast-enhanced CT and MRI. AJR Am J Roentgenol. 2013;201(2):332–9.

    PubMed  Article  Google Scholar 

  56. He C, Zhang Y, Cai Z, Lin X. Competing risk analyses of overall survival and cancer-specific survival in patients with combined hepatocellular cholangiocarcinoma after surgery. BMC Cancer. 2019;19(1):178.

    PubMed  PubMed Central  Article  Google Scholar 

  57. Lin G, Toh CH, Wu RC, et al. Combined hepatocellular cholangiocarcinoma: prognostic factors investigated by computed tomography/magnetic resonance imaging. Int J Clin Pract. 2008;62(8):1199–205.

    CAS  PubMed  Article  Google Scholar 

  58. Zhou YM, Sui CJ, Zhang XF, Li B, Yang JM. Influence of cirrhosis on long-term prognosis after surgery in patients with combined hepatocellular-cholangiocarcinoma. BMC Gastroenterol. 2017;17(1):25.

    PubMed  PubMed Central  Article  Google Scholar 

  59. Lambert J, Chevret S. Summary measure of discrimination in survival models based on cumulative/dynamic time-dependent ROC curves. Stat Methods Med Res. 2016;25(5):2088–102.

    PubMed  Article  Google Scholar 

Download references

Acknowledgment

This work was supported by grants from the National Key Technologies R&D Program (2018YFC1106800), the Natural Science Foundation of China (81972747, 81872004, 81800564, 81770615, 81700555, and 81672882), the Science and Technology Support Program of Sichuan Province (2019YFQ0001, 2018SZ0115, and 2017SZ0003), the Science and Technology Program of Tibet Autonomous Region (XZ201801-GB-02), and the 1.3.5 project for disciplines of excellence, West China Hospital, Sichuan University (ZYJC18008).

Author information

Affiliations

Authors

Corresponding author

Correspondence to Yong Zeng MD.

Ethics declarations

Disclosure

There is no conflict of interest.

Additional information

Publisher's Note

Springer Nature remains neutral with regard to jurisdictional claims in published maps and institutional affiliations.

Supplementary Information

Rights and permissions

Reprints and Permissions

About this article

Verify currency and authenticity via CrossMark

Cite this article

Hou, GM., Liu, Hl., Wu, H. et al. Prediction of Prognosis for cHCC-CC Patients After Surgery: Comparison of Tumor Marker Score Based on AFP, CEA, CA19-9, and Other Clinical Stages. Ann Surg Oncol 28, 7647–7660 (2021). https://doi.org/10.1245/s10434-021-09949-1

Download citation

  • Received:

  • Accepted:

  • Published:

  • Issue Date:

  • DOI: https://doi.org/10.1245/s10434-021-09949-1