Skip to main content

Comparison of Hepatic Resection Combined with Intraoperative Radiofrequency Ablation, or Hepatic Resection Alone, for Hepatocellular Carcinoma Patients with Multifocal Tumors Meeting the University of California San Francisco (UCSF) Criteria: A Propensity Score-Matched Analysis

Abstract

Background

Whether hepatic resection (HR) combined with radiofrequency ablation (RFA) or HR alone is the treatment of choice for early or moderately advanced multifocal hepatocellular carcinomas (HCCs) is a matter of debate. This study compared the short- and long-term outcomes of patients with multifocal tumors meeting the University of California San Francisco (UCSF) criteria after HR plus intraoperative RFA or HR alone.

Methods

A total of 261 consecutive patients with multifocal HCCs meeting the UCSF criteria from January 2010 to January 2018, who underwent combined treatment (n = 51) or HR (n = 210), were included. Propensity score matching was performed to adjust for baseline differences. Overall survival (OS) and recurrence-free survival (RFS) were calculated, and subgroup analysis, along with univariate and multivariate analyses, were performed.

Results

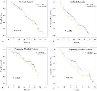
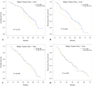
The 1-, 3-, and 5-year OS rates after combined treatment or HR alone were 86.3%, 66.6%, and 34.2%, and 92.8%, 67.1%, and 37%, respectively (p = 0.423); combined treatment provided similar RFS rates as HR at 1, 3, and 5 years (78.4%, 35.8% and 20.9% vs. 82.6%, 50.4% and 24.5%, respectively; p = 0.076). The propensity matching model showed similar results. Subgroup analysis showed that HR was associated with better RFS than HR plus RFA for patients with two tumors or major tumors ≤ 3 cm. Multivariate analysis revealed that portal hypertension and three tumors are independent risk factors.

Conclusions

For multifocal HCC patients meeting the UCSF criteria, combined treatment may offer similar OS and RFS as HR; however, HR may be more suitable than combined treatment for patients with two tumors or major tumors ≤ 3 cm.

This is a preview of subscription content, access via your institution.

Fig. 1
Fig. 2
Fig. 3
Fig. 4

References

  1. Torre LA, Bray F, Siegel RL, et al. Global cancer statistics, 2012. CA Cancer J Clin 2015;65:87–108.

    Article  Google Scholar 

  2. Yao FY, Ferrell L, Bass NM, et al. Liver transplantation for hepatocellular carcinoma: expansion of the tumor size limits does not adversely impact survival. Hepatology 2001;33:1394–403.

    CAS  Article  Google Scholar 

  3. Kaibori M, Yoshii K, Hasegawa K, et al. Treatment optimization for hepatocellular carcinoma in elderly patients in a japanese nationwide cohort. Ann Surg 2019;270:121–30.

    Article  Google Scholar 

  4. Feng K, Yan J, Li X, et al. A randomized controlled trial of radiofrequency ablation and surgical resection in the treatment of small hepatocellular carcinoma. J Hepatol 2012;57:794–802.

    Article  Google Scholar 

  5. Pompili M, Saviano A, de Matthaeis N, et al. Long-term effectiveness of resection and radiofrequency ablation for single hepatocellular carcinoma ≤ 3 cm. Results of a multicenter Italian survey. J Hepatol 2013;59:89–97.

  6. Chen MS, Li JQ, Zheng Y, et al. A prospective randomized trial comparing percutaneous local ablative therapy and partial hepatectomy for small hepatocellular carcinoma. Ann Surg. 2006;243:321–8.

    Article  Google Scholar 

  7. Mazzaferro V, Lencioni R, Majno P. Early hepatocellular carcinoma on the procrustean bed of ablation, resection, and transplantation. Semin Liver Dis. 2014;34:415–26.

    Article  Google Scholar 

  8. Peng ZW, Liu FR, Ye S, et al. Radiofrequency ablation versus open hepatic resection for elderly patients (> 65 years) with very early or early hepatocellular carcinoma. Cancer. 2013;119:3812–20.

    Article  Google Scholar 

  9. Hasegawa K, Kokudo N, Makuuchi M, et al. Comparison of resection and ablation for hepatocellular carcinoma: a cohort study based on a Japanese nationwide survey. J Hepatol. 2013;58:724–9.

    Article  Google Scholar 

  10. Feng Q, Chi Y, Liu Y, et al. Efficacy and safety of percutaneous radiofrequency ablation versus surgical resection for small hepatocellular carcinoma: a meta-analysis of 23 studies. J Cancer Res Clin Oncol. 2015;141:1–9.

    Article  Google Scholar 

  11. Wang JH, Wang CC, Hung CH, et al. Survival comparison between surgical resection and radiofrequency ablation for patients in BCLC very early/early stage hepatocellular carcinoma. J Hepatol. 2012;56:412–8.

    Article  Google Scholar 

  12. Santambrogio R, Kluger MD, Costa M, et al. Hepatic resection for hepatocellular carcinoma in patients with Child-Pugh’s A cirrhosis: is clinical evidence of portal hypertension a contraindication? HPB (Oxford). 2013;15:78–84.

    Article  Google Scholar 

  13. Pang YY. The Brisbane 2000 terminology of liver anatomy and resections. HPB 2000; 2:333–39. HPB (Oxford) 2002;4:99.

    Google Scholar 

  14. Austin PC. An introduction to propensity score methods for reducing the effects of confounding in observational studies. Multivariate Behav Res. 2011;46:399–424.

    Article  Google Scholar 

  15. Zhao WC, Yang N, Zhu N, et al. Patients with multiple hepatocellular carcinomas within the UCSF criteria have outcomes after curative resection similar to patients within the BCLC early-stage criteria. World J Surg. 2012;36:1811–23.

    Article  Google Scholar 

  16. Eisele RM, Zhukowa J, Chopra S, et al. Results of liver resection in combination with radiofrequency ablation for hepatic malignancies. Eur J Surg Oncol. 2010;36:269–74.

    CAS  Article  Google Scholar 

  17. Itoh S, Morita K, Ueda S, et al. Long-term results of hepatic resection combined with intraoperative local ablation therapy for patients with multinodular hepatocellular carcinomas. Ann Surg Oncol. 2009;16:3299–307.

    Article  Google Scholar 

  18. Pawlik TM, Izzo F, Cohen DS, et al. Combined resection and radiofrequency ablation for advanced hepatic malignancies: results in 172 patients. Ann Surg Oncol. 2003;10:1059–69.

    Article  Google Scholar 

  19. Cheung TT, Ng KK, Chok KS, et al. Combined resection and radiofrequency ablation for multifocal hepatocellular carcinoma: prognosis and outcomes. World J Gastroenterol 2010;16:3056–62.

    Article  Google Scholar 

  20. Hiraoka A, Hirooka M, Ochi H, et al. Combination of resection and ablative treatment for hepatocellular carcinoma: usefulness of complementary radiofrequency ablation. Oncology. 2019;96:242–51.

    Article  Google Scholar 

  21. Elias D, Goharin A, El Otmany A, et al. Usefulness of intraoperative radiofrequency thermoablation of liver tumours associated or not with hepatectomy. Eur J Surg Oncol. 2000;26:763–9.

    CAS  Article  Google Scholar 

  22. Zhang T, Zeng Y, Huang J, et al. Combined resection with radiofrequency ablation for bilobar hepatocellular carcinoma: a single-center experience. J Surg Res. 2014;191:370–8.

    Article  Google Scholar 

  23. Lee SJ, Cho EH, Kim R, et al. Hepatectomy, combined with intraoperative radiofrequency ablation in patients with multiple hepatocellular carcinomas. Korean J Hepatobiliary Pancreat Surg. 2015;19:98–102.

    Article  Google Scholar 

  24. Raut CP, Izzo F, Marra P, et al. Significant long-term survival after radiofrequency ablation of unresectable hepatocellular carcinoma in patients with cirrhosis. Ann Surg Oncol. 2005;12:616–28.

    Article  Google Scholar 

  25. Curley SA, Izzo F, Ellis LM, et al. Radiofrequency ablation of hepatocellular cancer in 110 patients with cirrhosis. Ann Surg. 2000;232:381–91.

    CAS  Article  Google Scholar 

  26. Zheng YW, Wang KP, Zhou JJ, et al. Portal hypertension predicts short-term and long-term outcomes after hepatectomy in hepatocellular carcinoma patients. Scand J Gastroenterol. 2018;53:1562–8.

    Article  Google Scholar 

  27. Hidaka M, Takatsuki M, Soyama A, et al. Intraoperative portal venous pressure and long-term outcome after curative resection for hepatocellular carcinoma. Br J Surg. 2012;99:1284–9.

    CAS  Article  Google Scholar 

  28. Bruix J, Castells A, Bosch J, et al. Surgical resection of hepatocellular carcinoma in cirrhotic patients: prognostic value of preoperative portal pressure. Gastroenterology. 1996;111:1018–22.

    CAS  Article  Google Scholar 

  29. Ruzzenente A, Valdegamberi A, Campagnaro T, et al. Hepatocellular carcinoma in cirrhotic patients with portal hypertension: is liver resection always contraindicated? World J Gastroenterol. 2011;17:5083–8.

    Article  Google Scholar 

  30. Cucchetti A, Ercolani G, Vivarelli M, et al. Is portal hypertension a contraindication to hepatic resection? Ann Surg. 2009;250:922–8.

    Article  Google Scholar 

  31. Rungsakulkij N, Suragul W, Mingphruedhi S, et al. Prognostic factors in patients with HBV-related hepatocellular carcinoma following hepatic resection. Infect Agent Cancer. 2018;13:20.

    Article  Google Scholar 

  32. Zheng J, Chou JF, Gonen M, et al. Prediction of hepatocellular carcinoma recurrence beyond milan criteria after resection: validation of a clinical risk score in an international cohort. Ann Surg. 2017;266:693–701.

    Article  Google Scholar 

  33. European Association for the Study of the Liver, European Organisation for Research and Treatment of Cancer. EASL-EORTC clinical practice guidelines: management of hepatocellular carcinoma. J Hepatol. 2012;56:908–43.

Download references

Acknowledgment

The authors would like to thank Dr Xi Xu for his contribution to the statistical analysis.

Funding

This study was supported by grants from the National Natural Science Foundation of China (81400636) and Sichuan Province Key Research and Development Project (2019YFS0203).

Author information

Affiliations

Authors

Corresponding authors

Correspondence to Li Jiang MD or Jiayin Yang MD.

Ethics declarations

Disclosures

Jiulin Song, Yang Huang, Jinli Zheng, Li Jiang, Lunan Yan, Jiayin Yang, Yong Zeng, and Hong Wu have no disclosures to declare.

Additional information

Publisher's Note

Springer Nature remains neutral with regard to jurisdictional claims in published maps and institutional affiliations.

Rights and permissions

Reprints and Permissions

About this article

Verify currency and authenticity via CrossMark

Cite this article

Huang, Y., Song, J., Zheng, J. et al. Comparison of Hepatic Resection Combined with Intraoperative Radiofrequency Ablation, or Hepatic Resection Alone, for Hepatocellular Carcinoma Patients with Multifocal Tumors Meeting the University of California San Francisco (UCSF) Criteria: A Propensity Score-Matched Analysis. Ann Surg Oncol 27, 2334–2345 (2020). https://doi.org/10.1245/s10434-020-08231-0

Download citation

  • Received:

  • Published:

  • Issue Date:

  • DOI: https://doi.org/10.1245/s10434-020-08231-0