Abstract
Background
In pancreatic adenocarcinoma (PDAC), increasing tumor size usually correlates with a worse prognosis. However, patients with a very small primary tumor who experience lymph node involvement may have a different disease biology. This study sought to determine the interaction between tumor size and lymph node involvement in terms of overall survival (OS).
Methods
The study identified 17,073 patients with a diagnosis of M0 resected PDAC between 1983 and 2013 using the Surveillance, Epidemiology, and End Results database. The patients were stratified by lymph node involvement (N0 vs N+) and T stage (T1a–T1b vs T1c vs T2 vs T3 vs T4). The Kaplan–Meier method was used to estimate OS, and Cox regression analysis was used to compare survival between subgroups after adjustment for patient-specific factors.
Results
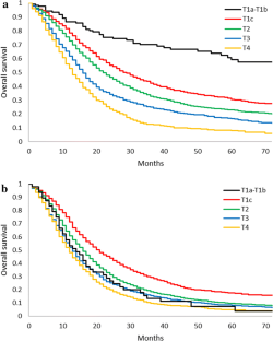
Lymph node involvement and T stage significantly interacted (p < 0.001). Among the patients with node-negative disease, 5-year OS decreased monotonically with increasing T stage (59.1%, 30.6%, 22.9%, 16.6%, and 8.0%, respectively; p < 0.001). In contrast, among the patients with node-positive disease, those with T1a–T1b tumors (< 10 mm) had worse 5-year OS than those with T1c tumors (7.4% vs 17.6%; adjusted hazard ratio, 0.70; 95% confidence interval, 0.50–0.97; p = 0.034) and similar survival compared with those who had T2, T3, or T4 tumors (9.7%, 8.2%, and 4.8%, respectively; p > 0.2 in all cases).
Conclusions
Among patients with lymph node-positive PDAC, very small primary tumors are associated with decreased OS. This finding raises the possibility that small tumors capable of lymph node metastasis might represent more biologically aggressive cancers.



Similar content being viewed by others
Avoid common mistakes on your manuscript.
References
Siegel RL, Miller KD, Jemal A. Cancer statistics, 2018. CA: Cancer J Clin. 2018;68:7–30.
Allen PJ, Kuk D, Castillo CF, et al. Multi-institutional validation study of the American Joint Commission on Cancer (8th ed) changes for T and N staging in patients with pancreatic adenocarcinoma. Ann Surg. 2017;265:185–91.
Lodish H, Berk A, Zipursky SL, et al. (eds.) Molecular cell biology. 4th ed. New York: W.H. Freeman; 2000.
Wo JY, Chen K, Neville BA, Lin NU, Punglia RS. Effect of very small tumor size on cancer-specific mortality in node-positive breast cancer. J Clin Oncol. 2011;29:2619–27.
Muralidhar V, Mahal BA, Nezolosky MD, et al. Association between very small tumour size and increased cancer-specific mortality after radical prostatectomy in lymph node-positive prostate cancer. BJU Int. 2016;118:279–85.
Muralidhar V, Nipp RD, Ryan DP, Hong TS, Nguyen PL, Wo JY. Association between very small tumor size and increased cancer-specific mortality in node-positive colon cancer. Dis Colon Rectum. 2016;59:187–93.
Overview of the SEER Program. Retrieved 3 September 2015 at http://seer.cancer.gov/about/overview.html.
Amin MB, Edge SB, Greene FL. AJCC cancer staging manual. 8th ed. Cham: Springer; 2017.
Schemper M, Smith TL. A note on quantifying follow-up in studies of failure time. Control Clin Trials. 1996;17:343–6.
Neoptolemos JP, Palmer DH, Ghaneh P, et al. Comparison of adjuvant gemcitabine and capecitabine with gemcitabine monotherapy in patients with resected pancreatic cancer (ESPAC-4): a multicentre, open-label, randomised, phase 3 trial. Lancet. 2017;389:1011–24.
Oettle H, Neuhaus P, Hochhaus A, et al. Adjuvant chemotherapy with gemcitabine and long-term outcomes among patients with resected pancreatic cancer: the CONKO-001 randomized trial. JAMA. 2013;310:1473–81.
Conroy T, Desseigne F, Ychou M, et al. FOLFIRINOX versus gemcitabine for metastatic pancreatic cancer. N Engl J Med. 2011;364:1817–25.
Conroy T, Hammel P, Hebbar M, et al. Unicancer GI PRODIGE 24/CCTG PA.6 trial: a multicenter international randomized phase III trial of adjuvant mFOLFIRINOX versus gemcitabine (gem) in patients with resected pancreatic ductal adenocarcinomas (abstract LBA4001). J Clin Oncol. 2018;36(Suppl). Presented at ASCO 2018.
Katz MH, Shi Q, Ahmad SA, et al. Preoperative modified FOLFIRINOX treatment followed by capecitabine-based chemoradiation for borderline resectable pancreatic cancer: Alliance for Clinical Trials in Oncology Trial A021101. JAMA Surg. 2016;151:e161137.
Murphy JE, Wo JY, Ryan DP, et al. Total neoadjuvant therapy with FOLFIRINOX followed by individualized chemoradiotherapy for borderline resectable pancreatic adenocarcinoma: a phase 2 clinical trial. JAMA Oncol. 2018;4(7):963–69.
Gemenetzis G, Groot VP, Blair AB, et al. Survival in locally advanced pancreatic cancer after neoadjuvant therapy and surgical resection. Ann Surg. 2018. https://doi.org/10.1097/SLA.0000000000002753.
Suker M, Beumer BR, Sadot E, et al. FOLFIRINOX for locally advanced pancreatic cancer: a systematic review and patient-level meta-analysis. Lancet Oncol. 2016;17:801–10.
Versteijne E, van Eijck CH, Punt CJ, et al. Preoperative radiochemotherapy versus immediate surgery for resectable and borderline resectable pancreatic cancer (PREOPANC trial): study protocol for a multicentre randomized controlled trial. Trials. 2016;17:127.
Yachida S, Jones S, Bozic I, et al. Distant metastasis occurs late during the genetic evolution of pancreatic cancer. Nature. 2010;467:1114–7.
Tao LY, Zhang LF, Xiu DR, Yuan CH, Ma ZL, Jiang B. Prognostic significance of K-ras mutations in pancreatic cancer: a meta-analysis. World J Surg Oncol. 2016;14:146.
Xiang JF, Wang WQ, Liu L, et al. Mutant p53 determines pancreatic cancer poor prognosis to pancreatectomy through upregulation of cavin-1 in patients with preoperative serum CA19-9 ≥ 1,000 U/mL. Sci Rep. 2016;6:19222.
Blackford A, Serrano OK, Wolfgang CL, et al. SMAD4 gene mutations are associated with poor prognosis in pancreatic cancer. Clin Cancer Res. 2009;15:4674–9.
Sausen M, Phallen J, Adleff V, et al. Clinical implications of genomic alterations in the tumour and circulation of pancreatic cancer patients. Nat Commun. 2015;6:7686.
Neoptolemos JP, Dunn JA, Stocken DD, et al. Adjuvant chemoradiotherapy and chemotherapy in resectable pancreatic cancer: a randomised controlled trial. Lancet. 2001;358:1576–85.
Kalser MH, Ellenberg SS. Pancreatic cancer: adjuvant combined radiation and chemotherapy following curative resection. Arch Surg. 1985;120:899–903.
Smeenk HG, van Eijck CH, Hop WC, et al. Long-term survival and metastatic pattern of pancreatic and periampullary cancer after adjuvant chemoradiation or observation: long-term results of EORTC trial 40891. Ann Surg. 2007;246:734–40.
Amin S, Lucas AL, Frucht H. Evidence for treatment and survival disparities by age in pancreatic adenocarcinoma: a population-based analysis. Pancreas. 2013;42:249–53.
Ma J, Siegel R, Jemal A. Pancreatic cancer death rates by race among US men and women, 1970–2009. J Natl Cancer Inst. 2013;105:1694–700.
Wasif N, Ko CY, Farrell J, et al. Impact of tumor grade on prognosis in pancreatic cancer: should we include grade in AJCC staging? Ann Surg Oncol. 2010;17:2312–20.
Badger SA, Brant JL, Jones C, et al. The role of surgery for pancreatic cancer: a 12-year review of patient outcome. Ulster Med J. 2010;79:70–5.
Mellon EA, Springett GM, Hoffe SE, et al. Adjuvant radiotherapy and lymph node dissection in pancreatic cancer treated with surgery and chemotherapy. Cancer. 2014;120:1171–7.
Herman JM, Swartz MJ, Hsu CC, et al. Analysis of fluorouracil-based adjuvant chemotherapy and radiation after pancreaticoduodenectomy for ductal adenocarcinoma of the pancreas: results of a large, prospectively collected database at the Johns Hopkins Hospital. J Clin Oncol. 2008;26:3503–10.
Corsini MM, Miller RC, Haddock MG, et al. Adjuvant radiotherapy and chemotherapy for pancreatic carcinoma: the Mayo Clinic experience (1975–2005). J Clin Oncol. 2008;26:3511–6.
Mazzola C, Savage C, Ahallal Y, et al. Nodal counts during pelvic lymph node dissection for prostate cancer: an objective indicator of quality under the influence of very subjective factors. BJU Int. 2012;109:1323–8.
Author information
Authors and Affiliations
Corresponding author
Ethics declarations
Disclosure
Dr. Nguyen has served as a consultant to GenomeDx, Astellas, Bayer, Ferring, Dandreon, Blue Earth, Augmenix, Janssen, and Nanobiotix. He has received research funding from Janssen and Astellas and has equity in Augmenix. No other authors have any conflicts of interest or disclosures.
Rights and permissions
About this article
Cite this article
Muralidhar, V., Nipp, R.D., Mamon, H.J. et al. Association Between Very Small Tumor Size and Decreased Overall Survival in Node-Positive Pancreatic Cancer. Ann Surg Oncol 25, 4027–4034 (2018). https://doi.org/10.1245/s10434-018-6832-8
Received:
Published:
Issue Date:
DOI: https://doi.org/10.1245/s10434-018-6832-8


