Abstract
Background
In early-stage esophageal adenocarcinoma (EAC), esophagectomy improves staging but also increases mortality compared with endoscopic resection. Our objective was to quantify esophagectomy mortality and lymph node metastasis (LNM) risk in early-stage EAC to improve surgical treatment allocation.
Methods
We identified National Cancer Database (2004–2014) patients with nonmetastatic, Tis, T1a, or T1b EAC who had primary surgical resection and microscopic examination of at least 15 lymph nodes. Univariate and multivariable logistic regression identified predictors of LNM. Cox regression identified predictors of death. The Kaplan–Meier method predicted overall survival (OS).
Results
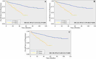
In 782 patients, LNM rates were: all patients 13.8%, Tis 0%, T1a 3.6%, T1b 23.4%. Independent predictors of LNM were submucosal invasion, lymphovascular invasion (LVI), decreasing differentiation, and tumor size ≥ 2 cm (P < 0.05). For T1a tumors with poor differentiation or size ≥ 2 cm, LNM rates were 10.2 and 6.7%, respectively; 90-day mortality was 3.1%. The LNM rate in well differentiated T1b tumors < 2 cm was 4.2%; 90-day mortality was 6.0%. Estimated 5-year OS was 80.2% versus 64.4% (T1a vs. T1b). LNM increased risk of death for T1a (hazard ratio [HR] 8.52, 95% confidence interval [CI] 3.13–23.22, P < 0.001) and T1b tumors (HR 2.52, 95% CI 1.59–4.00, P < 0.001).
Conclusions
In T1a EAC with poor differentiation or size ≥ 2 cm, esophagectomy should be considered, whereas in T1b EAC with low-risk features (well-differentiated T1b EAC < 2 cm without LVI), endoscopic resection may be sufficient. Treatment guidelines for early-stage EAC should include all high-risk tumor features for LNM and stage-specific esophagectomy mortality.



References
Edgren G, Adami HO, Weiderpass E, Nyren O. A global assessment of the oesophageal adenocarcinoma epidemic. Gut. 2013;62(10):1406–14.
Lagergren J, Lagergren P. Recent developments in esophageal adenocarcinoma. CA Cancer J Clin. 2013;63(4):232–48.
Hur C, Miller M, Kong CY, Dowling EC, Nattinger KJ, Dunn M, Feuer EJ. Trends in esophageal adenocarcinoma incidence and mortality. Cancer. 2013;119(6):1149–58.
Ngamruengphong S, Wolfsen HC, Wallace MB. Survival of patients with superficial esophageal adenocarcinoma after endoscopic treatment vs surgery. Clin Gastroenterol Hepatol. 2013;11(11):1424–29. e1422; quiz e1481.
National Comprehensive Cancer Network. NCCN Clinical practice guidelines in oncology: esophageal and esophagogastric junction cancers (Version 1.2017). https://www.nccn.org/professionals/physician_gls/PDF/esophageal.pdf. Accessed 16 May 2017.
Pech O, May A, Manner H, et al. Long-term efficacy and safety of endoscopic resection for patients with mucosal adenocarcinoma of the esophagus. Gastroenterology. 2014;146(3):652–60. e651.
Rentz J, Bull D, Harpole D, et al. Transthoracic versus transhiatal esophagectomy: a prospective study of 945 patients. J Thorac Cardiovasc Surg. 2003;125(5):1114–20.
Bailey SH, Bull DA, Harpole DH, et al. Outcomes after esophagectomy: a ten-year prospective cohort. Ann Thorac Surg. 2003;75(1):217–22; discussion 222.
Ra J, Paulson EC, Kucharczuk J, et al. Postoperative mortality after esophagectomy for cancer: development of a preoperative risk prediction model. Ann Surg Oncol. 2008;15(6):1577–84.
Wright CD, Kucharczuk JC, O’Brien SM, Grab JD, Allen MS. Predictors of major morbidity and mortality after esophagectomy for esophageal cancer: a Society of Thoracic Surgeons General Thoracic Surgery Database risk adjustment model. J Thorac Cardiovasc Surg. 2009;137(3):587–95; discussion 596.
Connors RC, Reuben BC, Neumayer LA, Bull DA. Comparing outcomes after transthoracic and transhiatal esophagectomy: a 5-year prospective cohort of 17,395 patients. J Am Coll Surg. 2007;205(6):735–40.
Jamieson GG, Mathew G, Ludemann R, Wayman J, Myers JC, Devitt PG. Postoperative mortality following oesophagectomy and problems in reporting its rate. Br J Surg. 2004;91(8):943–47.
Rice TW, Rusch VW, Apperson-Hansen C, et al. Worldwide esophageal cancer collaboration. Dis Esophagus. 2009;22(1):1–8.
Pech O, Gunter E, Dusemund F, Origer J, Lorenz D, Ell C. Accuracy of endoscopic ultrasound in preoperative staging of esophageal cancer: results from a referral center for early esophageal cancer. Endoscopy. 2010;42(6):456–61.
Shin S, Kim HK, Choi YS, Kim K, Shim YM. Clinical stage T1-T2N0M0 oesophageal cancer: accuracy of clinical staging and predictive factors for lymph node metastasis. Eur J Cardiothorac Surg. 2014;46(2):274–79; discussion 279.
Bergeron EJ, Lin J, Chang AC, Orringer MB, Reddy RM. Endoscopic ultrasound is inadequate to determine which T1/T2 esophageal tumors are candidates for endoluminal therapies. J Thorac Cardiovasc Surg. 2014;147(2):765-71; discussion 771–73
Bilimoria KY, Stewart AK, Winchester DP, Ko CY. The National Cancer Data Base: a powerful initiative to improve cancer care in the United States. Ann Surg Oncol. 2008;15(3):683–90.
Lorenz D, Origer J, Pauthner M, et al. Prognostic risk factors of early esophageal adenocarcinomas. Ann Surg. 2014;259(3):469–76.
Pennathur A, Farkas A, Krasinskas AM, et al. Esophagectomy for T1 esophageal cancer: outcomes in 100 patients and implications for endoscopic therapy. Ann Thorac Surg. 2009;87(4):1048–54; discussion 1054–5.
Davison JM, Landau MS, Luketich JD, et al. A model based on pathologic features of superficial esophageal adenocarcinoma complements clinical node staging in determining risk of metastasis to lymph nodes. Clin Gastroenterol Hepatol. 2016;14(3):369–77. e363.
Leers JM, DeMeester SR, Oezcelik A, et al. The prevalence of lymph node metastases in patients with T1 esophageal adenocarcinoma a retrospective review of esophagectomy specimens. Ann Surg. 2011;253(2):271–78.
Holscher AH, Bollschweiler E, Schroder W, Metzger R, Gutschow C, Drebber U. Prognostic impact of upper, middle, and lower third mucosal or submucosal infiltration in early esophageal cancer. Ann Surg. 2011;254(5):802–07; discussion 807–8.
Lee L, Ronellenfitsch U, Hofstetter WL, et al. Predicting lymph node metastases in early esophageal adenocarcinoma using a simple scoring system. J Am Coll Surg. 2013;217(2):191–99.
Altorki NK, Lee PC, Liss Y, et al. Multifocal neoplasia and nodal metastases in T1 esophageal carcinoma: implications for endoscopic treatment. Ann Surg. 2008;247(3):434–39.
Gamboa AM, Kim S, Force SD, et al. Treatment allocation in patients with early-stage esophageal adenocarcinoma: prevalence and predictors of lymph node involvement. Cancer. 2016;122(14):2150–57.
Ishihara R, Oyama T, Abe S, et al. Risk of metastasis in adenocarcinoma of the esophagus: a multicenter retrospective study in a Japanese population. J Gastroenterol. 2016;52(7):800–08.
Liu L, Hofstetter WL, Rashid A, et al. Significance of the depth of tumor invasion and lymph node metastasis in superficially invasive (T1) esophageal adenocarcinoma. Am J Surg Pathol. 2005;29(8):1079–85.
Pouw RE, Heldoorn N, Alvarez Herrero L, et al. Do we still need EUS in the workup of patients with early esophageal neoplasia? A retrospective analysis of 131 cases. Gastrointest Endosc. 2011;73(4):662–68.
Worrell SG, Boys JA, Chandrasoma P, et al. Inter-observer variability in the interpretation of endoscopic mucosal resection specimens of esophageal adenocarcinoma: interpretation of ER specimens. J Gastrointest Surg. 2016;20(1):140–44; discussion 144–5.
Mohiuddin K, Dorer R, El Lakis MA, Hahn H, Speicher J, Hubka M, Low DE. Outcomes of surgical resection of T1bN0 esophageal cancer and assessment of endoscopic mucosal resection for identifying low-risk cancers appropriate for endoscopic therapy. Ann Surg Oncol. 2016;23(8):2673–78.
Disclosure
There are no financial disclosures.
Author information
Authors and Affiliations
Corresponding author
Rights and permissions
About this article
Cite this article
Newton, A.D., Predina, J.D., Xia, L. et al. Surgical Management of Early-Stage Esophageal Adenocarcinoma Based on Lymph Node Metastasis Risk. Ann Surg Oncol 25, 318–325 (2018). https://doi.org/10.1245/s10434-017-6238-z
Received:
Published:
Issue Date:
DOI: https://doi.org/10.1245/s10434-017-6238-z