Skip to main content

Preoperative Helicobacter pylori Infection is Associated with Increased Survival After Resection of Gastric Adenocarcinoma

Abstract

Background

Limited data exist on the prognosis of preoperative Helicobacter pylori (H. pylori) infection in gastric adenocarcinoma (GAC).

Methods

Patients who underwent curative-intent resection for GAC from 2000 to 2012 at seven academic institutions comprising the United States Gastric Cancer Collaborative were included in the study. The primary end points of the study were overall survival (OS), recurrence-free survival (RFS), and disease-specific survival (DSS).

Results

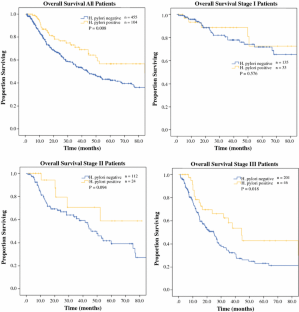
Of 559 patients, 104 (18.6 %) who tested positive for H. pylori were younger (62.1 vs 65.1 years; p = 0.041), had a higher frequency of distal tumors (82.7 vs 71.9 %; p = 0.033), and had higher rates of adjuvant radiation therapy (47.0 vs 34.9 %; p = 0.032). There were no differences in American Society of Anesthesiology (ASA) class, margin status, grade, perineural invasion, lymphovascular invasion, nodal metastases, or tumor-node-metastasis (TNM) stage. H. pylori positivity was associated with longer OS (84.3 vs 44.2 months; p = 0.008) for all patients. This relationship with OS persisted in the multivariable analysis (HR 0.54; 95 % CI 0.30–0.99; p = 0.046). H. pylori was not associated with RFS or DSS in all patients. In the stage 3 patients, H. pylori was associated with longer OS (44.5 vs 24.7 months; p = 0.018), a trend of longer RFS (31.4 vs 21.6 months; p = 0.232), and longer DSS (44.8 vs 27.2 months; p = 0.034).

Conclusions

Patients with and without preoperative H. pylori infection had few differences in adverse pathologic features at the time of gastric adenocarcinoma resection. Despite similar disease presentations, preoperative H. pylori infection was independently associated with improved OS. Further studies examining the interaction between H. pylori and tumor immunology and genetics are merited.

This is a preview of subscription content, access via your institution.

Fig. 1
Fig. 2

References

  1. Crew KD, Neugut AI. Epidemiology of gastric cancer. World J Gastroenterol. 2006;12:354–62.

    PubMed  PubMed Central  Google Scholar 

  2. Jemal A, Bray F, Center MM, Ferlay J, Ward E, Forman D. Global cancer statistics. CA Cancer J Clin. 2011;61:69–90.

    Article  PubMed  Google Scholar 

  3. Siegel R, Naishadham D, Jemal A. Cancer statistics, 2013. CA Cancer J Clin. 2013;63:11–30.

    Article  PubMed  Google Scholar 

  4. Patel SH, Kooby DA. Gastric adenocarcinoma surgery and adjuvant therapy. Surg Clin N Am. 2011;91:1039–77.

    Article  PubMed  Google Scholar 

  5. Jain VK, Cunningham D, Chau I. Preoperative and postoperative chemotherapy for gastric cancer. Surg Oncol Clin N Am. 2012;21:99–112.

    Article  PubMed  Google Scholar 

  6. Guggenheim DE, Shah MA. Gastric cancer epidemiology and risk factors. J Surg Oncol. 2013;107:230–6.

    Article  PubMed  Google Scholar 

  7. Cancer Genome Atlas Research Network. Comprehensive molecular characterization of gastric adenocarcinoma. Nature. 2014;513:202–9.

    Article  Google Scholar 

  8. Warren JR, Marshall BJ. Unidentified curved bacilli on gastric epithelium in active chronic gastritis. Lancet. 1983;1:1273–5.

    Google Scholar 

  9. Forman D, Newell DG, Fullerton F, et al. Association between infection with Helicobacter pylori and risk of gastric cancer: evidence from a prospective investigation. BMJ. 1991;302:1302–5.

    CAS  Article  PubMed  PubMed Central  Google Scholar 

  10. Helicobacter and Cancer Collaborative Group. Gastric cancer and Helicobacter pylori: a combined analysis of 12 case–control studies nested within prospective cohorts. Gut. 2001;49:347–53.

    Article  Google Scholar 

  11. IARC Working Group on the Evaluation of Carcinogenic Risks to Humans. Schistosomes, liver flukes, and Helicobacter pylori. Lyon, 7–14 June 1994. IARC Monogr Eval Carcinog Risks Hum. 1994;61:1–241.

    Google Scholar 

  12. Parkin DM. The global health burden of infection-associated cancers in the year 2002. Int J Cancer. 2006;118:3030–44.

    CAS  Article  PubMed  Google Scholar 

  13. Edge SB, American Joint Committee on Cancer. AJCC Cancer Staging Manual. 7th ed. New York: Springer; 2010.

    Google Scholar 

  14. Correa P. Human gastric carcinogenesis: a multistep and multifactorial process. First American Cancer Society Award Lecture on Cancer Epidemiology and Prevention. Cancer Res. 1992;52:6735–40.

    CAS  PubMed  Google Scholar 

  15. Correa P. A human model of gastric carcinogenesis. Cancer Res. 1988;48:3554–60.

    CAS  PubMed  Google Scholar 

  16. Ames BN, Shigenaga MK, Hagen TM. Oxidants, antioxidants, and the degenerative diseases of aging. Proc Natl Acad Sci USA. 1993;90:7915–22.

    CAS  Article  PubMed  PubMed Central  Google Scholar 

  17. Lee WJ, Lin JT, Shun CT, et al. Comparison between resectable gastric adenocarcinomas seropositive and seronegative for Helicobacter pylori. Br J Surg. 1995;82:802–5.

    CAS  Article  PubMed  Google Scholar 

  18. Marrelli D, Pedrazzani C, Berardi A, et al. Negative Helicobacter pylori status is associated with poor prognosis in patients with gastric cancer. Cancer. 2009;115:2071–80.

    CAS  Article  PubMed  Google Scholar 

  19. Meimarakis G, Winter H, Assmann I, et al. Helicobacter pylori as a prognostic indicator after curative resection of gastric carcinoma: a prospective study. Lancet Oncol. 2006;7:211–22.

    Article  PubMed  Google Scholar 

  20. Kang SY, Han JH, Ahn MS, et al. Helicobacter pylori infection as an independent prognostic factor for locally advanced gastric cancer patients treated with adjuvant chemotherapy after curative resection. Int J Cancer. 2012;130:948–58.

    CAS  Article  PubMed  Google Scholar 

  21. Wang F, Sun GP, Zou YF, et al. Helicobacter pylori infection predicts favorable outcome in patients with gastric cancer. Curr Oncol. 2013;20:e388–95.

    CAS  Article  PubMed  PubMed Central  Google Scholar 

  22. Qiu HB, Zhang LY, Keshari RP, et al. Relationship between H. pylori infection and clinicopathological features and prognosis of gastric cancer. BMC Cancer. 2010;10:374.

    Article  PubMed  PubMed Central  Google Scholar 

  23. Li G, Wang Z, Wang Z, et al. Gastric cancer patients with Helicobacter pylori infection have a poor prognosis. J Surg Oncol. 2013;108:421–6.

    Article  PubMed  Google Scholar 

  24. Lee WJ, Lin JT, Lee WC, et al. Clinicopathologic characteristics of Helicobacter pyloric seropositive gastric adenocarcinomas. J Clin Gastroenterol. 1995;21:203–7.

    CAS  Article  PubMed  Google Scholar 

  25. Dooley CP, Cohen H, Fitzgibbons PL, et al. Prevalence of Helicobacter pylori infection and histologic gastritis in asymptomatic persons. N Engl J Med. 1989;321:1562–6.

    CAS  Article  PubMed  Google Scholar 

  26. McJunkin B, Sissoko M, Levien J, Upchurch J, Ahmed A. Dramatic decline in prevalence of Helicobacter pylori and peptic ulcer disease in an endoscopy-referral population. Am J Med. 2011;124:260–4.

    Article  PubMed  Google Scholar 

  27. Sonnenberg A, Lash RH, Genta RM. A national study of Helicobactor pylori infection in gastric biopsy specimens. Gastroenterology. 2010;139:1894–901.e1892 (quiz e1812).

  28. Ahn HS, Lee HJ, Yoo MW, et al. Changes in clinicopathological features and survival after gastrectomy for gastric cancer over a 20-year period. Br J Surg. 2011;98:255–60.

    CAS  Article  PubMed  Google Scholar 

  29. Moayyedi P, Axon AT, Feltbower R, et al. Relation of adult lifestyle and socioeconomic factors to the prevalence of Helicobacter pylori infection. Int J Epidemiol. 2002;31:624–31.

    Article  PubMed  Google Scholar 

  30. Dowd JB, Zajacova A, Aiello A. Early origins of health disparities: burden of infection, health, and socioeconomic status in U.S. children. Soc Sci Med. 2009;68:699–707.

    Article  PubMed  PubMed Central  Google Scholar 

  31. Ottini L, Falchetti M, Lupi R, et al. Patterns of genomic instability in gastric cancer: clinical implications and perspectives. Ann Oncol. 2006;17(Suppl 7):vii97–102.

    PubMed  Google Scholar 

  32. Gu M, Kim D, Bae Y, Choi J, Kim S, Song S. Analysis of microsatellite instability, protein expression, and methylation status of hMLH1 and hMSH2 genes in gastric carcinomas. Hepatogastroenterology. 2009;56:899–904.

    CAS  PubMed  Google Scholar 

  33. Fang WL, Chang SC, Lan YT, et al. Microsatellite instability is associated with a better prognosis for gastric cancer patients after curative surgery. World J Surg. 2012;36:2131–8.

    Article  PubMed  Google Scholar 

  34. Lee HS, Choi SI, Lee HK, et al. Distinct clinical features and outcomes of gastric cancers with microsatellite instability. Mod Pathol. 2002;15:632–40.

    Article  PubMed  Google Scholar 

  35. Hayden JD, Cawkwell L, Dixon MF, et al. A comparison of microsatellite instability in early onset gastric carcinomas from relatively low- and high-incidence European populations. Int J Cancer. 2000;85:189–91.

    CAS  Article  PubMed  Google Scholar 

  36. Wu MS, Lee CW, Shun CT, et al. Clinicopathological significance of altered loci of replication error and microsatellite instability-associated mutations in gastric cancer. Cancer Res. 1998;58:1494–7.

    CAS  PubMed  Google Scholar 

  37. Leung WK, Kim JJ, Kim JG, Graham DY, Sepulveda AR. Microsatellite instability in gastric intestinal metaplasia in patients with and without gastric cancer. Am J Pathol. 2000;156:537–43.

    CAS  Article  PubMed  PubMed Central  Google Scholar 

  38. Kim JJ, Tao H, Carloni E, Leung WK, Graham DY, Sepulveda AR. Helicobacter pylori impairs DNA mismatch repair in gastric epithelial cells. Gastroenterology. 2002;123:542–53.

    CAS  Article  PubMed  Google Scholar 

  39. Xue LJ, Su QS, Yang JH, Lin Y. Autoimmune responses induced by Helicobacter pylori improve the prognosis of gastric carcinoma. Med Hypotheses. 2008;70:273–6.

    CAS  Article  PubMed  Google Scholar 

  40. Rad R, Prinz C, Schmid RM. Helicobacter pylori and prognosis of gastric carcinoma. Lancet Oncol. 2006;7:364–5.

    Article  PubMed  Google Scholar 

  41. Berger C, Riddell SR. Chapter 24. Principles of immune cell therapy. In: Lichtman MA, Kipps TJ, Seligsohn U, Kaushansky K, Prchal JT, editors. Williams Hematology. 8th ed. New York: The McGraw-Hill Companies; 2010.

    Google Scholar 

  42. Chen LJ, Zheng X, Shen YP, et al. Higher numbers of T-bet(+) intratumoral lymphoid cells correlate with better survival in gastric cancer. Cancer Immunol Immunother. 2013;62:553–61.

    CAS  Article  PubMed  Google Scholar 

  43. Bamford KB, Fan X, Crowe SE, et al. Lymphocytes in the human gastric mucosa during Helicobacter pylori have a T helper cell 1 phenotype. Gastroenterology. 1998;114:482–92.

    CAS  Article  PubMed  Google Scholar 

Download references

Acknowledgment

This study was supported in part by the Katz Foundation.

Disclosures

None.

Author information

Affiliations

Authors

Corresponding author

Correspondence to Shishir K. Maithel MD.

Rights and permissions

Reprints and Permissions

About this article

Verify currency and authenticity via CrossMark

Cite this article

Postlewait, L.M., Squires, M.H., Kooby, D.A. et al. Preoperative Helicobacter pylori Infection is Associated with Increased Survival After Resection of Gastric Adenocarcinoma. Ann Surg Oncol 23, 1225–1233 (2016). https://doi.org/10.1245/s10434-015-4953-x

Download citation

  • Received:

  • Published:

  • Issue Date:

  • DOI: https://doi.org/10.1245/s10434-015-4953-x

Keywords

  • Overall Survival
  • Pylorus Infection
  • Gastric Adenocarcinoma
  • Longe Overall Survival
  • Pylorus Status