Skip to main content

Androgen Receptor Expression Shows Distinctive Significance in ER Positive and Negative Breast Cancers

Abstract

Background

Androgen receptor (AR), a nuclear steroid hormone receptor, is differentially expressed in breast cancer subgroups with distinct clinical implications.

Methods

To investigate the clinical significance of AR in breast cancers more precisely, the expression of AR in a large cohort of breast cancer was correlated with clinicopathological features, biomarker expression, and patients’ survival according to different molecular groupings in this study.

Results

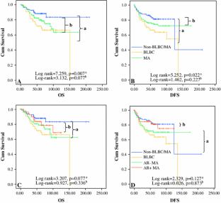
Higher AR expression was found in ER+ (57.8 %) than in ER− (24.7 %) cancers. In the ER+ cancers, AR expression was associated with favorable clinicopathological features, including lower grade (p < .001), lower pT stage (p < .001), and positivity for PR (p < .001). It was an independent prognostic factor for longer disease-free survival, mainly in the HER2+ luminal B cancers (hazard ratio [HR] = 0.251, 95 % CI 0.065−0.972, p = .045). In ER− cancers, AR expression was associated with features distinct from basal-like breast cancer, and such features were found in molecular apocrine (MA) cancers. AR correlated with presence of extensive in situ component (p = .006) and apocrine phenotype (p < .001), HER2 (p = .026), and EGFR (p = .048), but negatively with c-kit (p = .041), CK5/6 (p < .001), CK14 (p = .002), and αB-crystallin (p = .038). However, AR expression was found only in 37.8 % of immunohistochemically defined MA. Of note, AR−MA appeared to have a trend of worse overall survival than AR+MA.

Conclusions

AR expression was different in ER+ and ER− cancers and had different clinical implications. AR alone may not be a good marker for MA subtype. Its expression in MA may have substantial prognostic implication and as such warrants further validation.

This is a preview of subscription content, access via your institution.

Fig. 1
Fig. 2

References

  1. Agoff SN, Swanson PE, Linden H, Hawes SE, Lawton TJ. Androgen receptor expression in estrogen receptor-negative breast cancer. Immunohistochemical, clinical, and prognostic associations. Am J Clin Pathol. 2003;120:725–31.

    CAS  PubMed  Article  Google Scholar 

  2. Kuenen-Boumeester V, Van der Kwast TH, Claassen CC, Look MP, Liem GS, Klijn JG, et al. The clinical significance of androgen receptors in breast cancer and their relation to histological and cell biological parameters. Eur J Cancer. 1996;32A:1560–5.

    CAS  PubMed  Article  Google Scholar 

  3. Moinfar F, Okcu M, Tsybrovskyy O, Regitnig P, Lax SF, Weybora W, et al. Androgen receptors frequently are expressed in breast carcinomas: potential relevance to new therapeutic strategies. Cancer. 2003;98:703–11.

    CAS  PubMed  Article  Google Scholar 

  4. Niemeier LA, Dabbs DJ, Beriwal S, Striebel JM, Bhargava R. Androgen receptor in breast cancer: expression in estrogen receptor-positive tumors and in estrogen receptor-negative tumors with apocrine differentiation. Mod Pathol. 2010;23:205–12.

    CAS  PubMed  Article  Google Scholar 

  5. Ogawa Y, Hai E, Matsumoto K, Ikeda K, Tokunaga S, Nagahara H, et al. Androgen receptor expression in breast cancer: relationship with clinicopathological factors and biomarkers. Int J Clin Oncol. 2008;13:431–5.

    CAS  PubMed  Article  Google Scholar 

  6. Hu R, Dawood S, Holmes MD, Collins LC, Schnitt SJ, Cole K, et al. Androgen receptor expression and breast cancer survival in postmenopausal women. Clin Cancer Res. 2011;17:1867–74.

    CAS  PubMed Central  PubMed  Article  Google Scholar 

  7. Park S, Koo JS, Kim MS, Park HS, Lee JS, Lee JS, et al. Androgen receptor expression is significantly associated with better outcomes in estrogen receptor-positive breast cancers. Ann Oncol. 2011;22:1755–62.

    CAS  PubMed  Article  Google Scholar 

  8. Kandouz M, Lombet A, Perrot JY, Jacob D, Carvajal S, Kazem A, et al. Proapoptotic effects of antiestrogens, progestins and androgen in breast cancer cells. J Steroid Biochem Mol Biol. 1999;69:463–71.

    CAS  PubMed  Article  Google Scholar 

  9. Lapointe J, Fournier A, Richard V, Labrie C. Androgens down-regulate bcl-2 protooncogene expression in ZR-75-1 human breast cancer cells. Endocrinology. 1999;140:416–21.

    CAS  PubMed  Google Scholar 

  10. Panet-Raymond V, Gottlieb B, Beitel LK, Pinsky L, Trifiro MA. Interactions between androgen and estrogen receptors and the effects on their transactivational properties. Mol Cell Endocrinol. 2000;167:139–50.

    CAS  PubMed  Article  Google Scholar 

  11. Peters AA, Buchanan G, Ricciardelli C, Bianco-Miotto T, Centenera MM, Harris JM, et al. Androgen receptor inhibits estrogen receptor-alpha activity and is prognostic in breast cancer. Cancer Res. 2009;69:6131–40.

    CAS  PubMed  Article  Google Scholar 

  12. Farmer P, Bonnefoi H, Becette V, Tubiana-Hulin M, Fumoleau P, Larsimont D, et al. Identification of molecular apocrine breast tumours by microarray analysis. Oncogene. 2005;24:4660–71.

    CAS  PubMed  Article  Google Scholar 

  13. Teschendorff AE, Miremadi A, Pinder SE, Ellis IO, Caldas C. An immune response gene expression module identifies a good prognosis subtype in estrogen receptor negative breast cancer. Genome Biol. 2007;8:R157.

    PubMed Central  PubMed  Article  Google Scholar 

  14. Birrell SN, Bentel JM, Hickey TE, Ricciardelli C, Weger MA, Horsfall DJ, et al. Androgens induce divergent proliferative responses in human breast cancer cell lines. J Steroid Biochem Mol Biol. 1995;52:459–67.

    CAS  PubMed  Article  Google Scholar 

  15. Doane AS, Danso M, Lal P, Donaton M, Zhang L, Hudis C, et al. An estrogen receptor-negative breast cancer subset characterized by a hormonally regulated transcriptional program and response to androgen. Oncogene. 2006;25:3994–4008.

    CAS  PubMed  Article  Google Scholar 

  16. Ni M, Chen Y, Lim E, Wimberly H, Bailey ST, Imai Y, et al. Targeting androgen receptor in estrogen receptor-negative breast cancer. Cancer Cell. 2011;20:119–31.

    CAS  PubMed Central  PubMed  Article  Google Scholar 

  17. Iversen P, Tyrrell CJ, Kaisary AV, Anderson JB, Van Poppel H, Tammela TL, et al. Bicalutamide monotherapy compared with castration in patients with nonmetastatic locally advanced prostate cancer: 6.3 years of followup. J Urol. 2000;164:1579–82.

    CAS  PubMed  Article  Google Scholar 

  18. Hackenberg R, Luttchens S, Hofmann J, Kunzmann R, Holzel F, Schulz KD. Androgen sensitivity of the new human breast cancer cell line MFM-223. Cancer Res. 1991;51:5722–7.

    CAS  PubMed  Google Scholar 

  19. Hardin C, Pommier R, Calhoun K, Muller P, Jackson T, Pommier S. A new hormonal therapy for estrogen receptor-negative breast cancer. World J Surg. 2007;31:1041–6.

    PubMed  Article  Google Scholar 

  20. Toth-Fejel S, Cheek J, Calhoun K, Muller P, Pommier RF. Estrogen and androgen receptors as comediators of breast cancer cell proliferation: providing a new therapeutic tool. Arch Surg. 2004;139:50–4.

    CAS  PubMed  Article  Google Scholar 

  21. Gonzalez-Angulo AM, Stemke-Hale K, Palla SL, Carey M, Agarwal R, Meric-Berstam F, et al. Androgen receptor levels and association with PIK3CA mutations and prognosis in breast cancer. Clin Cancer Res. 2009;15:2472–8.

    CAS  PubMed  Article  Google Scholar 

  22. He J, Peng R, Yuan Z, et al. Prognostic value of androgen receptor expression in operable triple-negative breast cancer: a retrospective analysis based on a tissue microarray. Med Oncol. 2012;29:406–10.

    CAS  PubMed  Article  Google Scholar 

  23. Rakha EA, El-Sayed ME, Green AR, Lee AH, Robertson JF, Ellis IO. Prognostic markers in triple-negative breast cancer. Cancer. 2007;109:25–32.

    CAS  PubMed  Article  Google Scholar 

  24. Tang D, Xu S, Zhang Q, Zhao W. The expression and clinical significance of the androgen receptor and E-cadherin in triple-negative breast cancer. Med Oncol. 2012;29:526–33.

    CAS  PubMed  Article  Google Scholar 

  25. Lakhani SR, Ellis IO, Schnitee SJ, Tan PH, van de Vijver MJ, editors. World Health Organization classification of tumours of the breast. 4th ed. Lyon: IARC Press; 2012.

    Google Scholar 

  26. Elston CW, Ellis IO. Pathological prognostic factors in breast cancer. I. The value of histological grade in breast cancer: experience from a large study with long-term follow-up. Histopathology. 1991;19:403–10.

    CAS  PubMed  Article  Google Scholar 

  27. Mujtaba SS, Ni YB, Tsang JY, Chan SK, Yamaguchi R, Tanaka M, et al. Fibrotic focus in breast carcinomas: relationship with prognostic parameters and biomarkers. Ann Surg Oncol. 2013;20:2842–9.

    PubMed  Article  Google Scholar 

  28. Tsang JY, Ni YB, Chan SK, Shao MM, Kwok YK, Chan KW, et al. CX3CL1 expression is associated with poor outcome in breast cancer patients. Breast Cancer Res Treat. 2013;140:495–504.

    CAS  PubMed  Article  Google Scholar 

  29. Luo MH, Huang YH, Ni YB, Tsang JY, Chan SK, Shao MM, et al. Expression of mammaglobin and gross cystic disease fluid protein-15 in breast carcinomas. Hum Pathol. 2013;44:1241–50.

    CAS  PubMed  Article  Google Scholar 

  30. Thike AA, Yong-Zheng Chong L, Cheok PY, Li HH, Wai-Cheong Yip G, Huat Bay B, et al. Loss of androgen receptor expression predicts early recurrence in triple-negative and basal-like breast cancer. Mod Pathol. 2014;27:352–60.

    CAS  PubMed  Article  Google Scholar 

  31. Tsang JY, Lai MW, Wong KH, Chan SK, Lam CC, Tsang AK, et al. αB-crystallin is a useful marker for triple negative and basal breast cancers. Histopathology. 2012;61:378–86.

    PubMed  Article  Google Scholar 

  32. Goldhirsch A, Wood WC, Coates AS, Gelber RD, Thurlimann B, Senn HJ. Strategies for subtypes–dealing with the diversity of breast cancer: highlights of the St. Gallen International Expert Consensus on the Primary Therapy of Early Breast Cancer 2011. Ann Oncol. 2011;22:1736–47.

    CAS  PubMed Central  PubMed  Article  Google Scholar 

  33. Nielsen TO, Hsu FD, Jensen K, Cheang M, Karaca G, Hu Z, et al. Immunohistochemical and clinical characterization of the basal-like subtype of invasive breast carcinoma. Clin Cancer Res. 2004;10:5367–74.

    CAS  PubMed  Article  Google Scholar 

  34. Lehmann-Che J, Hamy AS, Porcher R, Barritault M, Bouhidel F, Habuellelah H, et al. Molecular apocrine breast cancers are aggressive estrogen receptor negative tumors overexpressing either HER2 or GCDFP15. Breast Cancer Res. 2013;15:R37.

    CAS  PubMed  Article  Google Scholar 

  35. Lehmann BD, Bauer JA, Chen X, Sanders ME, Chakravarthy AB, Shyr Y, et al. Identification of human triple-negative breast cancer subtypes and preclinical models for selection of targeted therapies. J Clin Invest. 2011;121:2750–67.

    CAS  PubMed Central  PubMed  Article  Google Scholar 

  36. Micello D, Marando A, Sahnane N, Riva C, Capella C, Sessa F. Androgen receptor is frequently expressed in HER2-positive, ER/PR-negative breast cancers. Virchows Arch. 2010;457:467–76.

    CAS  PubMed  Article  Google Scholar 

  37. Castellano I, Allia E, Accortanzo V, Vandone AM, Chiusa L, Arisio R, et al. Androgen receptor expression is a significant prognostic factor in estrogen receptor positive breast cancers. Breast Cancer Res Treat. 2010;124:607–17.

    CAS  PubMed  Article  Google Scholar 

  38. Hodgson MC, Vanostran G, Alghamdi S, Poppiti RJ, Agoulnik AI, Agoulnik IU. Reduced androgen receptor expression accelerates the onset of ERBB2 induced breast tumors in female mice. PLoS One. 2013;8:e60455.

    CAS  PubMed Central  PubMed  Article  Google Scholar 

  39. Naderi A, Hughes-Davies L. A functionally significant cross-talk between androgen receptor and ErbB2 pathways in estrogen receptor negative breast cancer. Neoplasia. 2008;10:542–8.

    CAS  PubMed Central  PubMed  Google Scholar 

Download references

Author information

Affiliations

Authors

Corresponding author

Correspondence to Gary M. Tse FRCPC.

Electronic supplementary material

Below is the link to the electronic supplementary material.

Supplementary material 1 (DOCX 100 kb)

Rights and permissions

Reprints and Permissions

About this article

Cite this article

Tsang, J.Y.S., Ni, YB., Chan, SK. et al. Androgen Receptor Expression Shows Distinctive Significance in ER Positive and Negative Breast Cancers. Ann Surg Oncol 21, 2218–2228 (2014). https://doi.org/10.1245/s10434-014-3629-2

Download citation

  • Received:

  • Published:

  • Issue Date:

  • DOI: https://doi.org/10.1245/s10434-014-3629-2

Keywords

  • Breast Cancer
  • Estrogen Receptor
  • Androgen Receptor
  • Progesterone Receptor
  • Triple Negative Breast Cancer