Skip to main content

Combined Hepatocellular Carcinoma and Cholangiocarcinoma: Clinical Features, Treatment Modalities, and Prognosis

Abstract

Background

Combined hepatocellular carcinoma and cholangiocarcinoma (cHCC-CC) is an uncommon subtype of primary liver cancer that has rarely been reported in large-scale clinical studies. The aim of this study was to clarify the clinical features, treatment modalities, and prognosis of cHCC-CC.

Methods

Included in this study were 113 patients who were histologically diagnosed as having Allen type C cHCC-CC, 103 of whom received liver resection, 6 transarterial chemoembolization treatment, 3 radiofrequency ablation, and 1 palliative supportive treatment. Clinicopathologic features and prognosis of 103 cHCC-CC patients after liver resection were compared with those of 6,679 patients with hepatocellular carcinoma (HCC) and 386 patients with intrahepatic cholangiocarcinoma (ICC) who underwent liver resection during the same period.

Results

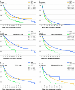
The proportion of cHCC-CC in primary liver cancers was 1.5 %. The 103 cases of cHCC-CC were characterized by male predominance, infection with hepatitis virus or presence of liver cirrhosis, and elevated alfa-fetoprotein—findings similar to HCC. However, serum CA19-9 elevation, incomplete capsules, and lymph node involvement were similar to ICC. The 1-, 3-, and 5-year overall survival rates after liver resection were 73.9, 41.4, and 36.4 %, respectively, for patients with cHCC-CC versus 77.5, 53.3, and 41.4 % for HCC patients, and 58.0, 29.1, and 22.3 % for ICC patients (χ2 = 137.5, P < 0.001). Tumor, node, metastasis system stage (hazard ratio 1.27, 95 % confidence interval 1.08–1.49, P = 0.003) and radical liver resection (hazard ratio 0.31, 95 % confidence interval 0.14–0.68, P = 0.004) were independent prognostic factors for overall survival.

Conclusions

cHCC-CC has biological behavior and prognosis that are intermediate between HCC and ICC. Radical liver resection can provide a better outcome for this uncommon malignancy.

This is a preview of subscription content, access via your institution.

Fig. 1
Fig. 2
FIG. 3
FIG. 4

References

  1. Gibson JB. Histological typing of tumours of the liver, biliary tract and pancreas. In: Sobin LH. International histological classification of tumours. Geneva: World Health Organization; 1978. p. 19–30.

    Google Scholar 

  2. Jarnagin WR, Weber S, Tickoo SK, et al. Combined hepatocellular and cholangiocarcinoma: demographic, clinical, and prognostic factors. Cancer. 2002;94:2040–6.

    PubMed  Article  Google Scholar 

  3. Allen RA, Lisa JR. Combined liver cell and bile duct carcinoma. Am J Pathol. 1949;25:647–55.

    PubMed  CAS  Google Scholar 

  4. Koh KC, Lee H, Choi MS, et al. Clinicopathologic features and prognosis of combined hepatocellular cholangiocarcinoma. Am J Surg. 2005;189:120–5.

    PubMed  Article  Google Scholar 

  5. Edmondson HA, Steiner PE. Primary carcinoma of the liver: a study of 100 cases among 48,900 necropsies. Cancer. 1954;7:462–503.

    PubMed  Article  CAS  Google Scholar 

  6. Sun HC, Tang ZY, Ma ZC, et al. The prognostic factor for outcome following second resection for intrahepatic recurrence of hepatocellular carcinoma with a hepatitis B virus infection background. J Cancer Res Clin Oncol. 2005;131:284–8.

    PubMed  Article  Google Scholar 

  7. Sun HC, Tang ZY, Wang L, et al. Postoperative interferon alpha treatment postponed recurrence and improved overall survival in patients after curative resection of HBV-related hepatocellular carcinoma: a randomized clinical trial. J Cancer Res Clin Oncol. 2006;132:458–65.

    PubMed  Article  CAS  Google Scholar 

  8. Yang BW, Zou J, Xia JL, et al. Risk factors for recurrence of small hepatocellular carcinoma after long-term follow-up of percutaneous radiofrequency ablation. Eur J Radiol. 2011;79:196–200.

    PubMed  Article  Google Scholar 

  9. Fan J, Wu ZQ, Zhou J, et al. Hepatocellular carcinoma associated with tumor thrombosis in the portal vein: the effects of different treatments. Hepatobiliary Pancreat Dis Int. 2003;2:513–9.

    PubMed  Google Scholar 

  10. Lee CC, Wu CY, Chen JT, et al. Comparing combined hepatocellular-cholangiocarcinoma and cholangiocarcinoma: a clinicopathological study. Hepatogastroenterology. 2002;49:1487–90.

    PubMed  Google Scholar 

  11. Yano Y, Yamamoto J, Kosuge T, et al. Combined hepatocellular and cholangiocarcinoma: a clinicopathologic study of 26 resected cases. Jpn J Clin Oncol. 2003;33:283–7.

    PubMed  Article  Google Scholar 

  12. Ng IO, Shek TW, Nicholls J, et al. Combined hepatocellular cholangiocarcinoma: a clinicopathological study. J Gastroenterol Hepatol. 1998;13:34–40.

    PubMed  Article  CAS  Google Scholar 

  13. Albacete RA, Matthews MJ, Saini N. Portal vein thromboses in malignant hepatoma. Ann Intern Med. 1967;67:337–48.

    PubMed  CAS  Google Scholar 

  14. Lee JH, Chung GE, Yu SJ et al. Long-term prognosis of combined hepatocellular and cholangiocarcinoma after curative resection comparison with hepatocellular carcinoma and cholangiocarcinoma. J Clin Gastroenterol. 2011;45:69–75.

    PubMed  Google Scholar 

  15. Taguchi J, Nakashima O, Tanaka M, et al. A clinicopathological study on combined hepatocellular and cholangiocarcinoma. J Gastroenterol Hepatol. 1996;11:758–64.

    PubMed  Article  CAS  Google Scholar 

  16. Kim KH, Lee SG, Park EH, et al. Surgical treatments and prognoses of patients with combined hepatocellular carcinoma and cholangiocarcinoma. Ann Surg Oncol. 2009;16:623–9.

    PubMed  Article  Google Scholar 

  17. Chantajitr S,Wilasrusmee C, Lertsitichai P, et al. Combined hepatocellular and cholangiocarcinoma: clinical features and prognostic study in a Thai population. J Hepatobiliary Pancreat Surg. 2006;13:537–42.

    PubMed  Article  Google Scholar 

  18. Llovet JM, Real MI, Montaña X, et al. Arterial embolisation or chemoembolisation versus symptomatic treatment in patients with unresectable hepatocellular carcinoma: a randomised controlled trial. Lancet. 2002;359:1734–9.

    PubMed  Article  Google Scholar 

  19. Lo CM, Ngan H, Tso WK, et al. Randomized controlled trial of transarterial lipiodol chemoembolization for unresectable hepatocellular carcinoma. Hepatology. 2002;35:1164–71.

    PubMed  Article  CAS  Google Scholar 

Download references

Conflict of interest

No potential conflicts of interest were disclosed.

Author information

Affiliations

Authors

Corresponding author

Correspondence to Bo-Heng Zhang MD.

Rights and permissions

Reprints and Permissions

About this article

Cite this article

Yin, X., Zhang, BH., Qiu, SJ. et al. Combined Hepatocellular Carcinoma and Cholangiocarcinoma: Clinical Features, Treatment Modalities, and Prognosis. Ann Surg Oncol 19, 2869–2876 (2012). https://doi.org/10.1245/s10434-012-2328-0

Download citation

  • Received:

  • Published:

  • Issue Date:

  • DOI: https://doi.org/10.1245/s10434-012-2328-0

Keywords

  • Overall Survival
  • Liver Resection
  • Tace
  • Primary Liver Cancer
  • Local Ablation Therapy