Abstract
Objective
To compare aromatase inhibitors (AIs) with progestins as adjuvant hormonal therapy(AHT) for low-grade endometrial stromal sarcomas (LGESSs).
Methods
We reviewed cases with LGESS at our institution from 1984 to 2017. Disease recurrence and recurrence-free survival (RFS) were assessed among patients who received AI, progestins, or no AHT.
Results
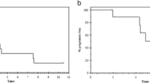
Among 39 patients with LGESS, 18 received progestins, 13 received AI, and 8 received no AHT. Thirty patients had stage I disease, and 9 had stage II to IV disease. All underwent hysterectomies. Disease recurred in 70% (7/10) of stage I patients who received no AHT, compared to 14.3% (1/7) receiving AI, and 7.7% (1/13) receiving progestins (P =.003). Among stage I patients taking AI, mean RFS was 153.1 months (95% confidence interval [CI]: 110–195.6) versus 306.2 months (95% CI: 259.7-352.6) for progestin patients and 90.8 months (95% CI: 56.8-124.9) for those who received no AHT. In stage II to IV patients, mean RFS was 148.5 months (95% CI: 148.5-148.5) and 120.8 months (95% CI: 55.8-185.9) for the AI and progestin groups, respectively. All stage II to IV patients received AHT. Among stage I patients, median follow-up time for RFS was 159.1 months for progestin patients, 52.6 months for AI, and 53.1 months for those who received no AHT. Of this, 69% of stage I patients taking progestins reduced/stopped treatment prematurely due to side effects. None of the patients taking AI discontinued treatment early.
Conclusion
Aromatase inhibitor is associated with longer RFS in patients with advanced LGESS, is better tolerated than progestins, and can be primary AHT for LGESS.
Similar content being viewed by others
References
Abeler VM, Royne O, Thoresen S, Danielsen HE, Nesland JM, Kristensen GB. Uterine sarcomas in Norway. A histopathological and prognostic survey of a total population from 1970 to 2000 including 419 patients. Histopathology. 2009;54(3):355–364.
Chan JK, Kawar NM, Shin JY, et al. Endometrial stromal sarcoma: a population-based analysis. Br J Cancer. 2008;99(8):1210–1215.
Harlow BL, Weiss NS, Lofton S. The epidemiology of sarcomas of the uterus. J Natl Cancer Inst. 1986;76(3):399–402.
Chew I, Oliva E. Endometrial stromal sarcomas: a review of potential prognostic factors. Adv Anat Pathol. 2010;17(2):113–121.
Dos Santos LA, Garg K, Diaz JP, et al. Incidence of lymph node and adnexal metastasis in endometrial stromal sarcoma. Gynecol Oncol. 2011;121(2):319–322.
Cheng X, Yang G, Schmeler KM, et al. Recurrence patterns and prognosis of endometrial stromal sarcoma and the potential of tyrosine kinase-inhibiting therapy. Gynecol Oncol. 2011;121(2):323–327.
Amant F, De Knijf A, Van Calster B, et al. Clinical study investigating the role of lymphadenectomy, surgical castration and adjuvant hormonal treatment in endometrial stromal sarcoma. Br J Cancer. 2007;97(9):1194–1199.
Baggish MS, Woodruff JD. Uterine stromatosis. Clinicopathologic features and hormone dependency. Obstet Gynecol. 1972;40(4):487–498.
Bai H, Yang J, Cao D, et al. Ovary and uterus-sparing procedures for low-grade endometrial stromal sarcoma: a retrospective study of 153 cases. Gynecol Oncol. 2014;132(3):654–660.
Chu MC, Mor G, Lim C, Zheng W, Parkash V, Schwartz PE. Low-grade endometrial stromal sarcoma: hormonal aspects. Gynecol Oncol. 2003;90(1):170–176.
Feng W, Hua K, Malpica A, Zhou X, Baak JP. Stages I to II WHO 2003-defined low-grade endometrial stromal sarcoma: how much primary therapy is needed and how little is enough? Int J Gynecol Cancer. 2013;23(3):488–493.
Garg G, Shah JP, Toy EP, Bryant CS, Kumar S, Morris RT. Stage IA vs. IB endometrial stromal sarcoma: does the new staging system predict survival? Gynecol Oncol. 2010;118(1):8–13.
He L, Li JD, Xiong Y, et al. Clinicopathological and molecular markers associated with prognosis and treatment effectiveness of endometrial stromal sarcoma: a retrospective study in China. Arch Gynecol Obstet. 2014;289(2):383–391.
Li AJ, Giuntoli RL II, Drake R, et al. Ovarian preservation in stage I low-grade endometrial stromal sarcomas. Obstet Gynecol. 2005;106(6):1304–1308.
Rauh-Hain JA, del Carmen MG. Endometrial stromal sarcoma: a systematic review. Obstet Gynecol. 2013;122(3):676–683.
Yoon A, Park JY, Park JY, et al. Prognostic factors and outcomes in endometrial stromal sarcoma with the 2009 FIGO staging system: a multicenter review of 114 cases. Gynecol Oncol. 2014;132(1):70–75.
Berchuck A, Rubin SC, Hoskins WJ, Saigo PE, Pierce VK, Lewis JL Jr., Treatment of endometrial stromal tumors. Gynecol Oncol. 1990;36(1):60–65.
Balleine RL, Earls PJ, Webster LR, et al. Expression of progesterone receptor A and B isoforms in low-grade endometrial stromal sarcoma. Int J Gynecol Pathol. 2004;23(2):138–144.
Reich O, Regauer S. Hormonal therapy of endometrial stromal sarcoma. Curr Opin Oncol. 2007;19(4):347–352.
Graham JD, Clarke CL. Expression and transcriptional activity of progesterone receptor A and progesterone receptor B in mammalian cells. Breast Cancer Res. 2002;4(5):187–190.
Emons G, Grundker C, Gunthert AR, Westphalen S, Kavanagh J, Verschraegen C. GnRH antagonists in the treatment of gynecological and breast cancers. Endocr Relat Cancer. 2003;10(2):291–299.
Puliyath G, Nair MK. Endometrial stromal sarcoma: a review of the literature. Indian J Med Paediatr Oncol. 2012;33(1):1–6.
Alkasi O, Meinhold-Heerlein I, Zaki R, et al. Long-term disease-free survival after hormonal therapy of a patient with recurrent low grade endometrial stromal sarcoma: a case report. Arch Gynecol Obstet. 2009;279(1):57–60.
Altman AD, Nelson GS, Chu P, Nation J, Ghatage P. Uterine sarcoma and aromatase inhibitors: tom baker cancer centre experience and review of the literature. Int J Gynecol Cancer. 2012;22(6):1006–1012.
Burke C, Hickey K. Treatment of endometrial stromal sarcoma with a gonadotropin-releasing hormone analogue. Obstet Gynecol. 2004;104(5 Pt 2):1182–1184.
Dahhan T, Fons G, Buist MR, Ten Kate FJ, van der Velden J. The efficacy of hormonal treatment for residual or recurrent low-grade endometrial stromal sarcoma. A retrospective study. Eur J Obstet Gynecol Reprod Biol. 2009;144(1):80–84.
Katz L, Merino MJ, Sakamoto H, Schwartz PE. Endometrial stromal sarcoma: a clinicopathologic study of 11 cases with determination of estrogen and progestin receptor levels in three tumors. Gynecol Oncol. 1987;26(1):87–97.
Krasner C. Aromatase inhibitors in gynecologic cancers. J Steroid Biochem Mol Biol. 2007;106(1–5):76–80.
Krauss K, Bachmann C, Hartmann JT, et al. Management of late recurrence of a low-grade endometrial stromal sarcoma (LGESS): treatment with letrozole. Anticancer Res. 2007;27(5B):3477–3480.
Leiser AL, Hamid AM, Blanchard R. Recurrence of prolactin-producing endometrial stromal sarcoma with sex-cord stromal component treated with progestin and aromatase inhibitor. Gynecol Oncol. 2004;94(2):567–571.
Leunen M, Breugelmans M, De Sutter P, Bourgain C, Amy JJ. Low-grade endometrial stromal sarcoma treated with the aromatase inhibitor letrozole. Gynecol Oncol. 2004;95(3):769–771.
Maluf FC, Sabbatini P, Schwartz L, Xia J, Aghajanian C. Endometrial stromal sarcoma: objective response to letrozole. Gynecol Oncol. 2001;82(2):384–388.
Mesia AF, Demopoulos RI. Effects of leuprolide acetate on low-grade endometrial stromal sarcoma. Am J Obstet Gynecol. 2000;182(5):1140–1141.
Pink D, Lindner T, Mrozek A, et al. Harm or benefit of hormonal treatment in metastatic low-grade endometrial stromal sarcoma: single center experience with 10 cases and review of the literature. Gynecol Oncol. 2006;101(3):464–469.
Shoji K, Oda K, Nakagawa S, et al. Aromatase inhibitor anastrozole as a second-line hormonal treatment to a recurrent low-grade endometrial stromal sarcoma: a case report. Med Oncol. 2011;28(3):771–774.
Spano JP, Soria JC, Kambouchner M, et al. Long-term survival of patients given hormonal therapy for metastatic endometrial stromal sarcoma. Med Oncol. 2003;20(1):87–93.
Sylvestre VT, Dunton CJ. Treatment of recurrent endometrial stromal sarcoma with letrozole: a case report and literature review. Horm Cancer. 2010;1(2):112–115.
Tzakas E, Liu S, Todd RW, Redman CW. Hormonal therapy with letrozole prior to surgical management of recurrent metastatic low-grade endometrial stromal sarcoma (LGESS). J Obstet Gynaecol. 2009;29(8):778–779.
Koh WJ, Greer BE, Abu-Rustum NR, et al. Uterine Sarcoma, Version 1.2016: Featured Updates to the NCCN Guidelines. J Natl Compr Canc Netw. 2015;13(11):1321–1331.
Xie W, Cao D, Yang J, et al. Fertility-sparing surgery for patients with low-grade endometrial stromal sarcoma. Oncotarget. 2017;8(6):10602–10608.
Willemse PH, van der Ploeg E, Sleijfer DT, Tjabbes T, van Veelen H. A randomized comparison of megestrol acetate (MA) and medroxyprogesterone acetate (MPA) in patients with advanced breast cancer. Eur J Cancer. 1990;26(3):337–343.
Cuzick J, Sestak I, Forbes JF, et al. Anastrozole for prevention of breast cancer in high-risk postmenopausal women (IBIS-II): an international, double-blind, randomised placebo-controlled trial. Lancet. 2014;383(9922):1041–1048.
Goss PE, Ingle JN, Ales-Martinez JE, et al. Exemestane for breast-cancer prevention in postmenopausal women. N Engl J Med. 2011;364(25):2381–2391.
Maunsell E, Goss PE, Chlebowski RT, et al. Quality of life in MAP.3 (Mammary Prevention 3): a randomized, placebo-controlled trial evaluating exemestane for prevention of breast cancer. J Clin Oncol. 2014;32(14):1427–1436.
Zhang XH, Giuliano M, Trivedi MV, Schiff R, Osborne CK. Metastasis dormancy in estrogen receptor-positive breast cancer. Clin Cancer Res. 2013;19(23):6389–6397.
Park JY, Kim DY, Kim JH, Kim YM, Kim YT, Nam JH. The impact of tumor morcellation during surgery on the outcomes of patients with apparently early low-grade endometrial stromal sarcoma of the uterus. Ann Surg Oncol. 2011;18(12):3453–3461.
Legro RS, Brzyski RG, Diamond MP, et al. Letrozole versus clomiphene for infertility in the polycystic ovary syndrome. N Engl J Med. 2014;371(2):119–129.
Bines J, Dienstmann R, Obadia RM, et al. Activity of megestrol acetate in postmenopausal women with advanced breast cancer after nonsteroidal aromatase inhibitor failure: a phase II trial. Ann Oncol. 2014;25(4):831–836.
Lonning PE, Bajetta E, Murray R, et al. Activity of exemestane in metastatic breast cancer after failure of nonsteroidal aromatase inhibitors: a phase II trial. J Clin Oncol. 2000;18(11):2234–2244.
Chang KL, Crabtree GS, Lim-Tan SK, Kempson RL, Hendrickson MR Primary uterine endometrial stromal neoplasms. A clinicopathologic study of 117 cases. Am J Surg Pathol. 1990;14(5):415–438.
Evans HL. Endometrial stromal sarcoma and poorly differentiated endometrial sarcoma. Cancer. 1982;50(10):2170–2182.
Oliva E, Clement PB, Young RH. Endometrial stromal tumors: an update on a group of tumors with a protean phenotype. Adv Anat Pathol. 2000;7(5):257–281.
Conklin CM, Longacre TA. Endometrial stromal tumors: the new WHO classification. Adv Anat Pathol. 2014;21(6):383–393.
Author information
Authors and Affiliations
Corresponding author
Additional information
Authors’ Note
The work was done by Yale University School of Medicine, New Haven, CT, USA.
Rights and permissions
About this article
Cite this article
Deshmukh, U., Black, J., Perez-Irizarry, J. et al. Adjuvant Hormonal Therapy for Low-Grade Endometrial Stromal Sarcoma. Reprod. Sci. 26, 600–608 (2019). https://doi.org/10.1177/1933719118778801
Published:
Issue Date:
DOI: https://doi.org/10.1177/1933719118778801


