Abstract
The \(B\rightarrow \pi \pi ,\pi K\) system offers a powerful laboratory to probe strong and weak interactions. Using the isospin symmetry, we determine hadronic \(B\rightarrow \pi \pi \) parameters from data where new measurements of direct CP violation in \(B^0_d\rightarrow \pi ^0\pi ^0\) resolve a discrete ambiguity. With the help of the SU(3) flavour symmetry, the \(B\rightarrow \pi \pi \) parameters can be converted into their \(B\rightarrow \pi K\) counterparts, thereby allowing us to make predictions of observables. A particularly interesting decay is \(B^0_d\rightarrow \pi ^0 K_\mathrm{S}\) as it exhibits mixing-induced CP violation. Using an isospin relation, complemented with a robust SU(3) input, we calculate correlations between the direct and mixing-induced CP asymmetries of \(B^0_d\rightarrow \pi ^0 K_\mathrm{S}\), which are the theoretically cleanest \(B\rightarrow \pi K\) probes. Interestingly, they show tensions with respect to the Standard Model. Should this \(B\rightarrow \pi K\) puzzle originate from New Physics, electroweak penguins offer an attractive scenario for new particles to enter. We present a strategy to determine the parameters characterising these topologies and obtain the state-of-the-art picture from current data. In the future, this method will allow us to reveal the \(B\rightarrow \pi K\) dynamics and to obtain insights into the electroweak penguin sector with unprecedented precision.
Similar content being viewed by others
Explore related subjects
Discover the latest articles, news and stories from top researchers in related subjects.Avoid common mistakes on your manuscript.
1 Introduction
For decades, the B-meson system has been an exciting playground for theorists and experimentalists to test the flavour- and CP-violating sector of the Standard Model (SM) [1], which is encoded in the Cabibbo–Kobayashi–Maskawa (CKM) matrix [2, 3]. After an era of pioneering measurements at the B factories with the BaBar and Belle experiments as well as the Tevatron, the experimental stage is currently governed by the Large Hadron Collider (LHC) with its dedicated B-decay experiment LHCb. In the near future, Belle II at the KEK Super B Factory will join these explorations, allowing for exciting new opportunities [4, 5], which will be complemented by the LHCb upgrade [6].
In this endeavour, \(B\rightarrow \pi K\) channels are a particularly interesting decay class (for a selection of original references, see Refs. [7,8,9,10,11,12,13,14,15,16]). These modes are dominated by QCD penguin topologies as the tree contributions are strongly suppressed by the tiny CKM matrix element \(|V_{ub}|\). In the case of \(B^+\rightarrow \pi ^0K^+\) and \(B^0_d\rightarrow \pi ^0K^0\), colour-allowed electroweak (EW) penguin topologies enter at the same level as colour-allowed tree amplitudes, contributing \(\mathcal{O}(10\%)\) to the decay amplitudes. As an illustration, we show the decay topologies that contribute to the \(B_d^0 \rightarrow \pi ^0 K^0\) channel in Fig. 1. Since New Physics (NP) may well enter through EW penguins [17,18,19,20,21,22], these \(B\rightarrow \pi K\) modes are especially promising. Examples of specific models are given by NP scenarios with extra \(Z'\) bosons [19,20,21,22], which are receiving a lot of attention in view of anomalies in rare B-decay data (see Ref. [23] and references therein).
In general, NP contributions are associated with new sources of CP violation that can be probed through CP-violating observables. In this respect, \(B^0_d\rightarrow \pi ^0 K_\mathrm{S}\) is a particularly interesting decay as it is the only \(B\rightarrow \pi K\) mode exhibiting mixing-induced CP violation [24, 25]. This phenomenon emerges from interference between \(B^0_d\)–\(\bar{B}^0_d\) mixing and decay processes of \(B^0_d\) and \(\bar{B}^0_d\) mesons into the \(\pi ^0K_\mathrm{S}\) final state. As we will demonstrate in this paper, the mixing-induced CP asymmetry of \(B^0_d\rightarrow \pi ^0 K_\mathrm{S}\) plays an outstanding role for testing the SM with the \(B\rightarrow \pi K\) system. This paper complements Refs. [26, 27], where we gave a compact presentation of the main results discussed in detail below.
Analyses of non-leptonic B decays are in general very challenging due to hadronic matrix elements of four-quark operators entering the corresponding low-energy effective Hamiltonians. In the case of the \(B\rightarrow \pi K\) decays, the flavour symmetries of strong interactions imply relations between the \(B\rightarrow \pi K\) amplitudes and those of the \(B\rightarrow \pi \pi , KK\) systems, which allow us to eliminate the hadronic amplitudes or to determine them from experimental data for the latter decays.
In our analysis, we aim at keeping the theoretical assumptions about strong interactions as minimal as possible, and shall use results from QCD factorization (QCDF) to include SU(3)-breaking corrections [13]. A central role is played by an isospin relation between amplitudes of neutral \(B\rightarrow \pi K\) decays. Complementing it with an SU(3) input to just fix a certain normalisation, this relation allows us to calculate a correlation between the direct and mixing-induced CP asymmetries of the \(B^0_d\rightarrow \pi ^0 K_\mathrm{S}\) mode [25]. We find an intriguing tension with the SM, implying either that the current central values of the relevant observables will change in the future or signals of NP contributions which involve in particular new sources of CP violation.
In order to clarify this situation and to reveal the dynamics underlying the EW penguin contributions of the \(B\rightarrow \pi K\) decays, we develop a new strategy to determine the corresponding parameters. It utilises again the isospin relation between the neutral \(B\rightarrow \pi K\) decays as well as its counterpart for the charged modes. As the experimental picture is sharper for the latter case, we perform a detailed analysis of these modes, resulting in the currently most stringent constraints on the EW penguin parameters. In the future, these quantities can be determined with the help of measurements of the mixing-induced CP asymmetry of \(B^0_d\rightarrow \pi ^0 K_\mathrm{S}\). We illustrate the promising potential of this method by discussing a variety of scenarios. The Belle II experiment offers exciting prospects for future measurements of the CP asymmetries in \(B^0_d\rightarrow \pi ^0 K_\mathrm{S}\) [4, 5], which will allow us to enter a new territory in terms of precision. Concerning \(B\rightarrow \pi K, \pi \pi \) modes with charged pions and kaons in the final states, the LHCb upgrade will also have an important impact for the implementation of the new strategy.
The outline of this paper is as follows: in Sect. 2, we discuss the hadronic parameters following from the current \(B\rightarrow \pi \pi \) data, where an important new ingredient is given by measurements of direct CP violation in \(B^0_d\rightarrow \pi ^0\pi ^0\). Having these parameters at hand, we apply the SU(3) flavour symmetry to calculate their \(B\rightarrow \pi K\) counterparts in Sect. 3, exploring also the impact of SU(3)-breaking corrections. In Sect. 4, we utilize the isospin symmetry to calculate correlations between the CP asymmetries of \(B^0_d\rightarrow \pi ^0K_\mathrm{S}\) and discuss the intriguing picture following from the current measurements. In Sect. 5, we present the details of the new method to determine the EW penguin parameters, apply it to the current data and demonstrate that we can match the expected experimental precision in the era of Belle II and the LHC upgrade(s) with the theoretical uncertainties. Finally, we summarize our conclusions in Sect. 6.
2 The \(\varvec{B\rightarrow \pi \pi }\) system
2.1 Amplitude structure
The \(B\rightarrow \pi \pi \) system has been studied extensively in Ref. [17]. Here, we use the hadronic parameters introduced in Ref. [17] as input for the \(B\rightarrow \pi K\) analysis. To get a comprehensive picture of the status and accuracy of these important quantities, we first summarize the parametrization of Ref. [17]. In the next sections, we discuss the improvements in the corresponding \(B\rightarrow \pi \pi \) observables, and present updated values for the hadronic parameters. The amplitudes of the charged and neutral \(B\rightarrow \pi \pi \) decays satisfy the following isospin relation [28]:
and have contributions from colour-allowed tree (\(\mathcal{T}\)), colour-suppressed tree (\(\mathcal{C}\)), penguin (\(\mathcal{P}\)), exchange (\(\mathcal {E}\)), and penguin-annihilation (\(\mathcal{PA}\)) topologies. The amplitudes can be parametrised in the following way [17, 18]:
where
We use the notation \(\mathcal{P}_{tq}\) and \(\mathcal{PA}_{tq}\) for the difference between penguin and penguin-annihilation topologies with internal t and q quarks, respectively, and introduce
In addition, for the considerations below, it is useful to introduce the ratio
where
involves the Wolfenstein parameter \(\lambda \equiv |V_{us}|=0.22543 \pm 0.00042\), and
measures one side of the UT. Furthermore, \(A\equiv |V_{cb}|/\lambda ^2= 0.8227^{+ 0.0066}_{- 0.0136}\) is another CKM factor [34, 35] (for the numerical values, see Ref. [36]). The UT angle \(\gamma \) can be determined in a theoretically clean way from pure tree decays of the kind \(B\rightarrow D^{(*)}K^{(*)}\) [37,38,39] (for an overview, see [40]). In our numerical analyses, we use
which is an average of the experimental results compiled by the CKMfitter [36] and UTfit [41] collaborations and agrees with Ref. [42]. In the future, the uncertainty of the \(\gamma \) determination from pure \(B\rightarrow D^{(*)}K^{(*)}\) tree decays can be reduced to the \(1^\circ \) level thanks to Belle II and the LHCb upgrade [4,5,6].
In the \(B\rightarrow \pi \pi \) system, the EW penguin topologies play a very minor role and are described by
where
For completeness, we have included them in Eqs. (2–4) using the isospin symmetry of the strong interactions [11, 44]. Their effect on the determination of the hadronic parameters \(d, \theta \) and \(x, \Delta \) is negligible given the current uncertainties [17], and we do not discuss them further. In the future, these EW penguin contributions could be taken into account through a more sophisticated analysis.
2.2 Observables
For the charged B-meson decays, we introduce direct CP asymmetries as
In case of the decay of a neutral \(B_d^0\) meson into a final state that is an eigenstate of the CP operator, we have the following time-dependent decay rate asymmetry:
where the time dependence comes from the oscillations between the \(B_d^0\) and \(\bar{B}_d^0\) states, and \(\Delta M_d\equiv M^{(d)}_\mathrm{H}-M^{(d)}_\mathrm{L}\) denotes the mass differences between the “heavy” and “light” \(B _d^{\phantom {+}} \) mass eigenstates, respectively [45]. The observable \(A_\text {CP}^f\) describes direct CP violation as in Eq. (15), while \(S_\text {CP}^f\) measures mixing-induced CP violation. In Eq. (16), we neglect the decay width difference \(\Delta \Gamma _d = (\Gamma ^{(d)}_\mathrm{H}-\Gamma ^{(d)}_\mathrm{L})/\Gamma _d=\mathcal{O}(10^{-3})\).
In terms of the hadronic parameters in Eqs. (7) and (8), we have [17]
and
where \(\phi _d\) denotes the CP-violating \(B^0_d\)–\(\bar{B}^0_d\) mixing phase.
It is useful to introduce the ratios [17]
and
where
is the usual phase-space function.
In terms of the hadronic parameters introduced above, we obtain [17]
and
2.3 Hadronic parameters
We proceed by updating the hadronic parameters of the \(B\rightarrow \pi \pi \) system. In Table 1, we list the \(B\rightarrow \pi \pi \) data used in our analysis. Here and in the following considerations, the branching ratios are actually CP-averaged quantities. Recently, a new LHCb measurement of the CP asymmetries in \(B_d^0 \rightarrow \pi ^- \pi ^+\) came out [33], where values close to the averages in Table 1 were reported. Important changes with respect to the analysis in Ref. [17] are the results for \(B^0_d \rightarrow \pi ^0\pi ^0\). We emphasize that the branching ratio of this channel quoted in Table 1 is an average of the BaBar measurement [31]
and the recent Belle result [32]
following from the procedure by the Particle Data Group (PDG) [29].
Another interesting new development is the first measurement of the direct CP asymmetry of the \(B^0_d\rightarrow \pi ^0\pi ^0\) decay. In Table 1, we quote the average of the BaBar result [31]
and the recent Belle measurement [32]
Finally, in our numerical analysis, we use the value of \(\gamma \) in Eq. (12) and
which follows from an analysis of CP violation in \(B^0_d\rightarrow J/\psi K_\mathrm{S}\) [29], including corrections from doubly Cabibbo-suppressed penguin effects [46].
Using the current experimental values of the CP asymmetries in \({{B ^0_d \rightarrow \pi ^-\pi ^+}} \), we find the following hadronic parameters [42, 43]:
which are in agreement with Ref. [17] but significantly more precise.
In order to get a handle on x and \(\Delta \), we use the ratios \(R_{+-}\) and \(R_{00}\) defined in Eq. (21) and (22). Using the CP-averaged branching ratios in Table 1 and \(\tau _{B^+}/\tau _{B_d^0}=1.076 \pm 0.004\) [29], we obtain
Needless to note, the branching ratios still have large uncertainties, which influence \(R_{00}^{\pi \pi }\) accordingly.
Determination of x and \(\Delta \) from the current data for the ratios \(R_{+-}^{\pi \pi }\) and \(R_{00}^{\pi \pi }\). The two-fold ambiguity can be resolved through the direct CP asymmetry \(A_{\text {CP}}^{\pi ^0\pi ^0}\), where the current experimental central value results in the dotted blue line
The hadronic parameters x and \(\Delta \) can then be obtained analytically using Eqs. (24) and (25) [17]:
and
respectively, with
Using the current measurements, we illustrate the corresponding contours in Fig. 2. Interestingly, the emerging twofold ambiguity for x and \(\Delta \) can be resolved through the direct CP asymmetry of the \(B^0_d \rightarrow \pi ^0\pi ^0\) channel, resulting in
In a previous analysis [17], the ambiguity was resolved with the help of the SU(3) flavour symmetry and the \(B^\pm \rightarrow \pi ^0K^\pm \) channel, where the unphysical solution would result in a large direct CP asymmetry that is excluded by experimental data. The clean new constraint following from the \(A_\mathrm{CP}^{\pi ^0\pi ^0}\) is consistent with these considerations.
Using the parameters determined above, we find the following SM predictions for the CP asymmetries of the \(B^0_d\rightarrow \pi ^0\pi ^0\) channel:
which depend strongly on the value of \(\mathcal {B}r(B_d^0\rightarrow \pi ^0\pi ^0)\). In comparison with Ref. [17], the prediction for the mixing-induced CP asymmetry moved up by almost \(1\sigma \). The Belle II collaboration expects to reach an uncertainty for the \(B_d^0\rightarrow \pi ^0\pi ^0\) branching ratio of \(\pm 0.03 \mathrm {(stat.)} \pm 0.05 \mathrm {(syst.)}\) [4, 5], whereas the expected uncertainties of the direct and mixing-induced CP asymmetries are \(\pm 0.04\) and \(\pm 0.33\), respectively [4, 5].
Finally, we determine the ratio in Eq. (9) as
where we have used Eqs. (31) and (36). We note that \(\delta _\mathrm{c}^{\pi \pi }\) takes a remarkably small value, which is driven by the determination of the strong phase \(\Delta \). The counterpart of this quantity in the \(B\rightarrow \pi K\) system will play an important role in the later discussion. It is interesting to note that the pattern of the values in Eq. (38) is in accordance with the corresponding QCDF predictions [13, 47]. The determination of the hadronic \(B\rightarrow \pi \pi \) parameters discussed above is actually clean from the theoretical point of view as it depends only on isospin relations and the experimental values of \(\gamma \) and \(\phi _d\).
3 The \(\varvec{B \rightarrow \pi K}\) system
3.1 Amplitude structure
We now focus on the \(B\rightarrow \pi K\) system. The \(B^+\rightarrow \pi ^+K^0\) and \(B^0_d\rightarrow \pi ^-K^+\) amplitudes have only colour-suppressed EW penguins, while \(B^+\rightarrow \pi ^0K^+\) and \(B^0_d\rightarrow \pi ^0K^0\) have in addition contributions from colour-allowed EW penguin topologies. The EW penguin contributions are described by the following parameter [17, 25]:
where \(\phi \) and \(\omega \) are CP-violating and CP-conserving phases, and \({\hat{P}'}_{EW}\) (\(\hat{T}'\)) and \(\hat{P}^{'\mathrm{C}}_{EW}\) (\(\hat{C}'\)) denote colour-allowed and colour-suppressed EW penguin (tree) amplitudes, respectively.
In the SM, the contribution of the EW penguins can be calculated by using the general expressions for the corresponding four-quark operators. The Wilson coefficients of the EW penguin operators \(Q_7\) and \(Q_8\) are tiny and their contributions can be neglected. The remaining \(Q_9\) and \(Q_{10}\) operators are Fierz equivalent to the current–current operators \(Q_1\) and \(Q_2\). Applying then the SU(3) flavour symmetry to the hadronic matrix elements, we obtain the following result [11, 24, 49]:
where the \(C_i(\mu )\) are perturbative Wilson coefficients [47]. We observe that the strong phase \(\omega \) vanishes in the SU(3) limit. The smallness of this phase is actually a model-independent feature, as noted in Refs. [48, 49]. In the remainder of this paper, we use \(\omega =0^\circ \). Making numerical studies, we find that values of \(\omega \) up to \(10^\circ \) would not have an impact on our analysis. The parameter \(R_q\) describes SU(3)-breaking effects. Following Ref. [25], we allow for corrections of \(30\%\) by taking \(R_q = 1.0\pm 0.3\). As a theory benchmark scenario, we assume
which is based on expected future progress for lattice calculations of the relevant quantities as discussed in more detail in Ref. [25]. Since the CP-violating phase \(\phi \) vanishes in the SM, a sizeable value would be a “smoking gun” signal for the presence of NP.
Following Ref. [17], we parametrize the amplitudes as
Here we include the colour-suppressed EW penguin topologies through the parameters \(a_C\) and \(\hat{a}_C\) as well as the CP-conserving phases \(\Delta _C\) and \(\Delta _{\hat{C}}\) for the \(B_d^0\) and \(B^+\) decays, respectively. These quantities, which enter with the EW penguin parameters q and \(\phi \), are related by the isospin symmetry as
where
The overall normalization of the decay amplitudes in Eq. (42) is given by
where the primes indicate that we are dealing with \(\bar{b} \rightarrow \bar{s}\) transitions. The \(B^+\rightarrow \pi ^+K^0\) amplitude differs from \(|P'|\) only through the colour-suppressed EW penguin contributions and the doubly Cabibbo-suppressed hadronic parameter [17]
where \(\mathcal {\tilde{P}}^\prime _u\) is a QCD penguin and \( \mathcal {A}'\) an annihilation amplitude. This parameter can be determined through the U-spin symmetry of strong interactions from data for the \(B^+\rightarrow K^+ \bar{K}^0\) decay [17, 45]. The most recent analysis gives the following result [42]:
which agrees with the expected order of magnitude of the doubly Cabibbo-suppressed \(\rho _\mathrm{c}\). In particular, no anomalously large final-state interaction effects are indicated by the data. It is interesting to note that also the small direct CP asymmetry of \(B^+\rightarrow \pi ^+ K^0\) is in agreement with this pattern. The remaining hadronic parameters are given by [17]
where the normalized amplitudes
describe, in analogy to Eq. (14), the colour-allowed and colour-suppressed tree-diagram contributions, respectively.
3.2 Determination of the hadronic parameters
The \(B \rightarrow \pi K\) system is related to the \(B \rightarrow \pi \pi \) modes through the SU(3) flavour symmetry of strong interactions, which allows us to convert the \(B\rightarrow \pi \pi \) parameters determined in Sect. 2.3 into their \(B\rightarrow \pi K\) counterparts [17, 18]. As EW penguins play a negligible role in the \(B\rightarrow \pi \pi \) system, the resulting hadronic \(B\rightarrow \pi K\) parameters are essentially not affected by possible NP contributions to the EW penguin sector.
A complication arises from exchange (E) and penguin-annihilation (PA) topologies, which are present in the \(B \rightarrow \pi \pi \) system but do not contribute to the \(B \rightarrow \pi K\) modes. These contributions are dynamically suppressed and expected to play a minor role. Using data for \(B_s^0 \rightarrow \pi ^-\pi ^+\) and \(B_d^0\rightarrow K^- K^+\) decays [50], which exclusively emerge from such topologies, and the SU(3) flavour symmetry, the E and PA contributions can be constrained. As discussed in detail in Ref. [42], this results in effects at the few percent level of the overall \(B\rightarrow \pi K\) amplitudes. In the future, measurements of CP asymmetries in the \(B_s^0 \rightarrow \pi ^-\pi ^+\) and \(B_d^0\rightarrow K^- K^+\) decays will result in more precise determinations of these effects [42], allowing us to take these corrections into account.
Let us now determine the hadronic \(B\rightarrow \pi K\) parameters from \(B\rightarrow \pi \pi \) decays. First, we discuss \(r_\mathrm{c}\) and \(\delta _\mathrm{c}\) with their counterparts in the \(B\rightarrow \pi \pi \) system as given in Eq. (9). In the limit of the SU(3) flavour symmetry, we have
which is not affected by factorizable SU(3)-breaking corrections if contributions from the colour-suppressed tree topology are neglected. The \(B^+\rightarrow \pi ^+ \pi ^0\) decay allows us to determine the \(|\mathcal {T}+\mathcal {C}|\) amplitude, which can be converted into its \(B\rightarrow \pi K\) counterpart using
where \(R_{T+C}\) parameterizes SU(3)-breaking effects. We can write this quantity as
with
which is expected to take a value at the 0.3 level. Within the factorization framework, we obtain
where we have used the numerical value of \(f_K/f_\pi \) given in Ref. [51].
Finally, we may determine \(|P'|\) from the \(B^+\rightarrow \pi ^+ K^0\) branching ratio, yielding the following relation [17]:
where we take also the small correction from \(\rho _\mathrm{c}\) through
with the values in Eq. (47) into account. Using \(R_{T+C}\) from Eq. (55) and the most recent values of the CKM matrix elements in Ref. [36] yields
Constraints on \(r_\mathrm{c}\) and \(\delta _\mathrm{c}\): a the blue circle depicts the \(1\sigma \) constraints from Eq. (56) with \(R_{T+C}|_\mathrm{fact}\) while the red ellipse follows from the \(B\rightarrow \pi \pi \) data yielding the results in Eq. (38); b scenario for the expected future precision as discussed in the text
In Fig. 3a, we compare this determination with \(r_\mathrm{c}^{\pi \pi }\) and \(\delta _\mathrm{c}^{\pi \pi }\) in Eq. (38). Here the latter parameters give the red ellipse, whereas the blue circle follows from Eq. (58). In Fig. 3b we zoom in on the red ellipse and show the precision that can be obtained for \(r_\mathrm{c}^{\pi \pi }\) and \(\delta _\mathrm{c}^{\pi \pi }\) in the era of Belle II and the LHCb upgrade, using the expected uncertainty for the \(B\rightarrow \pi \pi \) observables [4, 5], as well as \(\gamma = (70 \pm 1)^\circ \) [4,5,6] and \(\phi _d = (43.2 \pm 0.6)^\circ \) [46]. We have shifted the ellipse to get agreement with the blue contour, and observe that both constraints have actually similar precision. In order to guide the eye, we have also added the dashed red ellipse which corresponds to the current data.
The impressive agreement between the two determinations in Fig. 3a does not indicate non-factorizable SU(3)-breaking corrections within the current experimental precision. In order to quantify this feature, we reverse Eq. (56) and use it to determine \(R_{T+C}\) from the value of \(r_\mathrm{c}\) in Eq. (38), yielding
This value agrees with
given in Ref. [25], where non-factorizable SU(3)-breaking corrections as large as \(100\%\) of the factorizable effects in Eq. (55) were considered.
Utilizing non-perturbative QCD sum rule techniques and allowing for non-factorizable effects, the parameter \(R_{T+C}\) was calculated in Ref. [52]:
Interestingly, a small CP-conserving strong phase arises in this calculation, resembling a picture in analogy to Eq. (38). Moreover, the agreement between Eqs. (55) and (61) indicates that non-factorizable effects have actually a small impact on this parameter.
In the following discussion, \(R_{T+C}\) is a key quantity. For the numerical analyses of the current data, we shall use the value in Eq. (60). In view of the discussion in the previous paragraph, the corresponding uncertainty is conservative. As a future benchmark scenario, we follow Ref. [25], and assume
as a result from expected progress in lattice QCD calculations.
We include non-factorizable corrections to the relation in Eq. (51) via
where \(\xi _{SU(3)}^{r_\mathrm{c}}\) and \(\Delta _{SU(3)}^{r_\mathrm{c}}\) parametrize the SU(3)-breaking effects. Considering non-factorizable corrections of up to \(20 \%\) through
yields
where we give the errors of the individual input parameters and add them in quadrature.
Let us now determine the parameters r and \(\delta \) which enter the amplitude of the \(B_d^0\rightarrow \pi ^-K^+\) channel. They are related to their \({{B ^0_d \rightarrow \pi ^-\pi ^+}} \) counterparts through the SU(3) relation
where \(\xi _{SU(3)}^d\) and \(\Delta _{SU(3)}^d\) describe non-factorizable SU(3)-breaking corrections. Allowing again for such effects of \(20\%\) through
we find
These quantities have also been obtained with the help of data for the \(B^0_s \rightarrow \pi ^+ K^-\) channel, which is the U-spin partner of the \(B^0_d\rightarrow \pi ^-K^+\) decay [42]:
The impressive agreement between Eqs. (68) and (69) does not indicate any anomalously large SU(3)-breaking effects or contributions from exchange and penguin-annihilation topologies.
3.3 Observables and dynamics
3.3.1 Branching ratios
It is useful to introduce the following ratios of the branching ratios of the four \(B\rightarrow \pi K\) modes [11, 48, 49, 53]:
where the values are obtained from the current data summarized in Table 2. The ratios \(R_\mathrm{c}\) and \(R_\mathrm{n}\) depend on the EW penguin parameters q and \(\phi \), while R only involves colour-suppressed EW penguins. Using the expressions in Eq. (42), we can express these ratios in terms of the hadronic parameters introduced above.
It is instructive to use the fact that r and \(r_\mathrm{c}\) are small parameters of \(\mathcal {O}(0.1)\), and make expansions in terms of \(r_\mathrm{(c)}\), which yields
We note an interesting relation:
where the numerical value follows from the experimental results in Eqs. (71) and (72). Consequently, the relation is actually satisfied by the data at the \(1\sigma \) level.
3.3.2 Colour-suppressed electroweak penguins
In the case of the observable R, we obtain
where
describes the colour-suppressed EW penguin topologies. The direct CP asymmetry of the \(B_d^0\rightarrow \pi ^- K^+\) channel takes the form
with
The parameter \(\tilde{a}_S\) enters also the direct CP asymmetries of the other \(B\rightarrow \pi K\) decays. For small phases \(\delta _c\) (see Eq. (65)) and \(\Delta _C\), the sine term results in a strong suppression of \(\tilde{a}_S\). Having the hadronic parameters in Sect. 3.2 at hand, R and \(A_{\text {CP}}^{\pi ^-K^+}\) allow the determination of the colour-suppressed EW penguin contributions \(\tilde{a}_C\) and \(\tilde{a}_S\). Neglecting sub-leading terms, we find
Using the parameters in Table 3 gives
Assuming the SM value of q in Eq. (40), we obtain
which supports the expectation that colour-suppressed EW penguins play a minor role.
3.3.3 Direct CP asymmetries and sum rules
Performing again expansions in the small \(r_\mathrm{c}\) as well as the tiny \(\rho _\mathrm{c}\) yields
which complement the expression in Eq. (78). Interestingly, the contribution from \(\tilde{a}_S\) vanishes in the case of \(\phi =0^\circ \), which includes also the SM.
Using the information encoded in the CP-averaged branching ratios, we obtain
which offers an interesting test of the SM. This sum rule was actually pointed out in Refs. [54, 55]. Evaluating the sub-leading terms gives
If we use the hadronic parameters in Sect. 3.2 and the SM values of \((q,\phi )\), we obtain the SM prediction
On the other hand, the current data in Table 2 give
which is consistent with zero and the SM prediction within the uncertainties.
In addition, we also study another sum rule [54, 55]:
which can be written as
In contrast to Eq. (86), this expression has a \(q^2\) term, thereby showing different sensitivity to a modified EW penguin sector. We find the SM prediction
while the current data give
Comparing Eq. (91) with Eq. (87), we observe that the uncertainty of the second sum rule is larger. This feature is caused by a more pronounced dependence of Eq. (90) on the relevant decay parameters.
The current experimental value of the direct CP asymmetry of the \(B^0_d\rightarrow \pi ^0K^0\) channel suffers from a large uncertainty which actually governs the errors of Eqs. (88) and (92). In fact, the PDG value in Table 2 is an average of BaBar [56] and Belle [57] measurements which show different signs. On the other hand, we may use the sum rules to predict the direct CP violation in \(B^0_d\rightarrow \pi ^0K^0\). Using the cleaner sum rule in Eq. (85) and taking into account higher-order effects from Eq. (86), we find
A similar result, with a slightly larger error, follows from Eqs. (89) and (90). The prediction in Eq. (93) lies within the \(1\sigma \) range of the experimental value in Table 2 but has a much smaller uncertainty. We shall use Eq. (93) as the reference value of \(A_\text {CP}^{\pi ^0 K^0}\).
3.4 Vanishing CP violation in the electroweak penguin sector
An interesting case is given by \(\phi =0^\circ \), which includes the SM but allows also for NP contributions through non-SM values of q. In view of the discussion in Sect. 3.3.2, we neglect contributions from colour-suppressed EW penguin topologies. The observables take then the following forms [17]:
where \(r_q = 1 - 2 q \cos \gamma + q^2\) and [17]
For the CP asymmetries, we find
In contrast to Ref. [17], we include the tiny parameter \(\rho _c\).
In the case of \(B_d^0 \rightarrow \pi ^0 K_\mathrm{S}\), the final state is a CP-odd eigenstate.Footnote 1 Interference between \(B_d^0\)–\(\bar{B}_d^0\) mixing and decays of \(B_d^0\) or \(\bar{B}_d^0\) mesons into the \(\pi ^0 K_\mathrm{S}\) final state gives rise to a mixing-induced CP asymmetry, which satisfies the following general relation [25, 58]:
where
is the direct CP asymmetry, \(\phi _d\) denotes the \(B^0_d\)–\(\bar{B}^0_d\) mixing phase given in Eq. (30), and
measures the angle between the decay amplitude \(A_{00}=A(B_d^0\rightarrow \pi ^0 K^0)\) and its CP conjugate \(\bar{A}_{00} = A(\bar{B}_d^0\rightarrow \pi ^0 \bar{K}^0)\). It is useful to introduce
Thanks to the functional dependence of this expression, for the sum rule prediction in Eq. (93), the direct CP asymmetry has only a tiny numerical impact at the 1% level. Consequently, \((\sin \phi _d)_{\pi ^0 K_\mathrm{S}}\) is fully governed by the mixing-induced CP asymmetry.
The amplitude parametrizations given above yield
where
As the direct CP asymmetry \(A^{\pi ^0K_\mathrm{S}}_\mathrm{CP}\) can be measured, the prediction of the mixing-induced CP asymmetry \(S_\mathrm{CP}^{\pi ^0K_\mathrm{S}}\) requires knowledge of the angle \(\phi _{00}\), which will play a central role in the remainder of this paper. It is interesting to note that Eq. (105) involves cosine functions of CP-conserving strong phases which are very robust for smallish phases. On the other hand, the direct CP asymmetry in Eq. (102) depends on sine functions which are much more sensitive to the values of the strong phases.
Using the SM value of q in Eq. (40) and the hadronic parameters in Table 3 yields
where the error is dominated by the uncertainty of \(R_q\) discussed in Sect. 3. For \(\phi =0^\circ \), colour-suppressed EW penguins do not contribute to \(\phi _{00}\) at leading order. We have checked that including them has indeed a very minor impact. Moreover, we obtain
The expression in Eq. (102) yields
which allows us to convert \((\sin \phi _d)_{\pi ^0 K_\mathrm{S}}\) into the mixing-induced CP asymmetry
In Fig. 4, we summarise the current situation in the \(A_\mathrm{CP}^{\pi ^0 K_\mathrm{S}}\)–\(S_\mathrm{CP}^{\pi ^0 K_\mathrm{S}}\) plane. Here the blue contour corresponds to Eq. (101) with \(\phi _{00}\) given in Eq. (107), whereas the vertical band represents Eq. (109). The black cross shows the current data. We observe that the mixing-induced CP asymmetry exhibits a deviation from the measured value at the \(1\,\sigma \) level. The value of \(A_\mathrm{CP}^{\pi ^0 K_\mathrm{S}}\) is in full agreement with the data and the sum rule prediction in Eq. (93) having a much smaller uncertainty.
In Table 4, we summarize the SM predictions and experimental data for the various \(B \rightarrow \pi K\) observables. The errors are dominated by the currently large uncertainty of the SU(3)-breaking parameter \(R_q\). For the branching ratios, we use the measured branching ratio of \(B^+ \rightarrow \pi ^+ K^0\) to fix the normalization \(|P'|\). We observe that all predictions are well within the current experimental measurements. The excellent agreement of R and \(A_{\text {CP}}^{\pi ^-K^+}\) with the measurements reflects the smallness of the colour-suppressed EW penguin contributions found in Sect. 3.3.2, where these observables were used to determine the colour-suppressed EW penguin parameters. The largest deviation arises in the ratio \(R_\mathrm{n}\), where there is a tension of a bit more than \(1\sigma \) significance.
4 Correlations between CP asymmetries of \(\varvec{B^0_d\rightarrow \pi ^0 K_\mathrm{S}}\)
4.1 Preliminaries
The mixing-induced CP asymmetry of the \(B_d^0\rightarrow \pi ^0K_\mathrm{S}\) channel is a particularly interesting probe for testing the SM. In the previous section, we have used hadronic parameters which were determined from \(B\rightarrow \pi \pi \) data by means of the SU(3) flavour symmetry, resulting in the picture shown in Fig. 4. Interestingly, we can obtain a much more precise correlation in the \(A_\mathrm{CP}^{\pi ^0 K_\mathrm{S}}\)–\(S_\mathrm{CP}^{\pi ^0 K_\mathrm{S}}\) plane, as was pointed out first in [25]. In the following, we discuss this determination in more detail and update the analysis of [25]. In the next section, we also add a new element to the discussion, which strengthens the tension within the SM.
The starting point is given by the following isospin relations [7, 8, 25]:
where the isospin \(I=3/2\) amplitude \(A_{3/2}\) and its CP-conjugate \(\bar{A}_{3/2}\) are given by
Here we have used \(\omega =0^{\circ }\) and observe the relation
The absolute value of the amplitude \(\hat{T}'+\hat{C}'\) can be fixed through the measured branching ratio of the \(B^\pm \rightarrow \pi ^0\pi ^\pm \) decay with the help of the SU(3) flavour symmetry [9]:
As was pointed out in Ref. [25], using measured CP-averaged branching ratios and direct CP asymmetries, the amplitude relations in Eqs. (111–116) allow us to determine the angle \(\phi _{00}\) for given values of the EW penguin parameters q and \(\phi \), in particular also for the SM case as described by Eq. (40). Having \(\phi _{00}\) at hand, the expression in Eq. (101) allows us to calculate a contour in the \(A_\mathrm{CP}^{\pi ^0 K_\mathrm{S}}\)–\(S_\mathrm{CP}^{\pi ^0 K_\mathrm{S}}\) plane. The corresponding correlation relies only on the clean isospin relations in Eqs. (111) and (112) and the SU(3) input given by \(R_{T+C}\) in Eq. (116), which is a very robust parameter as discussed in Sect. 3.2.
It is instructive to have a closer look at the corresponding analysis. The isospin relation in Eq. (111) can be represented by an amplitude triangle in the complex plane as depicted in Fig. 5. For given EW penguin parameters q and \(\phi \), such as in the SM which we consider in the following discussion, the amplitudes \(A_{3/2}\) and \(\bar{A}_{3/2}\) are fixed. Using the direct asymmetries \( A_{\text {CP}}^{\pi ^0 K_{\text {S}}} \) and \(A_{\text {CP}}^{\pi ^- K^+}\) taking the forms
with \(|A_{-+}| \equiv |A(B_d^0 \rightarrow \pi ^- K^+)|\) and \({|\bar{A}_{-+}|} \equiv |A(\bar{B}^0_d \rightarrow \pi ^+ K^- )|\), and the CP-averaged branching ratios allows the determination of the absolute values of the individual amplitudes. Finally, we determine \(\phi _{00}\) and subsequently \( S_{\text {CP}}^{\pi ^0 K_{\text {S}}}\) using Eq. (101). Since the triangles can be flipped around the \(A_{3/2}\) and \(\bar{A}_{3/2}\) axes, we obtain a four-fold ambiguity for \(\phi _{00}\) and correspondingly for \( S_{\text {CP}}^{\pi ^0 K_{\text {S}}}\).
The four orientations of the amplitude triangles for current data and \(A_{\text {CP}}^{\pi ^0 K_{\text {S}}}\) in Eq. (93). Varying \(A_{\text {CP}}^{\pi ^0 K_{\text {S}}}\), the triangle configurations correspond to the contours in the \(A_{\text {CP}}^{\pi ^0 K_{\text {S}}}\)–\(S_{\text {CP}}^{\pi ^0 K_{\text {S}}}\) plane shown in Fig. 7 with the same colour
Let us illustrate this method by taking \(A_{\text {CP}}^{\pi ^0 K_{\text {S}}}\) from the sum rule in Eq. (93) and central values of the measured observables. The four orientations of the resulting triangles are shown in Fig. 6, and correspond to the angles \(\phi _{00}\) and mixing-induced CP asymmetries \(S_{\text {CP}}^{\pi ^0 K_{\text {S}}}\) given in Table 5. The triangles are drawn in arbitrary units, since only the shape of the triangles is important for the determination of \(\phi _{00}\).
If we now vary the direct CP asymmetry of \(B_d^0 \rightarrow \pi ^0 K_S\), we obtain a correlation between \(S_{\text {CP}}^{\pi ^0 K_{\text {S}}}\) and \(A_{\text {CP}}^{\pi ^0 K_{\text {S}}}\) [17, 25]. This results in the four contours in the \(A_{\text {CP}}^{\pi ^0 K_{\text {S}}}\)–\(S_{\text {CP}}^{\pi ^0 K_{\text {S}}}\) plane shown in Fig. 7a, b, where we have also taken the experimental errors and the uncertainties of \(R_{T+C}\) and \(R_q\) into account. The four contours correspond to the configurations in Fig. 6 where \(\phi _{00}\) is labelled with the same colour. We have also included the current experimental data point for the CP asymmetries from Table 2, and the vertical band refers to the sum rule value of \(A_{\text {CP}}^{\pi ^0 K_{\text {S}}}\) in Eq. (93). In addition, the narrow bands illustrate a future scenario including only the expected theory uncertainties for \(R_q\) and \(R_{T+C}\) in Eqs. (41) and Eq. (62), respectively.
4.2 Discrete ambiguities
The four-fold ambiguity arising from the different orientations of the amplitude triangles can be distinguished through the strong phase \(\delta _\mathrm{c}\) [25]. The values of \(\delta _\mathrm{c}\) corresponding to different points on the four contours in Fig. 7a, b can be found by parametrizing \(A_\mathrm{CP}^{\pi ^0K_\mathrm{S}}\) and \(S_\mathrm{CP}^{\pi ^0K_\mathrm{S}}\) in terms of the hadronic parameters using Eqs. (101) and (102). Employing now only the neutral \(B \rightarrow \pi K\) observables, the hadronic parameters r, \(\delta \) and \(r_\mathrm{c}\) can be expressed in terms of the strong phase \(\delta _\mathrm{c}\) using the ratio \(R_\mathrm{n}\) and \(A_\mathrm{CP}^{\pi ^-K^+}\). In addition, we use \(\mathcal {B}r(B_d^0\rightarrow \pi ^-K^+)\) to fix the normalization \(|P'|\) which then enters \(r_\mathrm{c}\) via
where we used again the SU(3) flavour symmetry.
Finally, we find that the contours in Fig. 7a correspond to \(|\delta _\mathrm{c}| < 90^\circ \), while those in Fig. 7b give \(|\delta _\mathrm{c}|> 90 ^\circ \). Using the range of \(\delta _\mathrm{c}\) in Eq. (65), only the contours in Fig. 7a are allowed. Going one step further, we can also consider the associated value of \(r_\mathrm{c}\) for the contours in Fig. 7a. We find that the lower contour implies very large values of \(r_\mathrm{c}\) that are excluded from Eq. (65), thereby leaving only the upper contour in Fig. 7a. In comparison with Ref. [25], we already obtain a much sharper picture due to the improved value of \(\gamma \) in Eq. (12), which pushes \(S_\mathrm{CP}^{\pi ^0K_\mathrm{S}}\) close to its maximal value of 1. We observe a discrepancy between the data and the triangle constraint at the \(2.5\;\sigma \) level.
a, b Correlations between the CP asymmetries of \(B_d^0 \rightarrow \pi ^0 K_\mathrm{S}\) following from the isospin triangles illustrated in Fig. 6. The vertical band (red) gives the sum rule prediction in Eq. (93). c, d For each of the triangle configurations we show the associated angle \(\phi _{\pm }\). The horizontal band (blue) gives the current SM constraint in Eq. (122). The narrow bands correspond to a future scenario discussed in the text
As a new element, we employ the angle
between the decay amplitudes \(A_{-+} \equiv A(B^0_d\rightarrow \pi ^- K^+)\) and \(\bar{A}_{-+} \equiv A(\bar{B}_d^0\rightarrow \pi ^+ K^-)\) [26]. In Fig. 7c, d, we give \(\phi _{\pm }\) for each of the four triangle configurations. The narrow band depicts the future theory scenario as discussed above.
In the SM, we may actually calculate \(\phi _\pm \) from the hadronic parameters in Eq. (68). For \(\phi =0^\circ \), we obtain
where
The \(B_\pm \) and \(C_{\pm }\) actually give tiny numerical contributions, and we find
where we have used the values of \(r, \delta \) and \(\gamma \) in Table 3 to obtain the numerical result. We have added this SM constraint to Fig. 7 and note that two of the contours in Fig. 7a, b are excluded by the new constraint \(\phi _\pm \). This can also be seen in the illustration of the triangles in Fig. 6. In addition, the grey contour in Fig. 7d is in tension with the constraint on \(\phi _\pm \). However, this specific configuration was already excluded because it implies \(|\delta _c| > 90^\circ \). We therefore focus on the (green) upper contour in Fig. 7a. However, for this configuration, we observe a tension with the SM prediction for \(\phi _\pm \) which is currently at the \(1\sigma \) level but may become much more pronounced as illustrated by the narrow band referring to a future scenario.
Illustration of the \(B \rightarrow \pi K\) puzzle: the upper green band follows from the isospin analysis while the vertical band shows the sum rule prediction in Eq. (93)
4.3 How to resolve the \({B \rightarrow \pi K}\) puzzle?
In Fig. 8, we summarize the intriguing picture following from the isospin triangles, showing only the contour remaining once the constraints from Sect. 4.2 have been applied. In comparison with Fig. 4, we obtain a much cleaner picture, requiring only SU(3) input for the parameters \(R_{T+C}\) and \(R_q\), which are very robust as discussed in Sect. 3. On the other hand, Fig. 4 relies on the SU(3) flavour symmetry for the determination of the hadronic \(B\rightarrow \pi K\) parameters from their \(B\rightarrow \pi \pi \) counterparts.
The observed discrepancy arising within the SM between the isospin relation and the measured mixing-induced CP asymmetries is at the \(2\sigma \) level. However, as pointed out previously, also the isospin relation, which does not depend on the mixing-induced CP asymmetry of \(B_d^0\rightarrow \pi ^0 K_\mathrm{S}\), exhibits a discrepancy with the SM at the \(1\sigma \) level.
Therefore, it is far from trivial to fulfil all constraints simultaneously and an interesting question to explore is how the data would have to change in order to get agreement with the SM. In view of the large experimental uncertainty of the \(B_d^0\rightarrow \pi ^0 K^0\) branching ratio, this quantity is a prime candidate. In fact, we find that lowering the central value of \(\mathcal {B}r(B_d^0\rightarrow \pi ^0 K^0)\) by about \(2.5\,\sigma \) gives a picture which is fully consistent with the SM, provided also the central value of the mixing-induced CP asymmetry of \(B_d^0\rightarrow \pi ^0 K_\mathrm{S}\) would move up by about \(1 \,\sigma \). We illustrate the corresponding situation in Fig. 9, where the part of the contour that is in agreement with the constraint on \(\phi _\pm \) in Eq. (119) is highlighted in cyan. In addition, the triangle determination agrees also with the brown SM band following from Eq. (101) with \(\phi _{00}\) in Eq. (105) and the sum rule prediction in Eq. (93). We emphasize that only a change of \(S_{\text {CP}}^{\pi ^0K_\mathrm{S}}\) by (1–\(2)\sigma \) reduces the tension with the SM, but does not resolve it completely.
Reducing \(\mathcal {B}r(B_d^0\rightarrow \pi ^0 K^0)\) by \(2.5\,\sigma \) gives a picture consistent with the SM, where the dark part agrees perfectly with the \(\phi _\pm \) constraint in Eq. (122)
On the other hand, the puzzling situation may also be a signal of NP effects in the EW penguin sector, thereby affecting the values of q and \(\phi \). A particularly exciting aspect is the sensitivity to new sources of CP violation.
5 Extracting the electroweak penguin parameters
5.1 Preliminaries
In the previous section, we have used the isospin relations in Eqs. (111) and (112) to calculate a correlation between the direct and mixing-induced CP asymmetries of the \(B^0_d\rightarrow \pi ^0K_\mathrm{S}\) channel, resulting in an intriguing picture for the current experimental data that may be an indication of a modified EW penguin sector. In view of this result and to test the corresponding SM sector, it would be very interesting to determine the EW penguin parameters q and \(\phi \) from experimental data and to compare the corresponding results with the SM prediction (see Eq. (40)). The parameter \(R_q\) is then only needed for the SM prediction of q while the CP-violating phase \(\phi \), which vanishes in the SM, may give a “smoking-gun” signal of new sources of CP violation.
In order to achieve this goal, we apply again the isospin relations in Eqs. (111) and (112) for the neutral \(B\rightarrow \pi K\) decays. These relations have also counterparts in the system of the charged \(B\rightarrow \pi K\) decays, where the \(B^+\rightarrow \pi ^0 K^+\) mode receives significant contributions from colour-allowed EW penguin topologies. We have
where the isospin amplitude \(A_{3/2}\) and its CP-conjugate \(\bar{A}_{3/2}\) are given in Eqs. (113) and (114), respectively.
In view of the large experimental uncertainties of the CP-violating observables of the \(B_d^0 \rightarrow \pi ^0 K_\mathrm{S}\) channel, let us focus on the charged \(B\rightarrow \pi K\) decays. Using the corresponding CP-averaged branching ratios and direct CP asymmetries, the isospin relations in Eqs. (123) and (124) can be represented as amplitude triangles in the complex plane for a given value of \(|A_{3/2}|=|\bar{A}_{3/2}|\). The relative orientation of the triangles is fixed through the tiny angle
between \(A_{+0} \equiv A(B^+ \rightarrow \pi ^+ K^0)\) and \(\bar{A}_{+0} \equiv A(B^- \rightarrow \pi ^- \bar{K}^0)\), as illustrated in Fig. 10. Employing Eq. (42) for the \(B^+\rightarrow \pi ^+K^0\) amplitude and neglecting the colour-suppressed EW penguin contributions (see Sect. 3.3.2), we obtain
Using then the values of the corresponding parameters in Table 3 yields
In Fig. 10, we illustrate the charged \(B\rightarrow \pi K\) isospin triangles for the central values of the current data, assuming the SM values of the EW penguin parameters. The triangle construction allows us to determine the difference
between the phases \(\phi _{3/2}\) and \(\bar{\phi }_{3/2}\) of the amplitudes \(A_{3/2}\) and \(\bar{A}_{3/2}\), respectively, which is given by \(\Delta \phi _{3/2}=2\phi _{3/2}\) as can be seen in Eq. (115). Introducing
we obtain
and
with
allowing us to calculate contours in the \(\phi \)–q plane. In order to convert the given value of \(|A_{3/2}|=|\bar{A}_{3/2}|\) into the parameter N, we use again the SU(3) relation in Eq. (116). For the current charged \(B\rightarrow \pi K\) decay data, we arrive at the contours shown in Fig. 11a. As was the case in Sect. 4, we have a four-fold ambiguity for \(\Delta \phi _{3/2}\) since the triangles can be flipped around the \(A_{3/2}\) and \(\bar{A}_{3/2}\) axes. This is represented by the four different colours for the contours in Fig. 11a. Moreover, for every value of \(\Delta \phi _{3/2}\), there are two contours in the \(\phi \)–q plane due to solving a quadratic equation, giving two contours of every colour and eight contours in total. We find discontinuities of the contours around \(q\sim 1\), \(\phi \sim 70^\circ \), because \(|A_{3/2}|\) cannot become arbitrarily small as then the amplitudes in Eq. (123) cannot form triangles anymore.
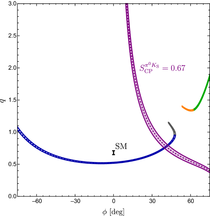
a Contours in the \(\phi \)–q plane for the current data for the charged \(B\rightarrow \pi K \) decays. b Contours remaining after imposing the constraints discussed in the text. c–f Theory constraints (grey) combined with the \(\phi _{0+}\) constraint following from the triangle constructions in the same colours
As in the neutral case, we can eliminate some contours by considering the angle
where \(A_{0+} \equiv A(B^+ \rightarrow \pi ^0 K^+)\) and \(\bar{A}_{0+} \equiv A(B^- \rightarrow \pi ^0 K^-)\). We may now compare \(\phi _{0+}\) as obtained from the triangle construction with its theoretical prediction:
where the colour-suppressed EW penguin parameter \(\tilde{a}_C\) was defined in Eq. (77). These effects can be included using the ratio R via Eq. (81). Contrary to the SM case discussed above, now the theoretically allowed \(\phi _{0+}\) depends on q and \(\phi \). At the same time, the \(\phi _{0+}\) obtained from the triangle construction also depends on \(\phi \). In Fig. 11, we show this angle for each of the eight branches of the triangle determinations in the same colour. In addition, in grey we show the theoretically allowed values of \(\phi _{0+}\) as a function of \(\phi \), using the exact expression but neglecting colour-suppressed EW penguin contributions. For this theoretical prediction, we use the q as a function of \(\phi \) from the associated triangle contour. This implies that each of the eight triangle contours has a different theoretical prediction for \(\phi _{0+}\) as function of \(\phi \). We observe that one of the contours in Fig. 11c and one in Fig. 11e is clearly excluded by the theoretical constraint on \(\phi _{0+}\). We have removed those curves in Fig. 11b.
Error budget for the isospin contour in the \(\phi \)–q plane that is consistent with the \(R_\mathrm{c}\) constraint in Eq. (135): a impact of the various parameters when varying them individually within their \(1\,\sigma \) ranges; b pie chart to illustrate the relative contributions of the parameters to the total uncertainty of q for \(\phi =0^\circ \)
It is interesting to have a closer look at the ratio \(R_\mathrm{c}\) of the CP-averaged branching ratios of the charged \(B\rightarrow \pi K\) decays introduced in Eq. (7374). It allows us to derive the following exact expression:
where
Using the information for \(r_\mathrm{c}\) and \(\delta _\mathrm{c}\) in Eq. (65) and including also the tiny \(\rho _\mathrm{c}\) parameter as given in Eq. (47), the measured value of \(R_\mathrm{c}\) can be converted into yet another contour in the \(\phi \)–q plane. In contrast to the analysis using the isospin relations, we require now also the strong phase \(\delta _\mathrm{c}\). In Fig. 11b, we have added the resulting contour, which is in excellent agreement with two branches of the isospin triangle construction. This curve is actually also consistent with the SM value of q and \(\phi \).
We note that the allowed parameter space for q and \(\phi \) following from the current data of the charged \(B\rightarrow \pi K\) system is significantly reduced in comparison with the situation discussed in Ref. [25]. Moreover, we have presented a transparent way to calculate the contours in the \(\phi \)–q plane and do not have to make a fit to the data. The constraints on q and \(\phi \) have actually a highly non-trivial structure that follows from the isospin relation and can be understood in an analytic way. The only additional SU(3) input is the quantity \(R_{T+C}\) discussed in Sect. 3.2, which is required for the conversion of \(|A_{3/2}|\) into the parameter N.
In Fig. 12a, we discuss the uncertainties of the various input parameters, focusing on the contour in the \(\phi \)–q plane in Fig. 11b that is in agreement with the \(R_\mathrm{c}\) constraint. When adding the individual errors in quadrature, we obtain the uncertainty band in Fig. 11b. In Fig. 12b, we illustrate the error budget as a pie chart. We observe that \(\gamma \) and the branching ratios play the major roles, while \(R_{T+C}\) has a slightly smaller impact on the error budget.
In analogy to the discussion of the charged \(B\rightarrow \pi K\) system given above, we may also use the neutral \(B\rightarrow \pi K\) decays and their isospin amplitude relations to determine contours in the \(\phi \)–q plane. The key difference is that the measurement of the mixing-induced CP asymmetry of \(B^0_d\rightarrow \pi ^0 K_\mathrm{S}\) allows us to determine the angle \(\phi _{00}\) in a clean way through Eq. (104), thereby fixing the relative orientation of the neutral \(B\rightarrow \pi K\) isospin triangle and its CP conjugate. In contrast to using \(\phi _\mathrm{c}\) in Eq. (125) for the charged \(B\rightarrow \pi K\) decays, this determination is theoretically clean (although also \(\phi _\mathrm{c}\) is only affected by a small theoretical uncertainty). The charged and neutral \(B\rightarrow \pi K\) decays should result in constraints in the \(\phi \)–q plane that are consistent with each other.
5.2 Utilizing mixing-induced CP violation in \(B^0_d\rightarrow \pi ^0K_\mathrm{S}\)
In order to not just constrain q and \(\phi \) but to determine these parameters, further information is needed. It is provided by the mixing-induced CP asymmetry \(S_{\text {CP}}^{\pi ^0 K_{\text {S}}}\), which allows the extraction of the phase \(\phi _{00}\). If we use the values of the hadronic parameters \(r_\mathrm{c}\), \(\delta _\mathrm{c}\) and r, \(\delta \) as determined in Sect. 3.2, we may convert this observable into a contour in the \(\phi \)–q plane with the help of the following expression:
where
where we defined \(\hat{c} \equiv \tilde{a}_C \;q\) and \(\hat{s} \equiv \tilde{a}_S \; q\). As discussed in Sect. 3.3.2, we can determine the colour-suppressed EW penguin contributions \(\hat{c}\) and \(\hat{s}\) from experimental data using R and \(A_{\text {CP}}^{\pi ^-K^+}\), allowing us to take also these contributions into account. We first focus on the constraints from current data. Using the measurement of \(S_\mathrm{CP}^{\pi ^0 K_\mathrm{S}}\) in Table 2 gives
which should be compared with the SM prediction in Eq. (107). From Eq. (139) we then obtain the purple contour in Fig. 13, which includes contributions from colour-suppressed EW penguin topologies. We show also the contours from the isospin analysis that agree with the \(R_\mathrm{c}\) constraint, and the SM point from Eq. (40). We observe that the new contour from \(S_\mathrm{CP}^{\pi ^0 K_\mathrm{S}}\) is perpendicular to the contours obtained from the isospin analysis and the allowed region is the area where the contours overlap. For current data, we note that this largely includes the “gap” in the triangle contours. As discussed, this empty region around \(q\sim 1\) and \(\phi \sim 70^\circ \) arises because no triangles can be formed.
Therefore, in order to demonstrate the future application of our strategy, we consider three scenarios for measurements of \(S_{\text {CP}}^{\pi ^0 K_{\text {S}}}\) with shifted central values, as summarized in Table 6. In the corresponding numerical analyses, we include effects of colour-suppressed EW penguin topologies for completeness. In our future scenarios, we assume that \(S_{\text {CP}}^{\pi ^0 K_{\text {S}}}\) has the same uncertainty as \(A_{\text {CP}}^{\pi ^0 K_{\text {S}}}\) and use the corresponding value anticipated for Belle II in Refs. [4, 5]; unfortunately, the mixing-induced CP asymmetry was not considered in this reference. In Fig. 14, we show the constraints in the \(\phi \)–q plane resulting from \(S_{\text {CP}}^{\pi ^0 K_{\text {S}}}\) and the isospin determination separately for the three scenarios. We also give the SM point corresponding to the value of \(R_q\) in Eq. (41). For the constraints following from \(S_{\text {CP}}^{\pi ^0 K_{\text {S}}}\), we take into account the experimental uncertainties on \(A_{\text {CP}}^{\pi ^0 K_{\text {S}}}\) and \(S_{\text {CP}}^{\pi ^0 K_{\text {S}}}\) as given in Table 6. In addition, we take into account the theoretical SU(3) uncertainties for the hadronic parameters that are required to determine q from Eq. (139). We show these experimental and theoretical uncertainties separately in Fig. 14. This additional contour in the \(\phi \)–q plane, combined with the isospin triangle contours, constrains the allowed values of q and \(\phi \) significantly, as indicated by their small overlapping region in Fig. 14.
Illustration of the future scenarios specified in Table 6. For the constraints following from measurements of \(S^{\pi ^0 K_\mathrm{S}}_{\text {CP}}\), the experimental and theory uncertainties are given separately
For the isospin triangle constraints in Fig. 14, we only show the contours that remain after taking constraints from \(\phi _{0+}\) and \(R_\mathrm{c}\) into account. For the uncertainty, we only consider the uncertainty on \(R_{T+C}\) as in Eq. (62). The theory uncertainty (dashed line) matches the future experimental uncertainty (solid line), which is very promising.
Progress on theory and the interplay with experiment may lead to an even sharper picture for the hadronic parameters (see Sect. 3.2 and Ref. [42]). As an illustration, we assume a scenario where the SU(3)-breaking corrections can be reduced by a factor of four with respect to the current situation. Taking only these uncertainties into account, we obtain the constraints in Fig. 15. These considerations show the exciting potential of the new strategy, going even beyond the next generation of B-decay experiments.
Finally, it is interesting to return to the sum rules discussed in Sect. 3.3.3. The question arises whether they would be significantly affected by the NP scenarios discussed above. In Fig. 16, we show both sum rules as functions of q for several values of \(\phi \), using the hadronic parameters in Table 3. Here the outer curves correspond to the maximum values that the sum rules can take. The behaviour of \(\Delta _\mathrm{SR}^{(\mathrm{I})}\) can be easily derived from Eq. (86), i.e. it is linear in q with a slope proportional to \(\sin (\gamma -\phi )\). On the other hand, \(\Delta _\mathrm{SR}^{(\mathrm{II})}\) also depends on \(q^2\) as can be seen from Eq. (90). The grey horizontal bands show the sensitivity of the sum rules at Belle II, assuming an uncertainty for \(A_\mathrm{CP}^{\pi ^0 K_\mathrm{S}}\) of \(\pm 0.042\) and perfect measurements of the other observables entering Eqs. (85) and (89). The black data point corresponds to the SM values of q and \(\phi \) using \(R_q\) in Eq. (41). Consequently, we observe that the experimental resolution would not be sufficient to reveal the NP effects in the EW penguin sector with the sum rules, in contrast to the new method presented above.
The sum rules introduced in Eqs. (85) and (89) as functions of q for different values of the CP-violating phase \(\phi \). The grey horizontal band illustrates the ultimate experimental precision at Belle II, assuming an uncertainty of \(\pm 0.042\) for \(A_\mathrm{CP}^{\pi ^0 K_\mathrm{S}}\) and perfect measurements of the other observables entering the sum rules
6 Conclusions
Employing information on the UT angle \(\gamma \) and the \(B^0_d\)–\(\bar{B}^0_d\) mixing phase \(\phi _d\), we use the currently available data for \(B\rightarrow \pi \pi \) decays to determine hadronic parameters which characterize these modes and describe the interplay between various tree-diagram-like and penguin topologies. We find agreement with previous studies although our results have higher precision. An important new element in this endeavour is given by measurements of direct CP violation in \(B^0_d\rightarrow \pi ^0\pi ^0\), allowing us to resolve a twofold ambiguity. The determination of the hadronic \(B\rightarrow \pi \pi \) parameters relies only on the isospin symmetry and is hence theoretically clean. Consequently, the corresponding results represent reference values for the comparison with QCD calculations. EW penguin topologies play a negligible role in the \(B\rightarrow \pi \pi \) system for the current experimental uncertainties but could be included in the future through more sophisticated analyses.
Utilizing the SU(3) flavour symmetry, we convert the hadronic \(B\rightarrow \pi \pi \) parameters into their counterparts in the \(B\rightarrow \pi K\) system. We test also the SU(3) flavour symmetry and obtain an impressive global picture which does not indicate any anomalously large non-factorizable SU(3)-breaking corrections. Correspondingly, we do not find indications of an enhancement of colour-suppressed EW penguin topologies when analysing the data. The cleanest SM prediction of the \(B\rightarrow \pi K\) observables is a correlation between the direct and mixing-induced CP asymmetries of the \(B^0_d\rightarrow \pi ^0K_\mathrm{S}\) decay. As we discussed in detail, it follows from an isospin relation between the neutral \(B\rightarrow \pi K\) decay amplitudes and uses the SU(3) flavour symmetry only to fix the magnitude of the \(\hat{T}'+\hat{C}'\) amplitude. In comparison with a previous study, a tension of the mixing-induced CP violation in \(B^0_d\rightarrow \pi ^0K_\mathrm{S}\) has become more pronounced due to a sharper determination of \(\gamma \). Moreover, we have considered the angle \(\phi _\pm \) as a new constraint, which also shows tension with respect to the SM. These discrepancies emerging from the current data suggest that either the values of the measured observables will change in the future or indicate NP effects with new sources of CP violation. In the former case, a reduction of the central value of the branching ratio of \(B^0_d\rightarrow \pi ^0K^0\) by about \(2.5\,\sigma \) with an increase of the mixing-induced CP asymmetry by about \(1 \,\sigma \) would give a situation in agreement with the SM. In the latter case, EW penguin topologies offer an attractive avenue for new particles to enter the \(B\rightarrow \pi K\) modes.
In view of this intriguing \(B\rightarrow \pi K\) puzzle and to test the corresponding sector of the SM, the EW penguin parameters q and \(\phi \) are in the spotlight. We have presented a new strategy to determine these quantities from the data for the neutral and charged \(B\rightarrow \pi K\) decays, employing again the corresponding isospin relations. Applying this method to the current data, we already obtain surprisingly stringent constraints in the \(\phi \)–q plane. They are consistent with the SM but leave also a lot of space for possible NP effects. In order to actually pin down \(\phi \) and q further information is needed, which is provided by the mixing-induced CP asymmetry of the \(B^0_d\rightarrow \pi ^0K_\mathrm{S}\) decay. Considering a variety of future scenarios, we have illustrated this determination and have shown that the theory uncertainties can match the expected experimental precision in the era of Belle II and the LHCb upgrade. Following these lines, we may determine \((q,\phi )\) and reveal the dynamics of the \(B\rightarrow \pi K\) system with unprecedented accuracy. The resulting picture will either confirm once again the SM or may eventually establish new flavour structures with possible new sources of CP violation.
Notes
As usual, we neglect tiny CP violation in the neutral kaon system.
References
A.J. Buras, J. Girrbach, Rep. Prog. Phys. 77, 086201 (2014). arXiv:1306.3775 [hep-ph]
N. Cabibbo, Phys. Rev. Lett. 10, 531 (1963)
M. Kobayashi, T. Maskawa, Prog. Theor. Phys. 49, 652 (1973)
T. Abe et al., [Belle-II Collaboration], arXiv:1011.0352 [physics.ins-det]
T. Aushev et al., arXiv:1002.5012 [hep-ex]
R. Aaij et al., [LHCb Collaboration], Eur. Phys. J. C 73, 2373 (2013). arXiv:1208.3355 [hep-ex]
Y. Nir, H.R. Quinn, Phys. Rev. Lett. 67, 541 (1991)
M. Gronau, O.F. Hernandez, D. London, J.L. Rosner, Phys. Rev. D 52, 6374 (1995). arXiv:hep-ph/9504327
M. Gronau, J.L. Rosner, D. London, Phys. Rev. Lett. 73, 21 (1994). arXiv:hep-ph/9404282
R. Fleischer, Int. J. Mod. Phys. A 12, 2459 (1997). arXiv:hep-ph/9612446
A.J. Buras, R. Fleischer, Eur. Phys. J. C 11, 93 (1999). arXiv:hep-ph/9810260
M. Neubert, JHEP 9902, 014 (1999). arXiv:hep-ph/9812396
M. Beneke, M. Neubert, Nucl. Phys. B 675, 333 (2003). arXiv:hep-ph/0308039
R. Fleischer, S. Recksiegel, F. Schwab, Eur. Phys. J. C 51, 55 (2007). arXiv:hep-ph/0702275
M. Gronau, J.L. Rosner, Phys. Lett. B 666, 467 (2008). arXiv:0807.3080 [hep-ph]
C. Bobeth, M. Gorbahn, S. Vickers, Eur. Phys. J. C 75, 340 (2015). arXiv:1409.3252 [hep-ph]
A.J. Buras, R. Fleischer, S. Recksiegel, F. Schwab, Nucl. Phys. B 697, 133 (2004). arXiv:hep-ph/0402112
A.J. Buras, R. Fleischer, S. Recksiegel, F. Schwab, Phys. Rev. Lett. 92, 101804 (2004). arXiv:hep-ph/0312259
V. Barger, L. Everett, J. Jiang, P. Langacker, T. Liu, C. Wagner, Phys. Rev. D 80, 055008 (2009). arXiv:0902.4507 [hep-ph]
V. Barger, L.L. Everett, J. Jiang, P. Langacker, T. Liu, C.E.M. Wagner, JHEP 0912, 048 (2009). arXiv:0906.3745 [hep-ph]
R. Fleischer, PoS FPCP 2015, 002 (2015). arXiv:1509.00601 [hep-ph]
N.B. Beaudry, A. Datta, D. London, A. Rashed, J.S. Roux, JHEP 1801, 074 (2018). arXiv:1709.07142 [hep-ph]
W. Altmannshofer, C. Niehoff, P. Stangl, D.M. Straub, Eur. Phys. J. C 77, 377 (2017). arXiv:1703.09189 [hep-ph]
R. Fleischer, Phys. Lett. B 365, 399 (1996). arXiv:hep-ph/9509204
R. Fleischer, S. Jäger, D. Pirjol, J. Zupan, Phys. Rev. D 78, 111501 (2008). arXiv:0806.2900 [hep-ph]
R. Fleischer, R. Jaarsma, K.K. Vos, arXiv:1712.02323 [hep-ph]
R. Fleischer, R. Jaarsma, E. Malami, K.K. Vos, Talk given at Rencontres de Moriond 2018, QCD and High Energy Interactions, La Thuile, Italy, 17–24 March 2018, to appear in the Proceedings. arXiv:1805.06705 [hep-ph]
M. Gronau, D. London, Phys. Rev. Lett. 65, 3381 (1990)
C. Patrignani et al., [Particle Data Group], Chin. Phys. C 40, 100001 (2016)
Y. Amhis et al., [Heavy Flavor Averaging Group (HFAG)], arXiv:1412.7515 [hep-ex]. For updates, see http://www.slac.stanford.edu/xorg/hfag/
J.P. Lees et al., [BaBar Collaboration], Phys. Rev. D 87, 052009 (2013). arXiv:1206.3525 [hep-ex]
T. Julius et al., [Belle Collaboration], Phys. Rev. D 96, 032007 (2017). arXiv:1705.02083 [hep-ex]
R. Aaij et al., [LHCb Collaboration], arXiv:1805.06759 [hep-ex]
L. Wolfenstein, Phys. Rev. Lett. 51, 1945 (1983)
A.J. Buras, M.E. Lautenbacher, G. Ostermaier, Phys. Rev. D 50, 3433 (1994). arXiv:hep-ph/9403384
J. Charles et al., Phys. Rev. D 91, 073007 (2015). arXiv:1501.05013 [hep-ph]; for updates, see http://ckmfitter.in2p3.fr
M. Gronau, D. Wyler, Phys. Lett. B 265, 172 (1991)
D. Atwood, I. Dunietz, A. Soni, Phys. Rev. Lett. 78, 3257 (1997). arXiv:hep-ph/9612433
D. Atwood, I. Dunietz, A. Soni, Phys. Rev. D 63, 036005 (2001). arXiv:hep-ph/0008090
R. Fleischer, S. Ricciardi, Proceedings of the 6th International Workshop on the CKM Unitarity Triangle (CKM 2010). arXiv:1104.4029 [hep-ph]
A. Bevan et al., arXiv:1411.7233 [hep-ph]; for updates, see http://www.utfit.org
R. Fleischer, R. Jaarsma, K.K. Vos, JHEP 1703, 055 (2017). arXiv:1612.07342 [hep-ph]
R. Fleischer, R. Jaarsma, K.K. Vos, Phys. Rev. D 94(11), 113014 (2016). arXiv:1608.00901 [hep-ph]
M. Gronau, D. Pirjol, T.M. Yan, Phys. Rev. D 60, 034021 (1999) [Erratum: Phys. Rev. D 69, 119901 (2004). arXiv:hep-ph/9810482
R. Fleischer, Phys. Rep. 370, 537 (2002). arXiv:hep-ph/0207108
K. De Bruyn, R. Fleischer, JHEP 1503, 145 (2015). arXiv:1412.6834 [hep-ph]
M. Beneke, G. Buchalla, M. Neubert, C.T. Sachrajda, Nucl. Phys. B 606, 245 (2001). arXiv:hep-ph/0104110
M. Neubert, J.L. Rosner, Phys. Rev. Lett. 81, 5076 (1998). arXiv:hep-ph/9809311
M. Neubert, J.L. Rosner, Phys. Lett. B 441, 403 (1998). arXiv:hep-ph/9808493
R. Aaij et al., [LHCb Collaboration], Phys. Rev. Lett. 118, 081801 (2017). arXiv:1610.08288 [hep-ex]
J.L. Rosner, S. Stone, R.S. Van de Water, arXiv:1509.02220 [hep-ph]
A. Khodjamirian, T. Mannel, M. Melcher, Phys. Rev. D 68, 114007 (2003). arXiv:hep-ph/0308297
R. Fleischer, T. Mannel, Phys. Rev. D 57, 2752 (1998). arXiv:hep-ph/9704423
M. Gronau, Phys. Lett. B 627, 82 (2005). arXiv:hep-ph/0508047
M. Gronau, J.L. Rosner, Phys. Rev. D 74, 057503 (2006). arXiv:hep-ph/0608040
B. Aubert et al., [BaBar Collaboration], Phys. Rev. D 79, 052003 (2009). arXiv:0809.1174 [hep-ex]
M. Fujikawa et al., [Belle Collaboration], Phys. Rev. D 81, 011101 (2010). arXiv:0809.4366 [hep-ex]
S. Faller, R. Fleischer, T. Mannel, Phys. Rev. D 79, 014005 (2009). arXiv:0810.4248 [hep-ph]
Acknowledgements
This research has been supported by the Netherlands Organisation for Scientific Research (NWO) and by the Deutsche Forschungsgemeinschaft (DFG), research unit FOR 1873 (QFET).
Author information
Authors and Affiliations
Corresponding author
Rights and permissions
Open Access This article is distributed under the terms of the Creative Commons Attribution 4.0 International License (http://creativecommons.org/licenses/by/4.0/), which permits unrestricted use, distribution, and reproduction in any medium, provided you give appropriate credit to the original author(s) and the source, provide a link to the Creative Commons license, and indicate if changes were made.
Funded by SCOAP3
About this article
Cite this article
Fleischer, R., Jaarsma, R., Malami, E. et al. Exploring \(B\rightarrow \pi \pi , \pi K\) decays at the high-precision frontier. Eur. Phys. J. C 78, 943 (2018). https://doi.org/10.1140/epjc/s10052-018-6397-5
Received:
Accepted:
Published:
DOI: https://doi.org/10.1140/epjc/s10052-018-6397-5

















