Abstract
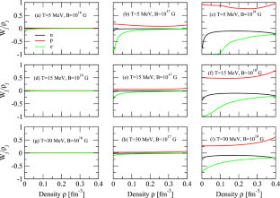
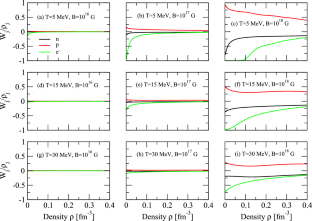
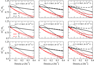
We study the properties of hot and dense neutron star matter under the presence of strong magnetic fields using two Skyrme interactions, namely the LNS and the BSk21 ones. Asking for \(\beta \)–stability and charge neutrality, we construct the equation of state of the system and analyze its composition for a range of densities, temperatures and magnetic field intensities of interest for the study of supernova and proto-neutron star matter, with a particular interest on the degree of spin-polarization of the different components. The results show that system configurations with larger fractions of spin up protons and spin down neutrons and electrons are energetically favored over those with larger fractions of spin down protons and spin up neutrons and electrons. The effective mass of neutrons and protons is found to be in general larger for the more abundant of their spin projection component, respectively, spin down neutrons and spin up protons. The effect of the magnetic field on the Helmhotz total free energy density, pressure and isothermal compressibility of the system is almost negligible for all the values of the magnetic field considered.








Similar content being viewed by others
Data Availability
This manuscript has no associated data or the data will not be deposited. Authors’ comment: This is a theoretical study and there are no data associated to it.]
References
L. Rezzolla, P. Pizzochero, I, Jones, N. Rea, and I. Vidaña Eds. The Physics and Astrophysics of Neutron Stars, Astrophysics and Space Science Library 457, Springer Nature Switzerland AG 2018
S.L. Shapiro, S.A. Teukolsky, Black Holes (The Physics of Compact Stars (Wiley and Sons, White Dwarfs and Neutron Stars, 1983)
W.H.G. Lewin, J. van Paradijs, E.P.J. van den Heuvel, X-ray binaries (Cambridge University, Cambridge, 1995)
A.G. Lyne, F. Graham-Smith, Pulsar Astron. (Cambridge University, Cambridge, 1998)
R.C. Duncan, C. Thompson, Astrophys. J. Lett. 392, L9 (1992)
B. Paczyński, Acta Astron. 42, 145 (1992)
C. Thompson, R.C. Duncan, Mon. Not. R. Astron. Soc. 275, 255 (1995)
C. Thompson, R.C. Duncan, Astrophys. J. 473, 322 (1996)
S. Chandrasekhar, E. Fermi, Astrophys. J. 118, 116 (1953)
T. Tatsumi, T. Maruyama, E. Nakano, K. Nawa, Nucl. Phys. A 774, 827 (2006)
C. Thompson, R.C. Duncan, Astrophys. J. 408, 194 (1993)
D.H. Brownell, J. Callaway, Nuovo Cimento B 60, 169 (1969)
M.J. Rice, Phys. Lett. A 29, 637 (1969)
J.W. Clark, N.C. Chao, Lett. Nuovo Cimento 2, 185 (1969)
S. D. Silvertein, Phys. Rev. Lett. 23, 139
J.W. Clark, Phys. Rev. Lett. 23, 1463 (1969)
E. Østgaard, Nucl. Phys. A 154, 202 (1970)
J.M. Pearson, G. Saunier, Phys. Rev. Lett. 24, 325 (1970)
V.R. Pandharipande, V.K. Garde, J.K. Srivastava, Phys. Lett. B 38, 485 (1972)
S.O. Bäckman, C.G. Källman, Phys. Lett. B 43, 263 (1973)
P. Haensel, Phys. Rev. C 11, 1822 (1975)
A.D. Jackson, E. Krotscheck, D.E. Meltzer, A. Smith, Nucl. Phys. A 386, 125 (1982)
A. Vidaurre, J. Navarro, J. Bernabeu, Astron. Astrophys. 135, 361 (1984)
M. Kutschera, W. Wójcik, Phys. Lett. B 223, 11 (1989)
S. Marcos, R. Niembro, M.L. Quelle, J. Navarro, Phys. Lett. B 271, 277 (1991)
M. Kutschera, W. Wójcik, Phys. Lett. B 325, 217 (1994)
P. Bernardos, S. Marcos, R. Niembro, M.L. Quelle, Phys. Lett. B 356, 175 (1996)
S. Fantomni, A. Sarsa, K.E. Schmidt, Phys. Rev. Lett. 87, 181101 (2001)
I. Vidaña, A. Polls, A. Ramos, Phys. Rev. C 65, 035804 (2002)
I. Vidaña, I. Bombaci, Phys. Rev. C 66, 045801 (2002)
A. Rios, A. Polls, I. Vidaña, Phys. Rev. C 71, 055802 (2005)
D. López-Val, A. Rios, A. Polls, I. Vidaña, Phys. Rev. C 74, 068801 (2006)
I. Bombaci, A. Polls, A. Ramos, A. Rios, I. Vidaña, Phys. Lett. B 632, 638 (2006)
F. Sammarruca, P.G. Krastev, Phys. Rev. C 75, 034315 (2007)
M.A. Pérez-García, J. Navarro, A. Polls, Phys. Rev. C 80, 025802 (2009)
M.A. Pérez-García, Phys. Rev. C 80, 045804 (2009)
M. Bigdeli, Phys. Rev. C 82, 054312 (2010)
F. Sammarruca, Phys. Rev. C 83, 064304 (2011)
V.R. Khalilov, Phys. Rev. D 65, 056001 (2002)
M.A. Pérez-García, Phys. Rev. C 77, 065806 (2008)
R. Aguirre, Phys. Rev. C 83, 055804 (2011)
M.A. Pérez-García, C. Providência, A. Rabhi, Phys. Rev. C 84, 045803 (2011)
R. Aguirre, E. Bauer, Phys. Lett. B 721, 136 (2013)
R. Aguirre, E. Bauer, I. Vidaña, Phys. Rev. C 89, 035809 (2014)
R. Aguirre, E. Bauer, J. Phys. G: Nucl. Part. Phys. 42, 105101 (2015)
R.D. Blandford, L. Hernquist, J. Phys. C: Solid State Phys. 15, 6233 (1982)
A. Broderick, M. Prakash, J.M. Lattimer, Astrophys. J. 537, 351 (2000)
J. Dong, W. Zuo, J. Gu, Phys. Rev. D 87, 103010 (2013)
A. Rabhi, M.A. Pérez-García, C. Providência, I. Vidaña, Phys. Rev. C 91, 045803 (2015)
J. Fang, H. Pais, S. Avancini, C. Providência, Phys. Rev. C 94, 062801(R) (2016)
J. Fang, H. Pais, S. Pratapsi, S. Avancini, J. Li, C. Providência, Phys. Rev. C 95, 045802 (2017)
J. Fang, H. Pais, S. Pratapsi, C. Providência, Phys. Rev. C 95, 062801(R) (2017)
S. Avancini, B.P. Bertolino, A. Rabhi, J. Fang, H. Pais, C. Providência, Phys. Rev. C 98, 025805 (2018)
I. Sengo, H. Pais, B. Franzon, C. Providência, Phys. Rev. D 102, 063013 (2020)
H. Pais, B. Bertolino, J. Fang, X. Wang, C. Providência, Eur. Phys. J. A 57, 193 (2021)
M. Ferreira, A. Rabhi, C. Procidência, Eur. Phys. J. A 57, 263 (2021)
J. Torres-Patiño, E. Bauer, I. Vidaña, Phys. Rev. C 99, 045808 (2019)
L.G. Cao, U. Lombardo, C.W. Shen, N.V. Giai, Phys. Rev. C 73, 014313 (2006)
S. Goriely, N. Chamel, J.M. Pearson, Phys. Rev. C 82, 035804 (2010)
B.P. Abbot et al., Phys. Rev. Lett. 119, 161101 (2017)
T.E. Riley et al., Astrophys. J. Lett. 887, L21 (2019)
M.C. Miller et al., Astropys. J. Lett. 887, L24 (2019)
A. F. Fantina, N. Chamel. J. M. Pearson, and S. Goriely, Astron. and Astrophys. 559, A128 (2013)
E. Bauer, J. Torres-Patiño, Phys. Rev. C 101, 065806 (2020)
Acknowledgements
I.V. thanks the support of the European Union’s Horizon 2020 research and innovation programme under Grant Agreement No. 824093. OGB is a member of the Carrera del Investigador Científico of the Comisión de Investigaciones Científicas of the Provincia de Buenos Aires (CICPBA), Argentina. EB is a member of the Carrera del Investigador Científico of the Consejo Nacional de Investigaciones Científicas y Técnicas (CONICET), Argentina.
Author information
Authors and Affiliations
Corresponding author
Additional information
Communicated by Jérôme Margueron.
Rights and permissions
Springer Nature or its licensor (e.g. a society or other partner) holds exclusive rights to this article under a publishing agreement with the author(s) or other rightsholder(s); author self-archiving of the accepted manuscript version of this article is solely governed by the terms of such publishing agreement and applicable law.
About this article
Cite this article
Benvenuto, O.G., Bauer, E. & Vidaña, I. Hot and highly magnetized neutron star matter properties with Skyrme interactions. Eur. Phys. J. A 59, 159 (2023). https://doi.org/10.1140/epja/s10050-023-01070-z
Received:
Accepted:
Published:
DOI: https://doi.org/10.1140/epja/s10050-023-01070-z


