Abstract
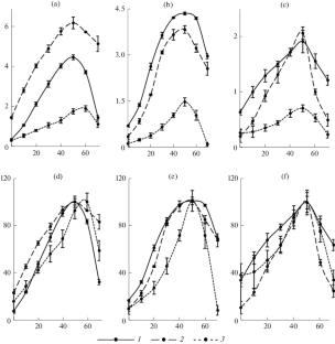
For the first time the activity of casein-lytic and hemoglobin-lytic peptidases of intestinal mucosa, chyme and enteric microflora of carnivorous boreal fish (pike, zander, burbot, perch) was investigated across a wide temperature range (0–70°С) to reveal the role of the enzymes of the enteric microbiota and the prey in the temperature adaptations of the digestive system of these fish. It was shown that in summer at 0°С, the relative activity of peptidases of intestinal mucosa (less than 20%) is usually considerably less than that of chyme and enteric microflora peptidases (up to 40% of maximal activity). In winter, on the background of low relative activity of mucosa and enteric microbiota peptidases at 0°C revealed a high level of the relative activity of burbot and pike chyme peptidases (45 and 80% of maximal activity). The role of enteric microbiota and prey peptidases in digestive system adaptations of piscivorous fish to low temperatures is discussed.




Similar content being viewed by others
REFERENCES
Ásgeirsson, B., Fox, J.W., and Bjarnason, J.B., Purification and characterization of trypsin from the poikilotherm Gadus morhua, Eur. J. Biochem., 1989, vol. 180, pp. 85–94.
Austin, B., The bacterial microflora of fish, revised, Sci. World J., 2006, vol. 6, pp. 931–945.
Bezerra, R.S., Lins, E.J.F., Alencar, R.B., et al., Alkaline proteinase from intestine of Nile tilapia (Oreochromis niloticus), Process Biochem. (Oxford, U. K.), 2005, vol. 40, pp. 1829–1834.
Bezerra, R.S., Santos, J.F., Paiva, P.M.G., et al., Partial purification and characterization of a thermostable trypsin from pyloric caeca of tambaqui (Colossoma macropomum), J. Food Biochem., 2001, vol. 25, pp. 199–210.
Buddington, R.K., Krogdahl, A., and Bakke-Mckellep, À.Ì., The intestines of carnivorous fish: structure and functions and relations with diet, Acta Physiol. Scand., Suppl. 1997, pp. 67–80.
Concha-Frias, B.B., Alvarez- González, C.A., Gaxiola-Cortes, M.G., et al., Partial characterization of digestive proteases in the common snook Centropomus undecimalis, Int. J. Biol., 2016, vol. 8, pp. 1–11.
Cuenca-Soria, C.A., Álvarez-González, C.A., Ortiz-Galindo, J.L., et al., Partial characterization of digestive proteases of the Mayan cichlid Cichlasoma urophthalmus, Fish Physiol. Biochem., 2014, vol. 40, pp. 689–699.
Dabrowski, K. and Glogowski, J., Studies on the proteolytic enzymes of invertebrates constituting fish food, Hydrobiologia (Hagua), 1977, vol. 52, pp. 171–174.
Dabrowski, K. and Glogowski, J., The role of exogenic proteolytic enzymes in digestion processes in fish, Hydrobiologia (Hagua), 1977, vol. 54, pp. 129–134.
Dixon, M. and Webb, E.C., Enzymes, 2nd ed., London: Longmans, Green and Co., 1964.
Ganguly, S. and Prasad, A., Microflora in fish digestive tract plays significant role in digestion and metabolism, Rev. Fish Biol. Fisher., 2012, vol. 22, pp. 11–16.
Gelman, A.G., Kuz’mina, V.V., Drabkin, V., and Glatman, M., Temperature adaptations of fish digestive enzymes, in Feeding and Digestive Functions in Fishes, Cyrino, J.E.P., Bureau, D.P., and Kapoor, B.G., Eds., Enfield (NF), Jersey: Plymouth: Sci. Publ., 2008, Ch. 4, pp. 155–226.
Hochachka, P.W. and Somero, G.N., Strategies of Biochemical Adaptation, Philadelphia: WB Saunders Company, 1973.
Hochachka, P.W. and Somero, G.N., Biochemical Adaptation. Mechanism and Process in Physiological Evolution, Oxford: Univ. Press, 2002.
Jančarik, A., Die Verdauung der Hauptnährstoffe beim Karpfen, Z. Fisch. Hilfswiss, 1964, vol. 12, pp. 601–684.
Kishimura, H., Tokuda, Y., Klomklao, S., et al., Enzymatic characteristics of trypsin from pyloric ceca of spotted mackerel (Scomber australasicus), J. Food Biochem., 2006, vol. 30, pp. 466–477.
Kurokawa, T., Shiraishi, M., and Suzuki, T., Quantification of exogenous protease derived from zooplankton in the intestine of Japanese sardine (Sardinops melanotictus) larvae, Aquaculture, 1998, vol. 161, pp. 491–499.
Kuz'mina, V.V., Classical and modern conceptions of fish digestion, in Feeding and Digestive Functions in Fishes, Cyrino, J.E.P., Bureau, D.P., and Kapoor, B.G., Eds., Enfield (NF), Jersey: Plymouth: Sci. Publ., 2008, Ch. 4, pp. 85–154.
Kuz’mina, V.V., Processes of Exotrophy in Fish. Organization. Regulation. Adaptations, Moscow: Polygraph Plus, 2015.
Kuz'mina, V.V., Skvortsova, E.G., Shalygin, M.V., and Kovalenko, E.K., Role of peptidases of the enteral microbiota and preys in temperature adaptations of the digestive system in planktivorous and benthivorous fish, Fish Physiol. Biochem, 2015, vol. 41, pp. 1359–1368.
Kuz'mina, V.V., Zolotareva, G.V., and Sheptitskiy, V.A., Proteolytic activity in some freshwater animals and associated microbiota in a wide ph range, Fish Physiol. Biochem., 2017, vol. 43, pp. 373–383.
Lubianskiené, V., Verbikas, Yu., Jankevicus, K., et al., Obligate Symbiosis of Digestive Tract Microbiota and Organism, Vilnius (Lituania): Mokslas, 1989.
Mattheis, Th., Ökologie der bakterien in darm von süsswassernuttfishen, Z. Fisch., 1964, vol. 12, pp. 6–10.
Munilla-Morán, R., Stark, J.R., and Babour, A., The role of exogenous enzymes in digestion in cultured turbot larvae (Scophthalmus maximus L.), Aquaculture, 1990, vol. 88, pp. 337–350.
Munilla-Morán, R. and Saborido-Rey, F., Digestive enzymes in marine species. I. Proteinase activities in gut from redfish (Sebastes mentella), seabream (Sparus aurata) and turbot (Scophthalmus maximus), Comp. Biochem. Physiol. B, 1996, vol. 113, pp. 395–402.
Muñoz, A.R.R., Purification and kinetic characterization of trypsin from the intestine and pyloric caeca of the white grunt, Haemulon plumierii (Lacepède, 1801), A Thesis Submitted in Partial Fulfillment for the Requirements for the Degree of Master of Science in Biology, Mayagüez Campus: University of Puerto Rico, 2004.
Natalia, Y., Hashim, R., Ali, A., and Chong, A., Characterization of digestive enzymes in acarnivorous ornamental fish, the asian bony tongue Scleropages formosus (Osteoglossidae), Aquaculture, 2004, vol. 233, pp. 305–320.
Oozeki, Y. and Bailey, K.M., Ontogenetic development of digestive enzyme activities in larval walleye pollock, Theragra chalcogramma, Mar. Biol. (Berlin), 1995, vol. 122, pp. 177–186.
Pavlisko, A., Rial, A., de Vecchi, S., and Coppes, Z., Properties of pepsin and trypsin isolated from the digestive tract of Parona signata “Palometa,” J. Food Biochem., 1997, vol. 21, pp. 289–308.
Pavlisko, A., Rial, A., and Coppes, Z., Characterization of trypsin purified from the pyloric caeca of the southwest Atlantic white croaker Micropogohias furnieri (Sciaenidae), J. Food Biochem., 1997, vol. 21, pp. 383–400.
Pavlisko, A., Rial, A., and Coppes, Z., Purification and characterization of a protease from the pyloric caeca of menhaden (Brevoortia spp.) and mullet (Mugil spp.) from the southwest Atlantic region, J. Food Biochem., 1999, vol. 23, pp. 225–241.
Ray, A.K., Ghosh, K., and Ringø, E., Enzyme-producing bacteria isolated from fish gut: a review, Aquaculture Nutr., 2012, vol. 18, pp. 465–492.
Richter-Otto, W. and Fehrmann, M., Zur methodik von darmflora untersuchungen, Ernährungsforsch, 1956, vol. 1, pp. 584–586.
Šyvokieně, J., Symbiont Digestion in Hydrobionts and Insects, Vilnius (Lituania): Mokslas, 1989.
Ugolev, A.M. and Kuzmina, V.V., Digestive Processes and Adaptations in Fish, St. Petersburg: Gidrometeoizdat, 1993.
Versteeg, D.J. and Guesy, J.P., Lysosomal enzyme release in the bluegill sunfish (Lepomis macrochirus Rafinesque) exposed to cadmium, Arch. Environ. Contam. Toxicol., 1985, vol. 14, pp. 631–640.
Visessanguan, W., Menino, A.R., Kim, S.M., and An, H., Cathepsin l: a predominant heat activated proteinase in arrowtooth flounder muscle, J. Agric. Food Chem., 2001, vol. 49, no. 5, pp. 2633–2640.
Visessanguan, W., Benjakul, S., and An, H., Purification and characterization of cathepsin l in arrowtooth flounder (Atheresthes stomias) muscle, Comp. Physiol. Biochem. B, 2003, vol. 134, no. 3, pp. 474–487.
Wang, B., Wang, C., Mims, S.D., and Xiong, Y.L., Characterization of the proteases involved in hydrolyzing paddlefish (Polyodon spathula) myosin, J. Food Biochem., 2000, vol. 24, pp. 503–515.
Yamashita, M. and Kanagaya, S., Participation of cathepsin l into extensive softening of the muscle of chum salmon caught during spawning migration, Bull. Jpn. Soc. Sci. Fish., 1990, vol. 56, no. 8, pp. 1271–1277.
Yamashita, M. and Kanagaya, S., Purification and characterization of cathepsin l from the white muscle of chum salmon, Oncorhynchus keta, Comp. Biochem. Physiol. B, 1990, vol. 96, no. 2, pp. 247–253.
Author information
Authors and Affiliations
Corresponding author
Rights and permissions
About this article
Cite this article
Kuz’mina, V.V., Skvortsova, E.G. & Shalygin, M.V. Role of Peptidases of the Enteric Microbiota and Prey in Temperature Adaptations of the Digestive System in Boreal Carnivorous Fish. Inland Water Biol 12, 231–239 (2019). https://doi.org/10.1134/S1995082919020093
Received:
Revised:
Accepted:
Published:
Issue Date:
DOI: https://doi.org/10.1134/S1995082919020093


