Abstract
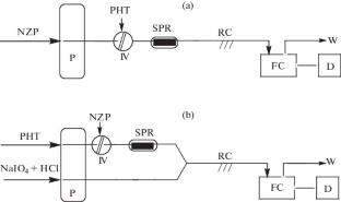
Two flow injection analysis (FIA) systems for determining nitrazepam (NZP) in pharmaceutical formulations using two kinds of solid-phase reactors were developed. The first system involved on-line oxidation of the reagent using a mini column containing PbO2 immobilized on cellulose acetate, while the second one involved on-line reduction of drug using a mini-Jones reductor. Both methods are based on spectrophotometric method involving oxidative coupling reaction to phenothiazine with reduced NZP in the presence of a suitable oxidizing agent to form a green color product measured at 615 or 589 nm for the two methods, respectively. The calibration graphs were linear over the range 0.5 to 45 and 10 to 250 μg/mL with a relative standard deviation less than 3.6% (n = 32) and 2.4% (n = 35) for the two methods. Solid-phase reactors can be applied for the determination of NZP in a FIA with high sensitivity and significant advantages over conventional procedures.







Explore related subjects
Discover the latest articles and news from researchers in related subjects, suggested using machine learning.REFERENCES
Higgitt, A.C., Lader, M.H., and Fonagy, P, Br. Med. J. (Clin. Res. Ed.), 1985, vol. 291, no. 6497, p. 688.
Han, S., Xia, L., and Wei, B., Anal. Sci., 2014, vol. 30, p. 495.
Molaei, K., Asgharinezhed, A.A., Ebrahimzadeh, H., Shekar, N., Jalilian, N., and Dehghani, Z., J. Sep. Sci., 2015, vol. 38, no. 22, p. 3905.
Thangadurai, S., Kanagaraj, B., and Kulantheswaran, M., Malays. J. Forensic Sci., 2015, vol. 6, no. 1, p. 12.
Lee, H.H., Lee, J.F., Lin, S.Y., Lin, Y.Y., and Chen, B.H., Clin. Chim. Acta, 2013, vol. 420, p. 134.
Baciu, T., Botello, I., Borrul, F., Calull, M., and Aguilar, C., TrAC, Trends Anal. Chem., 2015, vol. 74, p. 89.
de Bairrose, A.V., de Almeida, R.M., Pantaleão, L., Barcellos, T., and Yonamine, M., J. Chromatogr. B: Anal. Technol. Biomed. Life Sci., 2015, vol. 975, p. 24.
Abdulsattar, R.S., J. Univ. Anbar Pure Sci., 2010, vol. 4, no. 1, p. 1.
Al-Shaker, Y.M. and Hassan, I.Y., Rafidain J. Sci., 2011, vol. 22, no. 4, p. 39.
Revanasiddappa, H.D., Deepakumari, H.N., and Vinay, K.B., An. Univ. Bucuresti, Chim., 2011, vol. 20, no. 2, p. 189.
Revanasiddappa, H.D., Mallegowda, S.M., Deepakumari, N.H., and Vinay, B.K., Asian J. Biochem. Pharm. Res., 2011, vol. 1, p. 70.
Upadhyay, K., Recent Res. Sci. Technol., 2012, vol. 4, no. 8, p. 89.
Deepakumari, H.N. and Revanasiddappa, H.D., J. Spectrosc., 2013, vol. 2013, p. 1.
Martínez, J. and García-Mateo, J.V., TrAC, Trends Anal. Chem., 1993, vol. 12, p. 428.
Tzanavaras, P.D. and Themelis, D.G., Anal. Chim. Acta, 2007, vol. 588, p. 1.
Zhang, Z. and Tang, Y., Anal. Bioanal. Chem., 2005, vol. 381, p. 932.
Faizullah, A.T. and Townshend, A., Anal. Chim. Acta, 1985, vol. 167, p. 225.
The Indian Pharmacopoeia, Ghaziabad: The Indian Pharmacopoeia Commission, 2007, vol. 3, p. 834.
Hargis, L.G., Analytical Chemistry: Principles and Techniques, Englewood Cliffs, NJ: Prentice-Hall, 1998.
Author information
Authors and Affiliations
Corresponding author
Additional information
The article is published in the original.
Rights and permissions
About this article
Cite this article
Hind Hadi, Mouayed, M. & Gouda, A.A. Reducing and Oxidizing Columns in the Flow Injection Determination of Nitrazepam in Pharmaceutical Formulations. J Anal Chem 74, 143–152 (2019). https://doi.org/10.1134/S1061934819020060
Received:
Revised:
Accepted:
Published:
Issue Date:
DOI: https://doi.org/10.1134/S1061934819020060