Abstract
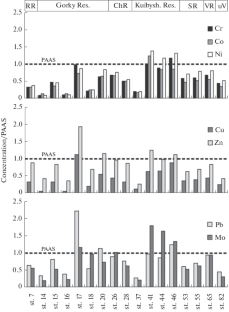
The concentrations of heavy metals in gray silts were analyzed in the Volga cascade of Reservoirs (June 2016, R/V Akademik Topchiev, Borok Village–Astrakhan City). The mean concentrations of heavy metals (Cd, Cu, As, Ni, Pb, and Zn) in gray silts of the Volga River were found to be below the tentatively admissible concentrations in soils. The maximums and minimums of the concentrations of different heavy metals were found to be attained in different locations along the Volga. At the same time, the concentrations of the majority of heavy metals in the silts in the Upper and Middle Volga (within the first ~1200 km of the expedition route) are appreciable; downstream of the Usa mouth, they are somewhat smoothed. The concentrations of V, Cr, Co, Ni, Cu, and Zn in excess of the background for gray silts in the Upper Volga are mostly typical of the Kuibyshev Reservoir. The concentration of the majority of heavy metals in the examined samples is lower or somewhat higher than their concentrations in the average post-Archean Australian shale (PAAS). This suggests the conclusion that their concentrations in gray silts are mostly determined by the concentrations of heavy metals in natural sources and the effect of dilution of thin/pelite aluminosilicoclastic by nonclay material. No correlation was found to exist between the concentration of organic carbon and the majority of heavy metals.








Similar content being viewed by others
REFERENCES
Bezrukov, P.L. and Lisitsyn, A.P., Classification of sediments in the modern marine water bodies, in Geologicheskie issledovaniya v dal’nevostochnykh moryakh (Geological Studies in Far East Seas), Moscow: Izd. Akad Nauk SSSR, 1960, pp. 3–14.
Brekhovskikh, V.F., Volkova, Z.V., Katunin, D.N., Kazmiruk, V.D., Kazmiruk, T.N., and Ostrovskaya, E.V., Heavy metals in bottom sediment in the Upper and Lower Volga, Water Resour., 2002, vol. 29, no. 5, pp. 539–547.
Brekhovskikh, V.F., Katunin, D.N., Ostrovskaya, E.V., Perekal’skii, V.M., and Popova, O.V., Heavy metal transportation and accumulation processes in the Lower Volga River, Water Resour., 1999, vol. 26, no. 4, pp. 400–410.
Butorin, N.V., Ziminova, N.A., and Kurdin, V.P., Donnye otlozheniya verkhnevolzhskikh vodokhranilishch (Bottom Sediments of the Upper Vogla Reservoirs), Leningrad: Nauka, 1975.
Volga – glavnaya ulitsa Rossii. Proekt Russkogo geograficheskogo obshchestva (The Volga—The Main Street of Russia), Moscow: RGO-MGO, IG RAN, 2012.
Geologiya SSSR (USSR Geology), vol. 11, Povolzh’e i Prikam’e (Volga and Kama Regions), Ch. 1, Geologicheskoe opisanie (Geological Description), Moscow: Nedra, 1967.
Gordeev, V.V., Rechnoi stok v okean i cherty ego geokhimii (River Runoff into the Ocean and Its Geochemical Features), Moscow: Nauka, 1983.
Denisova, A.I., Nakhshina, E.P., Novikov, B.I., and Ryabov, V.K., Donnye otlozheniya vodokhranilishch i ikh vliyanie na kachestvo vody (Bottom Deposits in Reservoirs and Their Effect on Water Quality), Kiev: Nauk. dumka, 1987.
Ershova, E.Yu., Venitsianov, E.V., Kocharyan, A.G., and Vul’fson, E.K., Heavy metals in the bed-load deposits of the Kuibyshev Reservoir, Water Resour., 1996, vol. 23, no. 1, pp. 52–58.
Zagryaznyayushchie veshchestva v vodakh Volzhsko-Kaspiiskogo basseina (Pollutants in Water of the Volga–Caspian Basin), Astrakhan: Izdatel’ Sorokin Roman Vasil’evich, 2017.
Zakonnov, V.V., Silt accumulation in the reservoir system of the Volga cascade , Tr. Inst. Biol. Vnutr. Vod, Ross. Akad. Nauk, 2016, vol. 75, no. 78, pp. 30–40.
Zakonnov, V.V., Sedimentation in Volga cascade Reservoirs, Extended Abstract of Doct. Sci. (Geogr.) Dissertation, Moscow: Inst. Inland Water Biol., Russian Academy of Sciences, 2007, p. 40.
Zakonnov, V.V., Ivanov, D.V., Zakonnova, A.V., Kochetkova, M.Yu., Malanin, V.P., and Khaidarov, A.A., Spatial and temporal transformations of bottom sediments in the Middle Volga Reservoirs, Water Resour., 2007, vol. 34, no. 5, pp. 540–548.
Zakonnov, V.V., Poddubnyi, S.A., Zakonnova, A.V., and Kas’yanova, V.V., Sedimentation in variable-backwater zones of Volga cascade Reservoirs, Water Resour., 2010, vol. 37, no. 4, pp. 462–470.
Interpretatsiya geokhimicheskikh dannykh (Interpretation of Geochemical Data), Sklyarov, E.V., Ed., Moscow: Intermet Inzhiniring, 2001, vol. 1.
Karnaukhova, G.A., Lithological–geochemical differentiation of bottom deposits in the Angara Cascade reservoirs, Geochem. Int., 2007, no. 4, pp. 390–398.
Karnaukhova, G.A., Belt zoning of sedimentation in the Angara Cascade Reservoirs, Geochem. Int., 2011, no. 6, pp. 605–617.
Kasimov, N.S., Ekogeokhimiya landshaftov (Landscape Ecogeochemistry), Moscow: IP Filimonov M.V., 2013.
Lipatnikova, O.A., Grichuk, D.V., Grigor’eva, I.L., Khasanova, A.I., Shestakova, T.V., Bychkov, A.Yu., Il’ina, S.M., and Pukhov, V.V., Microelement occurrence forms in bottom sediments of the Ivankovo Reservoir, Geoekol. Inzh. Geol., Gidrogeol., Geokriol., 2014, no. 1, pp. 37–48.
Lychagin, M.Yu., Kasimov, N.S., Kur’yakova, A.N., and Kroonenberg, S.B., Geokhimicheskie osobennosti akval’nykh landshaftov del’ty Volgi, Izv. Akad. Nauk, Ser. Geogr., 2011, no. 1, pp. 100–113.
Maslov, A.V., Osadochnye porody: metody izucheniya i interpretatsii poluchennykh dannykh (Sedimentary Rocks: Methods of Studies and Interpretation of the Obtained Data), Yekaterinburg: Izd. Ur. Gos. Gorn. Univ., 2005.
Maslov, A.V., Kozina, N.V., Shevchenko, V.P., Klyuvitkin, A.A., Sapozhnikov, Ph.V., and Zavialov, P.O., REE systematics in modern bottom sediments of the Caspian Sea river deltas worldwide: experience of comparison, Dokl. Earth Sci., 2017, vol. 475, part 1, pp. 797–802.
Maslov, A.V., Kuznetsov, A.B., Politova, N.V., Shevchenko, V.P., Kozina, N.V., Novigatskii, A.N., Kravchishina, M.D., and Alekseeva, T.N., Distribution of trace and rare-earth elements, and Nd, Pb, and Sr isotopes in the surface sediments of the Barents Sea, Geochem. Int., 2020, vol. 65, no. 6, pp. 687–703.
Maslov, A.V., Mel’nichuk, O.Yu., Titov, Yu.V., and Chervyakovskaya, M.V., Reconstruction of rock chemistry of feeding provinces, St. 2. Litho- and isotope–geochemical approaches and metods, Litosfera, 2020, vol. 20, no. 1, pp. 40–62.
Maslov, A.V., Shevchenko, V.P., Podkovyrov, V.N., Ronkin, Yu.L., Lepikhina, O.P., Novigatskii, A.N., Filippov, A.S., and Shevchenko, N.V., Specific features of the distribution of trace and rare earth elements in recent bottom sediments in the lower course of the Severnaya Dvina river and the White Sea, Lithol. Miner. Resour., 2014, no. 6, pp. 433–460.
Nemirovskaya, I.A., What is happening with the Volga?, Priroda (Moscow, Russ. Fed.), 2018, no. 2, pp. 45–53.
Nemirovskaya, I.A. and Ostrovskaya, E.V., Monitoring organic compounds in Volga basin, PEMME, 2018, vol. XXIX, no. 4, pp. 65–85.
Orientirovochno dopustimye kontsentratsii (ODK) khimicheskikh veshchestv v pochve. Gigienicheskie normativy GN 2.1.7.2511-09 (Tentatively Admissible Concentrations (TAC) of Chemicals in Soil), Moscow: FTsGiE Rospotrebnadzora, 2009.
Tikhomirov, O.A. and Markov, M.V., Accumulation of heavy metals in bottom sediments of aqual complexes in a reservoir with seasonal flow regulation, Uch. Zap. Kaz. Gos. Univ., 2009, vol. 151, book 3, Natural Sciences, pp. 143–152.
Tkachenko, A.N., Geochemistry of aqual landscapes in Volga mouth area, Extended Abstract of Cand. Sci. (Geogr.) Dissertation, Moscow: Moscow State University, 2011, p. 24.
Tolkachev, G.Yu., Korzhenevskii, B.I., Kolo-miitsev, N.V., and Il’ina, T.A., Long-term and annual migration of heavy metals in the bottom zone of Upper Volga reservoirs, Melior. Vodn. Khoz. (Moscow, Russ. Fed.) 2018, no. 3, pp. 8–14.
Tomilina, I.I., Gapeeva, M.V., and Lozhkina, R.A., Assessing the quality of water and bottom sediments in Volga cascade of reservoirs by characteristics of toxicity and water chemistry, Tr. Inst. Biol. Vnutr. Vod RAN, 2018, no. 81(84), pp. 107–131.
Kholodov, V.N. and Nedumov, R.I., Geochemical criteria of the formation of hydrogen-sulfide pollution in water of ancient water bodies, Izv. Akad. Nauk SSSR, Ser. Geol., 1991, no. 12, pp. 74–82.
Kholodov, V.N. and Paul’, R.K., Facies and genesis of Karatau phosphorites: Communication 1. The Vendian–Cambrian Paleobasin and morphometry of phosphate pellets, Lithol. Miner. Resour., 1999, no. 4, pp. 305–321.
Chashchin, V.V., Bayanova, T.B., Savchenko, E.E., Kiseleva, D.V., and Serov, P.A., Petrogenesis and age of rocks in the lower platinum-bearing zone of Monchetundrovskii basic massif, Kola Peninsula, Petrologiya, 2020, vol. 28, no. 2, pp. 150–183.
Ekologicheski bezopasnoe, ustoichivoe razvitie basseina Volgi. Aspekty mezhdunarodnogo nauchnogo sotrudnichestva (Environmentally Safe Sustainable Development of the Volga Basin: Aspects of International Cooperation), Nizhny Novgorod: NNGASU, 2008.
Brennecka, G.A., Herrmann, A.D., Algeo, T.J., and Anbar, A.D., Rapid expansion of oceanic anoxia immediately before the end-Permian mass extinction, Proc. Nat. Acad. Sci. U.S.A., 2011, vol. 108, pp. 17631–17634.
Jones, B. and Manning, D.A., Comparison of geochemical indices used for the interpretation of palaeoredox conditions in ancient mudstones, Chem. Geol., 1994, vol. 111, pp. 111–129.
Lychagin, M.Yu., Tkachenko, A.N., Kasimov, N.S., and Kroonenberg, S.B., Heavy metals in the water, plants, and bottom sediments of the Volga River mouth area, J. Coastal Res., 2015, vol. 31, pp. 859–868.
McManus, J., Berelson, W., Severmann, S., Poulson, R., Hammond, D., Klinkhammer, G., and Holm, C., Molybdenum and uranium geochemistry in continental margin sediments: paleoproxy potential, Geochim. Cosmochim. Acta, 2006, vol. 70, pp. 4643–4662.
Morford, J.L. and Emerson, S., The geochemistry of redox sensitive trace metals in sediments, Geochim. Cosmochim. Acta, 1999, vol. 63, pp. 1735–1750.
Ottenstein, R., Investigation of the Volga river sediments composition. Inorganic pollutants of potential concern, Inagural-Dissertation zur Erlangung der doktorwurde, Heidelberg: Ruprecht-Karls-Univ, 2005, p. 308.
Rudnick, R.L. and Gao, S., Composition of the continental crust, Treatise Geochem., 2003, vol. 3, pp. 1–64.
Taylor, S.R. and McLennan, S.M., The Continental Crust: Its Composition and Evolution, Oxford: Blackwell, 1985.
Zhang, F., Zhu, X., Yan, B., Kendall, B., Peng, X., Li, J., Algeo, T.J., and Romaniello, S., Oxygenation of a Cryogenian ocean (Nanhua Basin, South China) revealed by pyrite Fe isotope compositions, Earth Planet. Sci. Lett., 2015, vol. 429, pp. 11–19.
ACKNOWLEDGMENTS
The authors are grateful to the crew of the R/V Akademik Topchiev and V.V. Zakonnov for their help in sampling. Illustrations to the article were made by V.A. Chernov and N.S. Glushkova.
Funding
The sampling and the pretreatment of the samples were supported by the Russian Science Foundation, project no. 14-27-00114; the interpretation of the results was carried out under Governmental Order to the Institute of Oceanology, Russian Academy of Sciences (subject 0128-2021-0016) and the Geological Institute, Russian Academy of Sciences.
Author information
Authors and Affiliations
Corresponding author
Additional information
Translated by G. Krichevets
Rights and permissions
About this article
Cite this article
Maslov, A.V., Nemirovskaya, I.A. & Shevchenko, V.P. Distribution of Heavy Metals in Gray Silts in the Volga Cascade of Reservoirs. Water Resour 48, 977–990 (2021). https://doi.org/10.1134/S0097807821060117
Received:
Revised:
Accepted:
Published:
Issue Date:
DOI: https://doi.org/10.1134/S0097807821060117
