Abstract
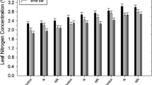
Both uptake of fertiliser N and remobilisation of stored N were quantified for the early growth of spur and shoot leaves, flowers and fruit development of pear trees. One-year old Abbé F. trees grafted on quince C rootstocks were fertilised with a generous N supply for one year and while dormant during the winter, transferred to sand cultures. Each tree received 3 g of labelled nitrate-N at the end of winter and in early spring. Leaves, flowers and fruit were sampled on 5 separate occasions and the recovery of labelled N used to distinguish the remobilisation of N and the root uptake of nitrate. Remobilisation of stored N accounted for most of the N present in leaves and flowers during blossoming. Remobilisation of nitrogen stopped between petal fall and the beginning of fruit development. Root uptake of nitrate linearly increased over time and at the last sampling, 55 days after bud burst, fertiliser N contributed approximately half of the total N recovered in both spur and shoot leaves, the remainder coming from remobilisation. Flowers and fruits based their N metabolism more on remobilisation as compared to the leaves. This pattern of internal cycling of N is discussed in relation to fertilisation strategies for pear trees.
Similar content being viewed by others
Explore related subjects
Discover the latest articles and news from researchers in related subjects, suggested using machine learning.References
Bhat K K S 1983 Nutrient inflows into apple roots. Plant Soil 71, 371–380.
Clarkson D T and Warner A J 1979 Relationship between root temperature and the transport of ammonium and nitrate ions by italian and perennial ryegrass (Lolium multiflorum and Lolium perenne). Plant Physiol. 64, 557–561.
Corelli Grappadelli L, Lakso A N and Flore J A 1994 Early season patterns of carbohydrate partitioning in exposed and shaded apple branches. J. Am. Soc. Hort. Sci. 119, 596–603.
Faust M 1989 Physiology of Temperate Zone Fruit Trees. John Wiley and Sons, Inc., New York. pp 72–82.
Ferree D C and Palmer J W 1982 Effect of spur defoliation and ringing during bloom on fruiting, fruit mineral level and net photosynthesis of Golden Delicious apple. J. Am. Soc. Hort. Sci. 107, 1182–1186.
Harley C P, Regeimbal L O and Moon H H 1958 The role of nitrogen reserves in new growth of apple and the transport of 32P from roots to leaves during early spring growth. Proc. Am. Soc. Hort. Sci. 72, 57–63.
International Atomic Energy Agency 1983 A guide to use of nitrogen-15 and radioisotopes in studies of plant nutrition: calculations and interpretation of data. IAEA, Vienna.
Lakso A N 1994 Apple. In Handbook of Environmental Physiology of Fruit Crops. Vol. I: Temperate Crops. Eds. B Schaffer and P C Andersen. pp 4–32. CRC Press, Inc., Boca Raton, FL.
Millard P 1994 Measurement of the remobilization of nitrogen for spring leaf growth of trees under field conditions. Tree Physiol. 14, 1049–1054.
Millard P 1996 Ecophysiology of the internal cycling of nitrogen for tree growth. J. Plant Nutr. Soil Sci. 159, 1–10.
Millard P and Neilsen G H 1989 The influence of nitrogen supply on the uptake and remobilization of stored N for the seasonal growth of apple trees. Ann. Bot. 63, 301–309.
Miller H G 1984 Dynamics of nutrient cycling in plantation ecosystem. In Nutrition of Plantation Forests. Eds. G D Bowen and E K S Nambiar. pp 53–78. Academic Press, London.
Miller H G 1986 Carbon nutrient ×nutrient interactions-the limitation to productivity. Tree Physiol. 2, 373–385.
Muñoz N, Guerri J, Legaz F and Primo-Millo E 1993 Seasonal uptake of 15N-nitrate and distribution of absorbed nitrogen in peach trees. Plant Soil 150, 263–269.
Neilsen D, Hogue E J, Herbert L C, P and Neilsen G H 1995 Use of rapid techniques for estimating the N status of fertigated apple trees. Acta Hortic. 383, 211–218.
Neilsen D, Millard P, Neilsen G H and Hogue E J 1997 Sources of N for leaf growth in a fertigated, high-density apple (Malus domestica Borkh.) orchard. Tree Physiol. (In press).
Sanchez E E, Righetti T L, Sugar D and Lombard P B 1990 Seasonal differences, soil texture and uptake of newly absorbed nitrogen in field-grown pear trees. J. Hort. Sci. 65, 395–400.
Sanchez E E, Righetti T L Sugar D and Lombard P B 1991 Recycling of nitrogen in field-grown 'Comice' pears. J. Hort. Sci. 66, 479– 486.
Sanchez E E, Khemira H, Sugar D and Righetti T L 1995 Nitrogen management in orchards. In Nitrogen Fertilization in the Environment. Ed. P E Bacon. pp 327–380. Marcel Dekker, Inc, New York.
Sansavini S and Musacchi S 1994 Canopy architecture, training and pruning in the modern european pear orchards: an overview. Acta Hortic. 367, 152–161.
Toselli M 1995 Effetti di stress radicali sull'utilizzo di azoto da parte del melo. Ph.D. Thesis. Dipartimento di Colture Arboree, Universitàdi Bologna, Bologna.
Tromp J and Ovaa J C 1973 Spring mobilization of protein nitrogen in apple bark. Physiol. Plant. 29, 1–5.
Weinbaum S A, Klein I, Broadbent F E, Micke W C and Muraoka T T 1978 Effects of time of nitrogen application and soil texture on the availability of isotopically labelled fertiliser nitrogen to reproductive and vegetative tissue of mature almond trees. J. Am. Soc. Hort. Sci. 109, 339–343.
Author information
Authors and Affiliations
Rights and permissions
About this article
Cite this article
Tagliavini, M., Quartieri, M. & Millard, P. Remobilised nitrogen and root uptake of nitrate for spring leaf growth, flowers and developing fruits of pear (Pyrus communis L.) trees. Plant and Soil 195, 137–142 (1997). https://doi.org/10.1023/A:1004207918453
Issue Date:
DOI: https://doi.org/10.1023/A:1004207918453


