Abstract
Agro-industrial wastes have emerged as a significant source of bioactive compounds. Therefore, this study was conducted to evaluate the feasibility of using nano-powders of some fruit wastes, namely; apricot (Prunus sp.) and peach (Prunus persica L. Batsch) kernels, watermelon (Citrullus lanatus) rind and banana (Musa spp.) peel as functional ingredients (0.5%) in stirred yoghurt, as well as their effect on the antioxidant activity, quality characteristics, viability of yoghurt starter culture and sensory attributes. Results revealed that the fortification process significantly (P < 0.05) elevated the total solids, fat, protein and ash contents, especially with apricot and peach kernels (AK and PK), which distinctly increased fat by average values of 3.46 and 3.40%, and protein by 3.70 and 3.68% during storage compared to control (3.12 and 3.57%), respectively. The addition of watermelon rind (WMR) increased the titratable acidity (0.97%) and viscosity (463.59 cP) with a significant reduction of syneresis (16.38%), increased the total viable count of starter culture, acetaldehyde and diacetyl contents (167.10 and 18.82 mg/100 g) in yoghurt, followed by banana peel (BP). Stirred yoghurt fortified with BP nano-powder had the highest total phenolic content (20.96 mg gallic acid/g) and DPPH scavenging activity (31.93%) as average values during storage compared to the other nano-fruit wastes. Sensory attributes of stirred yoghurt were improved with the addition of WMR and BP during storage periods, compared to those fortified with AK and PK. All the nano-powders of the studied fruit wastes constitute excellent raw materials for the development of novel functional stirred yoghurt.
Similar content being viewed by others
Explore related subjects
Discover the latest articles and news from researchers in related subjects, suggested using machine learning.Avoid common mistakes on your manuscript.
1 Introduction
Yoghurt is one of the most consumed fermented dairy products in Egypt and worldwide. By 2031, the global yoghurt market is expected to have grown from its estimated 182.56 billion dollars in 2023 to 212.08 billion dollars [1]. It is well known that yoghurt is characterized by its nutritional and health value [2, 3].
According to the latest data in 2023 from Food and Agriculture Organization (FAO) of the United Nations, food wastes account 1.03 billion tons globally each year, and 30% of the fruits and vegetables produced are wasted during the different stages of food supply chain that estimate as 55 million dollars annually [4]. Fruit waste's peels, pomace, rind, and seed fractions are a good source of bioactive components i.e. phenolics, pectin, lipids, and dietary fibers [5, 6]. These bioactive components have a range of physiological characteristics and health benefits [7].
Nowadays, and due to the hazardous greenhouse gas emissions and microbial growth caused by the disposal of these wastes, the recent studies focused on the use of fruit wastes as sources of important functional ingredients to produce valuable products or animal feed in order to achieve different sustainable development goals [8]. Fruit and vegetable wastes-derived materials are considered green, sustainable and toxin-free with lower side effects than chemical synthetics, making their incorporation is crucial in foodstuffs [9].
Several studies highlighted the value added of banana peel (BP) as a treasure for human health due to its nutritional value, physiological effects and bioactive components [10, 11]. In addition, BP can be successfully utilized as prebiotic to enhance the growth of lactic acid bacteria (Lactobacillus rhamnosus, L. casei and Bifidobacterium lactis) in fermented dairy products as well as to improve texture through its high content of natural fiber acting as thickening agent [12].
Also, among the fruit wastes of interest, watermelon rind (WMR) which possesses a number of physicochemical properties such as high-water absorption and holding capacities, therefore it can be utilized as a thickener for various food preparations e.g., bread, biscuits and cakes. Also, it showed biological activities and potential therapeutic effects through the secondary metabolites of its main components including citrulline, cucurbitacin and phenolic compounds [13, 14].
Furthermore, apricot kernel (AK) is considered as a functional ingredient in the food sector due to its valuable amount of nutritional protein, dietary fiber, tocopherols and a variety of bioactive components with health-promoting properties [15]. Also, it is characterized by its high fat content, antioxidant and antimicrobial properties [16]. Although AK could be applied in some industrial applications e.g., production of polymers, biofuel and activated carbon, it still needs a significant interest in development of novel functional dairy foods as a promising sustainable resource [17].
In the same context, peach kernel (PK) is a rich source of multifunctional components including fiber, carbohydrates, bioactive peptides, phenolic compounds (phenolic acids and catechin) and minerals. Also, the extracted oil of both of AK and PK is a significant source of essential fatty acids and phytosterols which have cholesterol-lowering properties [18]. Furthermore, amygdalin (cyanogenic glycoside) presents in both of them which is widely known as a cytotoxic compound against various cancer cell lines [19].
Understanding and manipulating matter at sizes between 1 and 100 nm is known as nanotechnology. It has been applied in a variety of industries, including pharmaceuticals, agriculture, textiles, electronics, and food [20, 21]. In dairy desserts and ice cream, nanotechnology can be utilized to enhance the textural, rheological, microstructural, antimicrobial, sensory, quality and safety properties by addition of nanoemulsions, nanoliposomes, nano-stabilizers, nano-encapsulated nutrients or extracts and nanofibrils in their formulations [22].
In recent studies, the physicochemical and sensory properties of ice cream and cheese could be enhanced by using fruit juices or fruit processing wastes [23, 24]. Also, Rahman et al. [25] suggested the addition of lemon peel powder with 0.5% for development of set yoghurt with better microbiological, textural and organoleptic qualities.
Despite the nutritional value of yoghurt, it is not thought to be a good source of bioactive components like fibers and phenolic compounds. Therefore, this work aimed to evaluate the quality characteristics, antioxidant properties, the growth of starter culture and sensory attributes of stirred yoghurt under cold storage conditions as affected by fortification with AK, PK, WMR and BP powders in a nano-form as novel additives which have not been extensively studied yet in the development of dairy products.
2 Materials and methods
2.1 Materials
Debittered apricot (Prunus sp.) kernel powder was purchased from Hebei Seven Fruit Trade Co., Ltd, China. According to the manufacturer, the powder was obtained using spray drying technology of the peeled apricot kernels. Pure peeled peach (Prunus persica L. Batsch) kernel powder (Tao Ren powder) was purchased from Mountain Herbs Co., China. According to the manufacturer, the powder was obtained from continuous naturally sun drying at temperature ranged from 15 – 38 ºC for 7 days then milled using Dade DF60 grinding machine.
Watermelon (Citrullus lanatus) was purchased from the local market (Giza, Egypt). After washing the fresh fruit peels and removing the flesh and the peel, the rind was separated, cut into small pieces, sliced by high power slicer (Robot-Coupe, Model CL 50, France) and rinsed with tap water then dried at 50 ºC for 24 h using hot air oven (DRTH, Dreieich, Germany). The resultant dried rinds were grounded in laboratory mill (Kenwood BL480, China) to fine powder followed by sieving through 50 mesh screens as described by Al-Sayed and Ahmed [26].
Banana (Musa spp.) was purchased from the local market (Giza, Egypt). Peels were removed from the fruit, washed with tap water, soaked in 5% acetic acid for 10 min to minimize the enzymatic browning [27], and dried after drainage of the soaking solution using microwave oven (Sharp, model R-750MR) at power 960 W for 6 min with pleating the peels every 30 s to prevent their burning through drying as recommended by Vu et al. [28]. The dried peels were grinded and sifted as mentioned above.
All the above obtained materials were regrinded to increase the solubility and efficiency using a ball milling apparatus (ph-BML911model, Photon Scientific Company, Egypt) by exposure of the powder for high-energy collision from the balls with size 5 mm, placing in 50 mL stainless-steel cup for 5 h daily for 9 days with a constant speed of 500 rpm at 25 °C and ratio of balls weight to powder (20:1). The ball milling apparatus was equipped with an air-cooling system to balance the over-heating generated from it. The particle size of the resultant powders ranged from 13.75 to 32.09 nm [6].
Standardized fresh buffalo milk (3% fat) was obtained from the dairy technology unit, Faculty of Agriculture, Cairo University. Direct vat inoculation (DVI) commercial yoghurt starter culture YC-X11 (Lactobacillus delbrueckii subsp. bulgaricus and Streptococcus thermophiles) was purchased from Chr. Hansen laboratories (Hoersholm, Denmark). Lacta 534 (stabilizer and emulsifier) was kindly obtained from Mifad Co. (Egypt) while sugar was purchased from the local market (Giza, Egypt).
2.2 Chemicals and reagents
2,2-diphenyl-1-picrylhydrazyl (DPPH) was purchased from Sigma-Aldrich Co. (St. Louis, MO, USA). Folin-Ciocalteu′s reagent was purchased from Loba Chemie PVT. LTD. (India). Semicarbazide hydrochloride (assay 99%) was obtained from Winlab Ltd. (England). Acetaldehyde and diacetyl (assay 99%) were purchased from ThermoFisher Scientific Inc. (Egypt). de Man–Rogosa–Sharpe (MRS) agar and M17 agar were obtained from Biolife Italiana (Milano, Italy). MacConkey agar was purchased from HiMedia Laboratories PVT. LTD. (India). All laboratory chemicals and solvents used were of analytical grade.
2.3 Manufacture of stirred yoghurt
Before manufacture of the stirred yoghurt, a preliminary study was conducted to choose the suitable concentration of the used nano-waste powders. Stirred yoghurt was manufactured using different concentrations of each nano powder (0.5, 0.75, and 1%), and sensory evaluated. The panelists favored and recommended 0.5% level for fortification of the product.
Standardized buffalo milk (3% fat) was heated to 60 ºC, and then 0.5% of mixture of stabilizer & emulsifier (Lacta 534), and 8% sugar were added to the milk and good mixed. Each nano powder (0.5%) was added to the milk and good mixed. The milk was heat treated at 90 ºC/5 min., cooled to 42 ºC, inoculated with 1% yoghurt starter culture and incubated at 42 ºC for 2–2.5 h. until coagulation (pH 4.5- 4.6). The resultant yoghurt was cooled to 4 ºC, and then stirred using a blender (Kenwood BL480, China) to obtain homogeneous body and texture. The resultant stirred yoghurt was poured in 50 mL sterilized plastic cups, cooled to 4 ºC ± 1 and kept cold for 21 days.
2.4 Methods of analysis
2.4.1 Proximate chemical composition and physicochemical properties of fortified stirred yoghurt
All stirred yoghurt samples were analyzed for the total solids, fat, protein, ash contents and titratable acidity according to AOAC [29]. pH values of all samples were determined using pH meter (Jenway 3520, UK).
Apparent viscosity of stirred yoghurt samples in centipoise (cP) was determined using a concentric cylinder Brookfield Programmable Viscometer (Model DV –II; Brookfield Engineering Laboratories, Middleboro, MA, USA) with a spindle No. 5 at speed of 10 rpm. The samples were allowed to temper at 25 ºC for 10 min prior to measurement.
2.4.2 Syneresis of yoghurt
The released whey from yoghurt samples (30 g for each) was measured by drainage the whey in 100 mL glass flask with a funnel lined with a Whatman filter paper No.1 at 4 ºC for 2 h. The separated whey was weighed. The syneresis index was calculated according to Yildiz and Ozcan [30]:
W1 = the weight of separated whey; W2 = the weight of yoghurt sample.
2.4.3 Determination of total phenolic content and antioxidant activity of stirred yoghurt
5 g of each yoghurt sample was mixed with 100 mL of 70% methanol (1:20), shaken at room temperature for 2 h., and the obtained extract was filtered using Whatman filter paper No.1 [31]. For determination of total phenolic content, 1 mL of each extract was added to 5 mL of Foiln-Ciocalteu reagent (diluted with distilled water by 1:10 v/v) and 4 mL of sodium carbonate (7.5% w/v). The mixture was vortexed for 15 s and incubated for 30 min at 40 ºC. The absorbance was measured at 765 nm using visible spectrophotometer (Jenway 6300, UK). Standard curve of gallic acid was prepared with concentrations ranged between 20–200 µg/mL. The total phenolic content was expressed as mg gallic acid/g of sample [31]. The calibration equation of gallic acid concentration of sample was Y = 0.001X + 0.0563 (R2 = 0.9792), Where (Y) is the absorbance reading and (X) is the concentration of gallic acid (µg/mL).
The antioxidant activity of yoghurt samples was determined using DPPH assay according to Aboul-Enein et al. [32]. DPPH was dissolved in absolute methanol (4 mg/100 mL) to form a final DPPH concentration of 0.1 mM. An aliquot of 2.8 mL of DPPH solution was added to 200 μl of each previously obtained extract. The mixture was left to stand for 30 min in dark at room temperature. Then after, the absorbance was measured at 515 nm using pure methanol as a blank.
The capacity to scavenge the DPPH radical was calculated using the following equation:
where: Ac is the absorbance of the control (reagent without the extracts) and As is the absorbance of the extracts samples.
2.4.4 Determination of acetaldehyde and diacetyl content
Acetaldehyde and diacetyl content of stirred yoghurt samples was determined colorimetrically using UV–visible spectrophotometer (Unico UV-2000, USA) according to Abd El‐Salam et al. [33], and expressed as mg/100 g. The absorbance of the solution was measured at 224 nm for acetaldehyde and 270 nm for diacetyl.
2.4.5 Determination of color measurements
Color of yoghurt samples was measured according to Balthazar et al. [34] using a portable chroma meter (Model CR-410, Konica Minolta, Japan). The measurements were recorded at 10 °C as L* (Lightness), a* (Redness), and b* (Yellowness). Chroma (C*) and hue value (H0) were calculated through the readings of redness and yellowness as follows: C* = (a*2 + b*2)1/2 and H0 = tan−1(b* / a*). Colors ranging from red ( +) to green ( −) are represented by the a* value, yellow ( +) to blue ( −) by the b* value, and lightness from black (0) to white (100) by the L* value.
2.4.6 Organic acids profile of yoghurt samples
The organic acid profiles of yoghurt samples either fresh or at the end of storage period were determined. The analysis was carried out using HPLC 1260 series (Agilent Technologies). The separation was carried out using synergi™ 4 µm Hydro-RP 80 Å column (4.6 mm × 250 mm). The mobile phase consisted of 20 mM potassium phosphate, pH 2.9 and the flow rate was 0.7 mL/min. The diode array detector (DAD) was monitored at 220 nm. The injection volume was 5 μl for each of the sample solutions. The column temperature was maintained at 22 °C.
2.4.7 Microbiological analysis
Total viable counts of Lactobacillus delbrueckii subsp. bulgaricus and Streptococcus thermophilus (starter culture) in stirred yoghurt samples were enumerated by pour plate method using MRS agar and M17 agar media, and the plates were incubated at 42 °C for 48 h., and 37 °C for 48 h., respectively [35]. Molds and yeasts count was determined using malt extract agar medium (MEA). MacConkey agar medium was applied for detecting the coliform bacteria. Plates of MEA and MacConkey were incubated at 25 °C for 5 days and 37 °C for 24 h., respectively. The microbial counts were expressed as log CFU/g.
2.4.8 Sensory evaluation
All stirred yoghurt samples were sensory evaluated as fresh and during storage periods by ten well-trained panelists of staff members of Dairy Science Department, Faculty of Agriculture, Cairo University for the following parameters: [flavor = 60 points, body and texture = 30 points, appearance and color = 10 points, overall acceptability = 100 points] according to Hamed et al. [35] and Institute of Food Science and Technology (IFST) guidelines [36].
2.4.9 Statistical analysis
The statistical analysis of the obtained data (three replications) was carried out using a randomized complete block design with two factors. The treatments means were compared by least significant difference (L.S.D.) test as given by Snedecor and Cochran [37] using Assistat 7.6 beta program (Personal PC developer) [38].
3 Results and discussion
3.1 Chemical composition of the fortified stirred yoghurt
Data in Table 1 show the chemical composition of stirred yoghurt fortified with nano-wastes. The total solids (TS) of fresh yoghurt ranged from 20.45% to 21.07% with non-significant differences between control samples and AK, PK and WMR-yoghurts, while in case of BP a significant difference was observed. At the end of cold storage, TS increased in all treatments with non-significant difference. This trend is in accordance with Pagthinathan et al. [39] who reported that the total solids content of yoghurt increased during storage period and this could be attributed to loss of moisture. Fortification of yoghurt with AK, PK and WMR increased the fat, protein and ash contents significantly (p < 0.05) compared to control yoghurt with values reached 3.38, 3.30 and 3.25% for fat percent, while were 3.67, 3.65 and 3.59% for protein content, 0.79, 0.76 and 0.84% for ash content in the fresh samples, where as the control values were 3.03, 3.54 and 0.73% for fat, protein and ash percents, respectively.
All these parameters significantly (p < 0.05) increased at the end of storage. Also, non-significant differences were observed between control and BP-yoghurts for fat and protein content while there were significant differences in case of ash contents. These results are matched with Elkot et al. [40] and Sorour et al. [41] who reported that whole AK and PK flours are rich source of protein, fat and carbohydrates. Taha et al. [6] also showed that AK, PK, WMR and BP nano-powders contain about 51.79, 45.19, 2.92 and 7.41% fat, 22.70, 23.00, 11.80 and 8.60% protein, 1.72, 1.60, 15.25 and 12.93% ash, in addition to their high content of dietary fibers, respectively. This promotes their incorporation in the food formulas for enhancing the nutritional profile of product.
3.2 Titratable acidity (%) and pH-value
As shown in Table 2, the titratable acidity of fresh stirred yoghurt samples is ranged from 0.64% to 0.73% with non-significant differences except PK and WMR samples. During cold storage, it increased in all samples to reach 0.91—1.01% after 14 days of storage. It is noticeable that stirred yoghurt containing WMR had the highest value followed by BP samples even after 21 days of storage with non-significant differences (1.26% vs. 1.20%). This may be due to it’s a prebiotic effect owing to their contents of oligosaccharides and fiber content. These results are in agreement with Zahid et al. [12] and Safdari et al. [42] who reported that BP had a prebiotic effect, improved the activity and growth of probiotic bacteria in yoghurt and increased the yoghurt acidity. Additionally, when probiotic bacteria become more active, more acidic metabolites are produced and as a result a decrease in the final pH of all samples was observed.
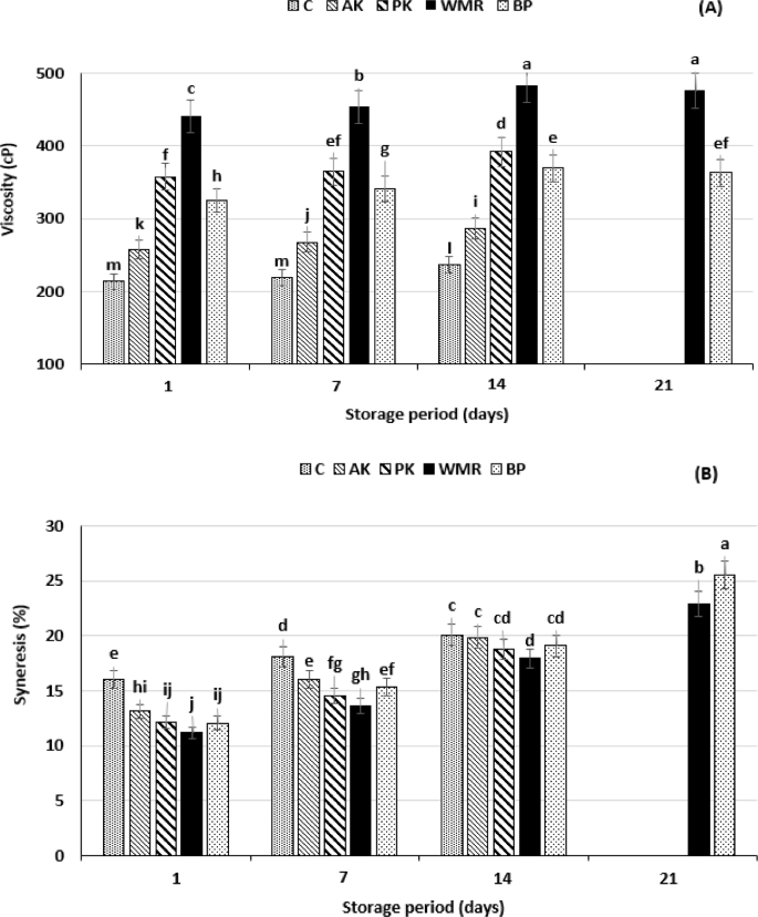
3.3 Apparent viscosity and syneresis
Data in Fig. (1 A) show the effect of fortification with nano-wastes on the viscosity of the stirred yoghurt. It is clear that all yoghurt treatments fortified with nano-wastes had significantly (P < 0.05) higher viscosity compared to control yoghurt either when fresh or during storage. It ranged from 213.6 to 440.6 cP in fresh yoghurt samples. Also, it is remarkable that WMR yoghurt had the highest viscosity value. After 14 days of storage, the viscosity ranged from 236.73 to 483.76 cP while after 21 days of storage, the viscosity decreased and reached 476.38 cP for WMR and 363.14 cP for BP yoghurt. The effect of the added nano-wastes on the yoghurt viscosity can be arranged discerningly as follows: WMR ˃ PK ˃ BP ˃ AK.
It is known that dietary fibers are positively associated with increasing of viscosity in the food materials as a result of their water holding capacity. Dietary fibers, particularly soluble fibers can be thickened when are mixed with fluids including polysaccharides such as pectins, gums, and β-glucans, which may affect viscosity measurement [43].
Due to the higher dietary fiber content of WMR, BP and PK nano-powders (52.80,48.40% and 47.6%), they had the highest values of stirred yoghurt samples viscosity [6]. The addition of AK slightly elevated the viscosity compared to the control samples that may be due to the lower dietary fiber content of AK nano-powder (36.45%).
Syneresis index (serum separation) is considered one of the most important defects of yoghurt that related to its structure (especially milk fat), texture (gel network strength) and consumer preference [25]. Control stirred yoghurt had the highest syneresis value either when fresh or during storage period (Fig. 1B). In fresh samples, syneresis index for control yoghurt was 15.98% with significant differences between control samples and all fortified samples in which the syneresis values were reduced. As the storage period increased, the syneresis values were significantly (p < 0.05) increased in all samples till the 7th day of storage while after 14 days of storage non-significant differences were noticed between all samples to reach 20.06% for control yoghurt, 17.91% for WMR samples and 18.80—19.84% for all the rest samples. After 21 days, there were notable increase of syneresis to reach 22.88% for WMR and 25.53% for BP yoghurt with significant differences.
It is worth to mention that WMR yoghurt had the lowest syneresis index compared to the other yoghurt treatments (Fig. 1B). This may be due to the increased pectin content of WMR which is in accordance with Petkowicz et al. [44] who reported that WMR contains 19—21% pectin which showed high viscosity in the aqueous solutions at 5% (w/w), and acted as thickening agent. The increment of syneresis index may be due to the developed of the titratable acidity caused by the nano additives. These findings are in accordance with Tariq et al. [45] who found the same trend in stirred yoghurt fortified with fresh and dried bananas. According to Abd El Moneem et al. [46], viscosity and syneresis index % showed a similar tendency for low-fat yoghurt fortified with pomegranate pomace powder.
3.4 Total phenolic content and antioxidant activity
Data in Fig. (2 A) show the total phenolic content (TPC) in the stirred yoghurt fortified with nano-wastes. It is clear that yoghurt samples containing BP followed by WMR had significantly (P < 0.05) higher phenolic content compared to the AK, PK -fortified samples either when fresh (28.27 ± 0.35 & 15.07 ± 0.53 mg gallic acid/g) or during cold storage periods. The fresh control stirred yoghurt had the lowest phenolic content being 2.31 ± 0.15 mg gallic acid/g, while AK and PK- fortified samples had significantly intermediate phenolic content being 5.07 ± 0.53 and 7.34 ± 0.12 mg gallic acid/g. As the cold storage progressed, the phenolic content significantly (p < 0.05) decreased to reach 1.68 ± 0.03, 3.71 ± 0.05, 4.69 ± 0.03, 8.26 ± 0.06 and 19.33 ± 0.05 (mg gallic acid/g) for control, AK, PK, WMR and lastly BP stirred yoghurt after 14 days of storage.
After 21 days of storage, the phenolic content in the fortified samples with WMR and BP decreased to reach 5.66 ± 0.61 and 13.18 ± 0.38 mg gallic acid/g. Similar results were found by Pourghorban et al. [47], who observed a decrease in TPC during storage of yoghurt supplemented with olive leaf and its extract (a rich source of polyphenols). This might be the result of the decomposition of polymeric phenolics in the presence of lactic acid bacteria during cold storage. Furthermore, the production of lactic acid during fermentation may cause degradation of unstable phenolic components at an acidic pH.
Results of DPPH assay (radical scavenging activity %) showed that the antioxidant activity values of the enriched samples were significantly higher than those of control samples (Fig. 2B) and behaved in a similar trend as total phenolic content. Its values ranged from 7.79 ± 0.43 to 36.49 ± 0.87% in the fresh samples. Also, BP followed by WMR had significantly higher antioxidant activity compared to the others stirred yoghurt samples either when fresh or during cold storage periods. During cold storage, the antioxidant activity values of control or all enriched products were declined till the end of storage which may be due to the degradation or oxidation of the phenolic compounds during storage time. It can be arranged in a descending order as follows: BP > WMR > PK > AK > control stirred yoghurt.
Kabir et al. [48] added BP extract with levels of 0,100, 200, 400, 600, 800, and 1,000 µl per 100 mL of yoghurt milk which elevated the total phenolic content and exhibited higher antioxidant activities against DPPH and ABTS+ radicals of the yoghurt with the increase of BP extract addition. El-Batawy et al. [49] supplemented yoghurt with 2% of both mango and pomegranate peels powders that increased the total phenolic content and antioxidant activity of product which remarkedly dropped during storage periods especially after 14 and 21 days. These results agree with our findings and promote the functionality of the tested wastes.
3.5 Acetaldehyde and diacetyl content
Acetaldehyde and diacetyl are considered the major flavor components produced during the fermentation process in the cultured dairy products and significantly affect its sensory properties [50]. As shown in Fig. 3A, B, all the tested nano-wastes elevated the growth rate of yoghurt culture that increased the concentration of resultant secondary metabolites in the fresh and stored samples. PK BP, and WMR-fortified fresh yoghurts had significantly higher content of both compounds (162.53 ± 3.02, 160.35 ± 2.00 and 157.73 ± 1.51) mg/100 g for acetaldehyde, and (14.14 ± 1.30, 12.48 ± 0.62 and 11.64 ± 0.95) mg/100 g for diacetyl compared to AK samples and control yoghurt (154.25 ± 2.26 & 152.07 ± 2.72) mg/100 g for acetaldehyde and (11.02 ± 0.72 & 10.61 ± 1.08) mg/100 g for diacetyl, respectively.
During cold storage, the content of both compounds increased in all samples until 14 days of storage then after, both components started to decrease. After 21 days of cold storage, the content of both acetaldehyde and diacetyl of WMR and BP-fortified samples were decreased with significant differences to reach 169.50 and 165.14 mg/100 g for acetaldehyde, and non-significant to reach 20.79 and 18.51 mg/100 g for diacetyl, which are in accordance with Hamed et al. [35]. These findings might be explained by the presence of the enzyme alcohol dehydrogenase (produced by yoghurt cultures) which reduces acetaldehyde to ethanol and diacetyl to 2, 3 butylene glycol [51] or oxidation of acetaldehyde to acetic acid [52].
3.6 Color parameters of stirred yoghurt
The quality and customer acceptability of food products including yoghurt are greatly influenced by their color. Data in Table 3 illustrate how fortification with nano fruit wastes affected the yoghurt samples' variations in color parameters (L*, a*, and b* values). It is clear that the lightness readings significantly (p < 0.05) decreased with the addition of the tested wastes in the fresh and stored samples compared to the control except for AK-fortified yoghurt which showed higher values than the control during storage periods. Yoghurts fortified with PK, WMR, and BP exhibited the lowest lightness scores which were 90.89, 86.08 and 80.06 in the fresh samples, while were 83.76, 84.44 and 78.36 in the stored samples, respectively. This was due to these samples have acquired an obvious different color than the control especially with the addition of WMR and BP which had a yellowish or brownish color (Fig. 4).
Moreover, redness values increased significantly (p < 0.05) in the fresh treated samples compared to the control except for AK-fortified yoghurt which showed lower values than the control during storage periods. However, redness slightly decreased during cold storage except for BP-fortified yoghurt as it increased from—0.36 to 0.27. AK and WMR-fortified yoghurts had the highest values in yellowness compared to the other treatments in the fresh samples (13.35 and 16.65). At the end of storage, the yellowness values significantly (p < 0.05) increased in all treatments as PK and WMR-fortified yoghurts had higher values than the other samples.
Chroma is a measure that expresses the purity and saturation of a color. As shown in Table 3, chroma values have the same trend as yellowness readings as AK and WMR-fortified yoghurts had the highest values compared to the other treatments in the fresh samples (14.02 and 16.74). Also, PK and WMR-fortified yoghurts had higher values than the other samples at the end of storage.
Hue value indicates the quantity of light reflected from the sample. AK, WMR and BP-fortified yoghurts had the lowest values in the fresh samples. With the addition of tested wastes, hue values significantly (p < 0.05) decreased especially in WMR and BP-fortified yoghurts. These findings show that the control, AK and PK-fortified yoghurts have a lighter color than WMR and BP-fortified yoghurts which have a darker color as confirmed from the lightness readings.
Our findings are in accordance with Zahid et al. [53] who used 2% of banana peel powder in manufacturing of functional and healthy yoghurt, which led to a significant decline in lightness and yellowness with increased redness could be due to the darker brown color of the banana peel. Also, Meegahawaththa et al. [54] added tomato peel powder with levels (2–8%) as a natural antioxidant and a colorant in stirred yoghurt. In the treated samples, yellowness and redness increased with an increment of added concentration, but lightness values significantly (p < 0.05) decreased compared to the control. Similarly, during the storage periods (21 days), lightness and redness values declined while yellowness increased in the treated samples, which agree with our obtained results.
3.7 Organic acids profile
Organic acids play a critical role in the safety, flavor, and quality of milk and dairy products. Yoghurt contains organic acids that come from three different sources: normal bovine biochemical metabolism (which produces citric, orotic, and uric acids), bacterial metabolism (which produces lactic, acetic, propionic, pyruvic, and formic acids), or fat hydrolysis (which produces butyric acid) [55].
Data in Table 4 show the organic acids profile of the yoghurt samples fortified with the tested wastes. Concerning oxalic acid, it was not detected in fresh control yoghurt (1 day of storage), while it was detected in all other treated yoghurts at very low concentration ranged from 0.02 to 0.04 mg/mL and disappeared at the end of storage in all treated yoghurts. As for formic acid, fresh control yoghurt contained 0.53 mg/mL followed by WMR and lastly BP-yoghurt being 0.49, 0.33 mg/mL, respectively while it was not detected in both of AK and PK yoghurts. At the end of storage, its content increased in all yoghurt samples to reach values of 1.54, 1.60, 1.29, 1.30 and 1.42 mg/mL for control, AK, PK, WMR and BP- yoghurts.
Lactic acid is the most significant organic acid in milk and dairy products. Also, it is the main predominant organic acid in yoghurt. It is produced during lactic acid fermentation by microorganisms. Also, it affects the quality characteristics and flavor development in dairy products [56]. As shown in Table 4, fresh control sample had the highest lactic acid value being 16.52 mg/mL followed by PK, WMR, BP and lastly AK yoghurts being 16.33, 15.37, 14.75 and 14.57 mg/mL. At the end of storage, its content decreased in all yoghurt samples to reach values of 12.50, 12.89, 14.02, 12.33 and 11.33 mg/mL for control, AK, PK, WMR and BP-yoghurts, respectively.
Acetic acid is formed as a secondary product during the metabolic activity of microorganisms using lactose, citrate, and amino acids [56]. Yoghurt and other fermented milk products get an unpleasant flavor and vinegary smell when excessive amounts of acetic acid are produced [56]. Therefore, during storage, fermented milk acceptability rapidly decreases. Despite this, it shows potent bactericidal effect on the harmful bacteria.
As seen in Table 4, acetic acid was not detected in fresh control and WMR-yoghurt while it was detected in AK, PK and BP-yoghurts in concentrations ranged from 0.15 to 0.28 mg/mL while at the end of storage, it disappeared in all yoghurt samples.
Citric acid is an organic acid that occurs naturally in plants, vegetables, fruits and juices. Additionally, it is also naturally present in fresh milk at an average of 0.2% [55]. As presented in Table 4, fresh BP and the control yoghurts exhibited the highest amounts of citric acid being 2.34 and 2.24 mg/mL followed by WMR, PK, and lastly AK yoghurts being 1.95, 1.83 and 1.79 mg/mL. At the end of storage, its concentrations declined in all yoghurt samples ranged from 1.47 to 1.55 mg/mL. This trend is in accordance with Kavaz and Bakirci [56] who found that the mean citric acid values of probiotic yoghurts decreased (P < 0.01) at the 14th day of storage.
Succinic acid is produced by certain Lactobacillus species. It is characterized by its acidic, bitter, and salty taste. It imparts an unpleasant flavor and smell to dairy products when it produced in excess [57]. Data in Table 4 indicate that however succinic acid was not detected in fresh control yoghurt, it was found in all fresh yoghurt treatments being the highest in BP-yoghurt (2.02 mg/mL), followed by WMR yoghurt (1.95), AK yoghurt (1.71) and lastly PK yoghurt (1.63 mg/mL). At the end of storage, succinic acid was detected in control yoghurt at concentration 1.41 mg/mL while its concentration was declined in all fortified yoghurts to reach values ranged from 1.40 to 1.74 mg/mL.
From the forgoing results, the reduction and variations in organic acids in yoghurt can be attributed to many factors i.e. changes in the organic acids profile during fermentation and storage which influenced by the metabolic activity of the added bacterial cultures. Additionally, the presence of lactose hydrolysis enzymes and supplementation with some additives. Lactic acid content may decrease due to changes in the carbohydrate profile. Furthermore, addition of high levels of sugar can hinder the growth of yoghurt bacteria and reduce the amount of produced organic acids [58].
3.8 Microbiological properties
As shown in Table 5, fortification of stirred yoghurt with the tested nano-wastes significantly (p < 0.05) enhanced the growth of starter culture compared to control samples. In fresh samples, the viable count of Lb. delbrueckii subsp. bulgaricus ranged from 7.58 ± 0.67 to 7.70 ± 1.05 log CFU/g and gradually increased in all samples to reach values ranging from 8.20 ± 0.63 to 8.35 ± 0.82 log CFU/g after 14 days of cold storage. It is worth to mention that BP and WMR showed a prebiotic effect on the starter culture with significant differences compared to the other treatments. At the end of storage period, the count of Lb. delbrueckii subsp. bulgaricus significantly (p < 0.05) reduced to reach 8.19 ± 0.95 log CFU/g for WMR samples and 8.24 ± 0.76 log CFU/g for BP samples.
The same trend was observed for the viable count of Streptococcus thermophilus. In fresh samples, its count ranged from 7.28 ± 1.00 to 7.45 ± 0.83 log CFU/g and reached 7.92 ± 0.92 & 8.29 ± 0.74 log CFU/g after 14 days of storage. After 21 days, its count declined to reach 8.04 ± 1.36 log CFU/g for WMR samples and 7.99 ± 0.89 log CFU/g for BP samples which indicates the prebiotic effect of BP and WMR. Similar results were reported by Hamed et al. [35] who noticed the same trend when yoghurt was fortified with peanut skin extract powder.
Concerning count of coliform bacteria, it was not detected in all the samples till the end of storage periods that indicates the presence of hygienic conditions in manufacturing and storage of stirred yoghurt. As for molds and yeasts, they were not detected in all samples till the 7th day of storage then after, they were detected till the end of storage period. After 14 days of storage, its counts ranged from 1.18 ± 0.16 (BP samples) to 1.74 ± 0.04 log CFU/g (control samples) with significant differences. This effect may be due to the anti-microbial effect of the used materials. These results are in line with Ibrahim et al. [59] who reported that the bio-stirred yoghurt supplemented with pomegranate peels was free of coliform which is related to the anti-microbial properties of these peels. Also, Aziz et al. [60] mentioned that the anti-microbial effect of pomegranate peel powder is attributed to its content of phenolic compounds.
3.9 Sensory evaluation
Data in Table 6 illustrate the organoleptic scores of fortified stirred yoghurt samples. Concerning the effect of the nano-wastes on the flavor of stirred yoghurt, it is clear that non-significant differences were observed between control and all fresh fortified yoghurts. BP-fortified samples had the highest scores (55.33), followed by WMR-fortified samples (53.33) without significant differences between both of them. During cold storage (4 ºC ± 1), flavor scores significantly (p < 0.05) decreased in all samples till the 14th day of storage. This effect was related to appearance of yeasty flavor. BP and WMR-fortified samples had higher flavor scores (49.00 and 48.67) than control, AK and PK-fortified samples (42.00, 43.67 and 43.00) after 14 days of storage.
On the 21st day of storage, control, AK and PK-fortified samples were unacceptable with noticeable yeasty flavor and presence of molds and yeasts in higher counts; therefore, they were rejected from all panelists. Also, high acidity was observed in WMR and BP-fortified samples but they were still acceptable without off-flavors. It is remarkable that when WMR and BP-fortified yoghurts were stored for 28 days, the product became sensory unacceptable with lower viscosity, higher acidity and observed yeasty flavor.
For body and texture, non-significant differences were noticed between all fresh yoghurt samples despite that WMR and BP-fortified samples gained highest scores (28.67 and 28.33). As storage period progressed, gradual and significant reduction in body and texture was observed with whey separation in control and AK-fortified samples on the 14th day of storage. WMR-fortified samples had the highest score of texture (25.67) followed by BP-treated samples (24.33) compared to the other treatments due to the higher content of dietary fibers and total carbohydrates of both WMR and BP with gelling and water-holding properties [6]. On the 28th day, the body & texture attributes and viscosity were obviously regressed in the latter samples may be due to the high acidity, initiation hydrolysis of protein and increasing of serum separation, and therefore the samples became unacceptable.
Non-significant differences were noticed between all fresh and stored yoghurt samples for their appearance and color despite that WMR and BP-fortified samples had slightly yellowish and brownish color. WMR and BP-fortified yoghurts had the highest values of appearance and color during storage periods, which reached 8.67 and 8.33 compared to the control (7.33) on the 14th day of storage. Based on the previous observations, WMR, BP and PK-treated samples had the highest scores of overall acceptability which reached 95.67, 94.00 and 93.67 in the first day of storage, respectively. During storage period, the overall acceptability of all samples was gradually and significantly (p < 0.05) decreased. Also, on the 14th day, WMR and BP yoghurt samples were more acceptable (82.67 and 81.00) and significantly better than the rest of treatments.
In accordance with our findings, supplementation of low-fat bio-yoghurt with whole pomegranate peels at 0.5% improved the flavor, texture, aroma, appearance and overall acceptability during cold storage with high scores compared to the control [59, 61].
4 Conclusion
Agro-industrial wastes including fruit wastes are considered a rich source of bioactive components that facilitate their utilization as a functional ingredient for fortifying different food and dairy products. Therefore, this study was conducted to assess the impact of fortification of stirred yoghurt with 0.5% of apricot kernel (AK), peach kernel (PK), watermelon rind (WMR) and banana peel (BP) in nano-powder form on the various aspects of yoghurt quality and antioxidant capacity. Fortification of stirred yoghurt with AK and PK distinctly increased protein and fat contents. Additionally, the fortification with WMR and BP significantly (P < 0.05) enhanced viscosity, total phenolic content, and antioxidant capacity as compared to AK and PK. Furthermore, they showed potential role as a prebiotic ingredient for starter culture. The tested additives obviously changed the organic acids profile and color parameters of the resultant yoghurt. Stirred yoghurt fortified with WMR and BP had more sensorial acceptable grades with extended shelf life during cold storage period than yoghurt samples fortified with AK and PK.
Based on these findings, it could be recommended the use of AK, PK, WMR and BP as a prebiotic constituent and novel value-added additive in the formulation of stirred yoghurt for enhancing the quality characteristics, nutritional aspects, and sensory attributes. Indeed, extensive studies are needed for manufacturing wide range of dairy foods fortified with fruit wastes for sustainability. Also, it is planned to conduct an economic feasibility study for these products.
Data availability
The data that support the findings of this study are available from the corresponding author upon reasonable request.
References
Yogurt market trends, size, share and growth report. Markets & Data website https://www.marketsandata.com/industry-reports/yogurt-market. Accessed on April 2024.
El-Said MM, Haggag HF, El-Din HMF, Gad AS, Farahat AM. Antioxidant activities and physical properties of stirred yoghurt fortified with pomegranate peel extracts. Ann Agric Sci. 2014;59:207–12. https://doi.org/10.1016/j.aoas.2014.11.007.
Hadjimbei E, Botsaris G, Chrysostomou S. Beneficial effects of yoghurts and probiotic fermented milks and their functional food potential. Foods. 2022;11:2691. https://doi.org/10.3390/foods11172691.
Parsafar B, Ahmadi M, Jahed Khaniki GR, Shariatifar N, Rahimi FA. The impact of fruit and vegetable waste on economic loss estimation. Glob J Environ Sci Manag. 2023;9:871–84. https://doi.org/10.22034/gjesm.2023.04.14.
Banerjee J, Singh R, Vijayaraghavan R, MacFarlane D, Patti AF, Arora A. Bioactives from fruit processing wastes: green approaches to valuable chemicals. Food Chem. 2017;225:10. https://doi.org/10.1016/j.foodchem.2016.12.093.
Taha SH, Elshaghabee FMF, Ameen MA. Nutritional value, antioxidant and anticancer activities of some nano fruit wastes. Egypt J Chem. 2024;67:187. https://doi.org/10.21608/EJCHEM.2024.256873.9008.
Teshome E, Teka TA, Nandasiri R, Rout JR, Harouna DV, Astatkie T, Urugo MM. Fruit by-products and their industrial applications for nutritional benefits and health promotion: a comprehensive review. Sustainability. 2023;15:7840. https://doi.org/10.3390/su15107840.
Liu Z, de Souza TS, Holland B, Dunshea F, Barrow C, Suleria HA. Valorization of food waste to produce value-added products based on its bioactive compounds. Processes. 2023;11:840. https://doi.org/10.3390/pr11030840.
Noor A, Moyle PM, Malik A, Ziora ZM, Pant KK. Transformative upcycling of fruit-vegetable waste for nutraceutical and pharmaceutical breakthroughs and circular economy evolution. Process Saf Environ Prot. 2024;187:1022–36. https://doi.org/10.1016/j.psep.2024.05.002.
Hikal WM, Ahl SA, Hussein AH, Bratovcic A, Tkachenko KG, Sharifi-Rad J, Kačániová M, Elhourri M, Atanassova M. Banana peels: a waste treasure for human being. Evid Based Complementary Altern Med. 2022. https://doi.org/10.1155/2022/7616452.
Das S. Different types of products development through banana peels. Pharm Innov J. 2023;12:1450–5.
Zahid HF, Ranadheera CS, Fang Z, Ajlouni S. Utilization of mango, apple and banana fruit peels as prebiotics and functional ingredients. Agriculture. 2021;11:584. https://doi.org/10.3390/agriculture11070584.
Dubey S, Rajput H, Batta K. Utilization of watermelon rind (Citrullus lanatus) in various food preparations: a review. J Agric Sci Food Res. 2021;14:1000141.
Bazié D, Konaté K, Roger D, Kaboré K, Sanou A, Sama H, Dicko MH. Physical and phytochemical properties of the rind of five watermelon cultivars. Food Nutr Sci. 2022;13:1036–51. https://doi.org/10.4236/fns.2022.1312072.
Siddiqui SA, Anwar S, Yunusa BM, Nayik GA, Khaneghah AM. The potential of apricot seed and oil as functional food: Composition, biological properties, health benefits & safety. Food Biosci. 2023;51: 102336. https://doi.org/10.1016/j.fbio.2022.102336.
Alajil O, Sagar VR, Kaur C, Rudra SG, Vasudev S, Chandran D, Sharma K, Kumar M, Lorenzo JM. Chemical characterization of apricot kernel: nutraceutical composition, amino acid, and fatty acid profile. Food Anal Methods. 2022;15:2594. https://doi.org/10.1007/s12161-022-02317-z.
Al-Soufi MH, Alshwyeh HA, Alqahtani H, Al-Zuwaid SK, Al-Ahmed FO, Al-Abdulaziz FT, Raed D, Hellal K, Nani NHM, Zubaidi SN, Asni NSM, Hamezah HS, Kamal N, Al-Muzafar H, Mediani A. A review with updated perspectives on nutritional and therapeutic benefits of apricot and the industrial application of its underutilized parts. Molecules. 2022;27:5016. https://doi.org/10.3390/molecules27155016.
Kumari N, Kumar M, Puri S, Zhang B, Rais N, Pundir A, Chandran D, Raman P, Dhumal S, Dey A, Senapathy M, Kumar S, Pokharel BR, Deshmukh V, Damale RD, Thiyagarajan A, Balamurgan V, Sathish G, Singh S, Lorenzo JM. Peach (Prunus persica L Batsch) seeds and kernels as potential plant-based functional food ingredients: a review of bioactive compounds and health-promoting activities. Food Biosci. 2023. https://doi.org/10.1016/j.fbio.2023.102914.
Spanoudaki M, Stoumpou S, Papadopoulou SK, Karafyllaki D, Solovos E, Papadopoulos K, Giannakoula A, Giaginis C. Amygdalin as a promising anticancer agent: Molecular mechanisms and future perspectives for the development of new nanoformulations for its delivery. Int J Mol Sci. 2023;24:14270. https://doi.org/10.3390/ijms241814270.
Cerqueira MÂ, Pastrana LM. Does the future of food pass by using nanotechnologies? Front Sustain Food Syst. 2019;3:16. https://doi.org/10.3389/fsufs.2019.00016.
Sahani S, Sharma YC. Advancements in applications of nanotechnology in global food industry. Food Chem. 2021;342: 128318. https://doi.org/10.1016/j.foodchem.2020.128318.
Aliabbasi N, Emam-Djomeh Z. Application of nanotechnology in dairy desserts and ice cream formulation with the emphasize on textural, rheological, antimicrobial, and sensory properties. eFood. 2024. https://doi.org/10.1002/efd2.170.
Shelke G, Kad V, Yenge G, Desai S, Kakde S. Utilization of jamun pomace as functional ingredients to enhance the physico-chemical and sensory characteristics of ice cream. J Food Process Preserv. 2020;44: e14736. https://doi.org/10.1111/jfpp.14736.
Shelke GN, Kad VP, Yenge GB, Kukde RB, Kakade SR, Al-Dalain SY, Morsy MK. Physicochemical attributes, antioxidant activity, and sensory responses of low-fat cheese supplemented with spray-dried Jamun juice (Syzygium cumini L.) powder. Front Sustain Food Syst. 2023;7:1243477. https://doi.org/10.3389/fsufs.2023.1243477.
Rahman MN, Islam MN, Mia MM, Hossen S, Dewan MF, Mahomud MS. Fortification of set yoghurts with lemon peel powders: an approach to improve physicochemical, microbiological, textural and sensory properties. Appl Food Res. 2024;4: 100386. https://doi.org/10.1016/j.afres.2023.100386.
Al-Sayed HM, Ahmed AR. Utilization of watermelon rinds and sharlyn melon peels as a natural source of dietary fiber and antioxidants in cake. Ann Agric Sci. 2013;58:83. https://doi.org/10.1016/j.aoas.2013.01.012.
Amini Khoozani A, Birch J, Bekhit AEDA. Production, application and health effects of banana pulp and peel flour in the food industry. J Food Sci Technol. 2019;56:548–59. https://doi.org/10.1007/s13197-018-03562-z.
Vu HT, Scarlett CJ, Vuong QV. Effects of drying conditions on physicochemical and antioxidant properties of banana (Musa cavendish) peels. Drying Technol. 2017;35:1141–51. https://doi.org/10.1080/07373937.2016.1233884.
AOAC. Official methods of analysis of the Association of Official Analytical. Washington, DC, USA; 2012.
Yildiz E, Ozcan T. Functional and textural properties of vegetable-fibre enriched yoghurt. Int J Dairy Technol. 2019;72:199. https://doi.org/10.1111/1471-0307.12566.
Mohammed AR, Omar MM, El-Abbassy MM, Khalifa SA. Manufacture of yoghurt drink supplemented with carrot and guava pulps. Zagazig J Agri Res. 2019;46:1975–84. https://doi.org/10.21608/ZJAR.2019.51912.
Aboul-Enein AM, Salama ZA, Gaafar AA, Aly HF, Abou-Elella F, Ahmed HA. Identification of phenolic compounds from banana peel (Musa paradaisica L.) as antioxidant and antimicrobial agents. J Chem Pharm Res. 2016;8:46.
Abd El-Salam MH, Hippen AR, El-Shafie K, Assem FM, Abbas H, Abd El-Aziz M, Sharaf O, El-Aassar M. Preparation and properties of probiotic concentrated yoghurt (labneh) fortified with conjugated linoleic acid. Int J Food Sci Technol. 2011;46:2103–10. https://doi.org/10.1111/j.1365-2621.2011.02722.x.
Balthazar CF, Gaze LV, Azevedo Da Silva HL, Pereira CS, Franco RM, Conte-Júnior CA, De Freitas MQ, De Oliveira Silva AC. Sensory evaluation of ovine milk yoghurt with inulin addition. Int J Dairy Technol. 2015;68:281–90. https://doi.org/10.1111/1471-0307.12189.
Hamed AM, Taha SH, Darwish AA, Aly E. Antioxidant activity and some quality characteristics of buffalo yoghurt fortified with peanut skin extract powder. J Food Sci Technol. 2021;58:2431–40. https://doi.org/10.1007/s13197-020-04835-2.
IFST Guidelines for ethical and professional practices for the sensory analysis of foods. https://www.ifst.org/membership/networks-and-communities/special-interest-groups/sensory-science-group/ifst-guidelines. Accessed Jan 2021.
Snedecor GW, Cochran WG. Statistical methods. 9th ed. Ames, Iowa, USA: Iowa State Univ. Press; 1994.
Silva F de AS e, Azevedo CAV de. Principal components analysis in the software assistat-statistical attendance. In: World congress on computers in agriculture, 7, Reno-Nv-Usa: American society of agricultural and biological engineers; 2009.
Pagthinathan M, Nafees MSM, Powsika E. Evaluate the physical, chemical and sensory parameters of probiotic yoghurt during storage. J Agri Sci. 2018;12:10–8. https://doi.org/10.4038/agrieast.v12i2.55.
Elkot WF, El-Nawasany LI, Sakr HS. Composition and quality of stirred yoghurt supplemented with apricot kernels powder. J Agroaliment Processes Technol. 2017;23:125–30.
Sorour MAE, Mehanni AHES, Hussien SM, Mustafa Hassan MA. Chemical composition and functional properties of some fruit seed kernel flours. J Sohag Agrisci (JSAS). 2021;6:184–91.
Safdari Y, Vazifedoost M, Didar Z, Hajirostamloo B. The effect of banana fiber and banana peel fiber on the chemical and rheological properties of symbiotic yogurt made from camel milk. Int J Food Sci. 2021. https://doi.org/10.1155/2021/5230882.
Dikeman CL, Fahey GC Jr. Viscosity as related to dietary fiber: a review. Crit Rev Food Sci Nutr. 2006;46:649–63. https://doi.org/10.1080/10408390500511862.
Petkowicz CLO, Vriesmann LC, Williams PA. Pectins from food waste: Extraction, characterization and properties of watermelon rind pectin. Food Hydrocoll. 2017;65:57. https://doi.org/10.1016/j.foodhyd.2016.10.040.
Tariq Z, Ijaz M, Fatima R, Rizvi K, Sahar N, Rasheed Z, Tariq M, Dar HM. Physicochemical and nutritive quality characterization of developed banana stirred yogurt. Pure appl biol (PAB). 2023;12:1025–33. https://doi.org/10.19045/bspab.2023.120105.
Abd El Moneem FH, Elmaadawy AA, Mohamed ZS, Atwaa EH. Preparation of low fat probiotic yoghurt supplemented with pomegranate pomace powder as source of antioxidant dietary fibers. J Food Dairy Sci (JFDS). 2021;12:211–5. https://doi.org/10.21608/jfds.2021.201809.
Pourghorban S, Yadegarian L, Jalili M, Rashidi L. Comparative physicochemical, microbiological, antioxidant, and sensory properties of pre-and post-fermented yoghurt enriched with olive leaf and its extract. Food Sci Nutr. 2022;10:751–62. https://doi.org/10.1002/fsn3.2704.
Kabir MR, Hasan MM, Islam MR, Haque AR, Hasan SK. Formulation of yogurt with banana peel extracts to enhance storability and bioactive properties. J Food Process Preserv. 2021;45: e15191. https://doi.org/10.1111/jfpp.15191.
El-Batawy OI, Ashoush IS, Mehanna NS. Impact of mango and pomegranate peels supplementation on quality characteristics of yoghurt with or without whey powder. World J Dairy Food Sci. 2014;9:57.
Cheng H. Volatile flavor compounds in yogurt: A review. Crit Rev Food Sci Nutr. 2010;50:938–50. https://doi.org/10.1080/10408390903044081.
Pinto SM, Clemente MDG, De Abreu LR. Behaviour of volatile compounds during the shelf life of yoghurt. Int J Dairy Technol. 2009;62:215–23. https://doi.org/10.1111/j.1471-0307.2009.00476.x.
Güler-Akin MB, Serdar Akin M, Korkmaz A. Influence of different exopolysaccharide-producing strains on the physicochemical, sensory and syneresis characteristics of reduced-fat stirred yoghurt. Int J Dairy Technol. 2009;62:422–30. https://doi.org/10.1111/j.1471-0307.2009.00499.x.
Zahid HF, Ranadheera CS, Fang Z, Ajlouni S. Functional and healthy yogurts fortified with probiotics and fruit peel powders. Fermentation. 2022;8:469. https://doi.org/10.3390/fermentation8090469.
Meegahawaththa WK, Singhalage ID, Mudannayake DC. Tomato (Lycopersicon esculentum L.) peel powder as a source of natural antioxidant and a colorant in stirred yoghurt. Food Life. 2020. https://doi.org/10.5851/fl.2020.e10.
Tormo M, Izco JM. Alternative reversed-phase high-performance liquid chromatography method to analyse organic acids in dairy products. J Chromatogr A. 2004;1033:305–10. https://doi.org/10.1016/j.chroma.2004.01.043.
Kavaz A, Bakirci I. Influence of inulin and demineralised whey powder addition on the organic acid profiles of probiotic yoghurts. Int J Dairy Technol. 2014;67:577–83. https://doi.org/10.1111/1471-0307.12152.
Kavaz Yüksel A, Yüksel M. Organic acid profiles, physicochemical, microbiological and sensory properties of yoghurts produced by adding turpentine (Pistacia terebinthus L.) coffee. Int J Food Eng. 2020;16:20190365. https://doi.org/10.1515/ijfe-2019-0365.
Shah NP, Ravula RR. Influence of water activity on fermentation, organic acids production and viability of yogurt and probiotic bacteria. Aust J Dairy Technol. 2000;55:127.
Ibrahim A, Awad S, El-Sayed M. Impact of pomegranate peel as prebiotic in bio-yoghurt. Br Food J. 2020;122:2911–26. https://doi.org/10.1108/BFJ-04-2019-0296.
Aziz M, Tammam AA, Nagm El-diin MA, Hamdy AM. Utilization of pomegranate peels powder as a novel preservative in white soft cheese making. Assiut J Agri Sci. 2023;54:50. https://doi.org/10.21608/AJAS.2023.169946.1191.
Kennas A, Amellal-Chibane H. Sensory acceptance, quality characteristics and antioxidant activity of yoghurt fortified with honey and pomegranate peel. Ann Food Sci Technol. 2019;20:240–50.
Funding
The authors did not receive support from any organization for conducting this study.
Author information
Authors and Affiliations
Contributions
S.H.T. determined the research plan of work, supervised the implementation of practical experiments, wrote the original draft of paper, and reviewed the final manuscript. F.M.F.E. determined the methodology of research, contributed to data analysis, supervision, writing and revision of the manuscript. M.A.A. performed the practical experiments and data analysis, contributed to writing and editing of the manuscript. All authors read, reviewed and approved the final manuscript.
Corresponding author
Ethics declarations
Ethics approval and consent to participate
This study was granted exemption from the ethics approval by Cairo University Ethics Committee for the Care and Use of Experimental Animals in Education and Scientific Research, because this study doesn’t involve and need any biological experiments on humans or animals.
Informed consent
An informed consent was obtained from all individual participants included in this study.
Competing interests
The authors declare no competing interests.
Additional information
Publisher’s Note
Springer Nature remains neutral with regard to jurisdictional claims in published maps and institutional affiliations.
Rights and permissions
Open Access This article is licensed under a Creative Commons Attribution 4.0 International License, which permits use, sharing, adaptation, distribution and reproduction in any medium or format, as long as you give appropriate credit to the original author(s) and the source, provide a link to the Creative Commons licence, and indicate if changes were made. The images or other third party material in this article are included in the article's Creative Commons licence, unless indicated otherwise in a credit line to the material. If material is not included in the article's Creative Commons licence and your intended use is not permitted by statutory regulation or exceeds the permitted use, you will need to obtain permission directly from the copyright holder. To view a copy of this licence, visit http://creativecommons.org/licenses/by/4.0/.
About this article
Cite this article
Taha, S.H., Elshaghabee, F.M.F. & Ameen, M.A. Quality attributes and antioxidant activity of stirred yoghurt fortified with some nano-fruit waste powders. Discov Food 4, 125 (2024). https://doi.org/10.1007/s44187-024-00179-4
Received:
Accepted:
Published:
DOI: https://doi.org/10.1007/s44187-024-00179-4






