Skip to main content

Can Ratios Between Prognostic Factors Predict the Clinical Pregnancy Rate in an IVF/ICSI Program with a GnRH Agonist-FSH/hMG Protocol? An Assessment of 2421 Embryo Transfers, and a Review of the Literature

Abstract

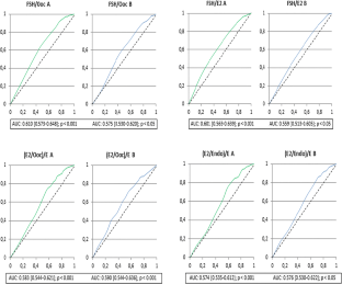
None of the models developed in in vitro fertilization/intracytoplasmic sperm injection (IVF/ICSI) is sufficiently good predictors of pregnancy. The aim of this study was to determine whether ratios between prognostic factors could predict the clinical pregnancy rate in IVF/ICSI. We analyzed IVF/ICSI cycles (based on long GnRH agonist—FSH protocols) at two ART centers (the second to validate externally the data). The ratios studied were (i) the total FSH dose divided by the serum estradiol level on the hCG trigger day, (ii) the total FSH dose divided by the number of mature oocytes, (iii) the serum estradiol level on the trigger day divided by the number of mature oocytes, (iv) the serum estradiol level on the trigger day divided by the endometrial thickness on the trigger day, (v) the serum estradiol level on the trigger day divided by the number of mature oocytes and then by the number of grade 1 or 2 embryos obtained, and (vi) the serum estradiol level on the trigger day divided by the endometrial thickness on the trigger day and then by the number of grade 1 or 2 embryos obtained. The analysis covered 2421 IVF/ICSI cycles with an embryo transfer, leading to 753 clinical pregnancies (31.1% per transfer). Four ratios were significantly predictive in both centers; their discriminant power remained moderate (area under the receiver operating characteristic curve between 0.574 and 0.610). In contrast, the models’ calibration was excellent (coefficients: 0.943–0.978; p < 0.001). Our ratios were no better than existing models in IVF/ICSI programs. In fact, a strongly discriminant predictive model will be probably never be obtained, given the many factors that influence the occurrence of a pregnancy.

This is a preview of subscription content, access via your institution.

Fig. 1
Fig. 2
Fig. 3
Fig. 4
Fig. 5

Data Availability

The material contained in this manuscript has not been published, has not been submitted, or is not being submitted elsewhere. The datasets used and/or analyzed during the current study are available from the corresponding author on reasonable request.

Abbreviations

ART:

assisted reproductive technology

IVF:

in vitro fertilization

ICSI:

intracytoplasmic sperm injection

GnRH:

gonadotropin releasing hormone

FSH:

follicle stimulating hormone

CP:

clinical pregnancy

OP:

ongoing pregnancy

AMH:

anti-Müllerian hormone

AFC:

antral follicle count

E2:

estradiol

LH:

luteinizing hormone

hCG:

human chorionic gonadotropin

Ooc:

oocyte

Endo:

endometrial thickness

E:

grade I and II embryo

FSH/E2:

the total FSH dose (in IU) divided by the serum E2 level (in pg/ml) on the trigger day

FSH/Ooc:

the total FSH dose (in IU) divided by the number of mature oocytes (Ooc) retrieved

E2/Ooc:

the serum E2 level on the trigger day (in pg/ml) divided by the number of mature oocytes retrieved

E2/Endo:

the serum E2 level on the trigger day (in pg/ml) divided by the endometrial thickness (Endo) on the trigger day (in mm)

(E2/Ooc)/E:

the serum E2 level on the trigger day (in pg/ml) divided by the number of mature oocytes retrieved, and then by the number of grade I and II embryos obtained (E)

(E2/Endo)/E:

the serum E2 level (in pg/ml) divided by the endometrial thickness (Endo) on the trigger day (mm), and then by the number of grade I and II embryos obtained

ROC:

receiver operating curve

AUC:

area under the curve

OR:

odd-ratio

95%CI:

confidence interval at 95%

OSI:

ovarian sensitivity index

FORT:

follicular output rate

FSI:

follicular sensitivity index

BMI:

body mass index

References

  1. Zeghers-Hochschild F, Adamson GD, Dyer S, Racowsky C, de Mouzon J, Sokol R, et al. The international glossary on infertility and fertility care. Hum Reprod. 2017;32:1786–801.

    Google Scholar 

  2. De Geyter C, Calhaz-Jorge C, Kupka MS, Wyns C, Mocanu E, Motrenko T, et al. ART in Europe, 2014: results generated from European registries by ESHRE: The European IVF-monitoring Consortium (EIM) for the European Society of Human Reproduction and Embryology (ESHRE). Hum Reprod. 2018;33:1586–601. https://doi.org/10.1093/humrep/dey242.

    Article  PubMed  Google Scholar 

  3. Leushuis E, van der Steeg JW, Steures P, Bossuyt PMM, Eijkemans MJC, van der Veen F, et al. Prediction models in reproductive medicine: a critical appraisal. Hum Reprod Update. 2009;15:537–52.

    PubMed  Google Scholar 

  4. Ratna MB, Bhattacharya S, Abdulrahim B, McLernon DJ. A systematic review of the quality of clinical prediction models in in vitro fertilization. Hum Reprod. 2020;35:100–16.

    CAS  PubMed  Google Scholar 

  5. Terriou P, Sapin C, Giorgetti C, Hans E, Spach JL, Roulier R. Embryo score is a better predictor of pregnancy than the number of transferred embryos or female age. Fertil Steril. 2001;75:525–31.

    CAS  PubMed  Google Scholar 

  6. Hosmer DW, Hosmer T, Le Cessie S, Lemeshow S. A comparison of goodness-of-fit tests for the logistic regression model. Stat Med. 1997;16:965–80.

    CAS  PubMed  Google Scholar 

  7. Dicker D, Goldman JA, Ashkenazi J, Feldberg D, Shelef M, Levy T. Age and pregnancy rates in in vitro fertilization. J In Vitro Fertil Embryo Transf. 1991;8:141–4.

    CAS  Google Scholar 

  8. Abuzeid MI, Bolonduro O, La Chance J, Abozaid T, Urich M, Ullah K, et al. Cumulative live birth rate and assisted reproduction: impact of female age and transfer day. Facts Views Vis Obgyn. 2014;6:145–9.

    CAS  PubMed  PubMed Central  Google Scholar 

  9. Kovacs P, Sajgo A, Kaali SG, Pal L. Detrimental effects of high-dose gonadotropin on outcome of IVF: making a case for gentle ovarian stimulation strategies. Reprod Sci. 2012;19:718–24.

    CAS  PubMed  Google Scholar 

  10. Munch EM, Sparks AE, Zimmerman MB, van Voorhis JB, Duran EH. High FSH dosing is associated with reduced live birth rate in fresh but not subsequent frozen embryo transfers. Hum Reprod. 2017;32:1402–9.

    CAS  PubMed  Google Scholar 

  11. Baker VL, Brown MB, Luke B, Smith GW, Ireland JJ. Gonadotropin dose is negatively correlated with live birth rate: analysis of over 650,000 ART cycles. Fertil Steril. 2015;104:1145–52.

    CAS  PubMed  PubMed Central  Google Scholar 

  12. Borges E Jr, Zanetti BF, Setti AS, Braga DP, Figueira R de CS, Iaconelli A Jr. FSH dose to stimulate different patient’ ages: when less is more. JBRA Assist Reprod. 2017;21:336–42.

    PubMed  Google Scholar 

  13. Haaf T, Hahn A, Lambrecht A, Grossmann B, Schwaab E, Khanaga O, et al. A high oocyte yield for intracytoplasmic sperm injection treatment is associated with an increased chromosome error rate. Fertil Steril. 2009;91:733–8.

    PubMed  Google Scholar 

  14. Gianaroli L, Magli MC, Cavallini G, Crippa A, Capoti A, Resta S, et al. Predicting aneuploidy in human oocytes key factors which affect the meiotic process. Hum Reprod. 2010;25:2374–86.

    CAS  PubMed  PubMed Central  Google Scholar 

  15. Baart EB, Martini E, Eijkemans MJ, Van Opstal D, Beckers NG, Verhoeff A, et al. Milder ovarian stimulation for in-vitro fertilization reduces aneuploidy in the human preimplantation embryo: a randomized controlled trial. Hum Reprod. 2007;22:980–8.

    PubMed  Google Scholar 

  16. Kaleli S, Yanikkaya-Demirel G, Erel CT, Senturk LM, Topcuoglu A, Irez T. High rate of aneuploidy in luteinized granulosa cells obtained from follicular fluid in women who underwent controlled ovarian hyperstimulation. Fertil Steril. 2005;84:802–4.

    PubMed  Google Scholar 

  17. Leijdekkers JA, Eijkemans MJC, van Tiborg TC, Oudshoorn SC, Mc Lernon DJ, Bhattacharya S, et al. Predicting the cumulative chance of live birth over multiple complete cycles of in vitro fertilization: an external validation study. Hum Reprod. 2018;33:1684–95.

    CAS  Google Scholar 

  18. Popovic-Todorovic B, Loft A, Lindhard A, Bangsboll S, Andersson AM, Andersen AN. A prospective study of predictive factors of ovarian response in “ standard” IVF/ICSI patients treated with recombinant FSH. A suggestion for a recombinant FSH dosage normogram. Hum Reprod. 2003;18:781–7.

    CAS  PubMed  Google Scholar 

  19. Broekmans FJ, Kwee J, Hendriks DJ, Mol BW, Lambalk CB. A systematic review of tests predicting ovarian reserve and IVF outcome. Hum Reprod Update. 2006;12:685–718.

    CAS  PubMed  Google Scholar 

  20. Ozekinci M, Seven A, Olgan S, Sakinci M, Keskin U, Akar ME, et al. Does obesity have detrimental effects on IVF treatment outcomes? BMC Womens Health. 2015;15:61.

    PubMed  PubMed Central  Google Scholar 

  21. Freour T, Masson D, Desolle L, Allaoua D, Dejoie T, Mirallie S, et al. Ovarian reserve and in vitro fertilization cycles outcome according to women smoking status and stimulation regimen. Arch Gynecol Obstet. 2012;285:1177–82.

    PubMed  Google Scholar 

  22. Anifandis G, Koutselini E, Louridas K, Liakopoulos V, Leivaditis K, Mantzavinos T, et al. Estradiol and leptin as conditional prognostic IVF markers. Reproduction. 2005;129:531–4.

    CAS  PubMed  Google Scholar 

  23. Foroozanfard F, Moraveji SA, Taghavi SA, Karimi F. Association between serum estradiol level on the day of hCG administration and IVF–ICSI outcome. J Obstet Gynaecol India. 2016;66:170–3.

    CAS  PubMed  Google Scholar 

  24. Kosmas IP, Kolibianakis EM, Devroey P. Association of estradiol levels on the day of hCG administration and pregnancy achievement in IVF: a systematic review. Hum Reprod. 2004;19:2446–53.

    CAS  PubMed  Google Scholar 

  25. Wu Z, Li R, Ma Y, Deng B, Zhang X, Meng Y, et al. Effect of HCG-day serum progesterone and oestradiol concentrations on pregnancy outcomes in GnRH agonist cycles. Reprod BioMed Online. 2012;24:511–20.

    CAS  PubMed  Google Scholar 

  26. Taheri F, Omidi M, Ali Khalili M, Agha-Rahimi A, Sabour M, Faramarzi A, et al. The determination of estradiol to cumulus oocyte complex (COC) number ratio: Does it predict the outcomes of ART cycles? J Reprod Infertil. 2020;21:11–6.

    PubMed  PubMed Central  Google Scholar 

  27. Blazar AS, Hogan JW, Frankfurter D, Hackett R, Keefe DL. Serum estradiol positively predicts outcomes in patients undergoing in vitro fertilization. Fertil Steril. 2004;81:1707–9.

    PubMed  Google Scholar 

  28. Li HW, Lee VC, Ho PC, Ng EH. Ovarian sensitivity index is a better measure of ovarian responsiveness to gonadotrophin stimulation than the number of oocytes during in-vitro fertilization treatment. J Assist Reprod Genet. 2014;31:199–203.

    PubMed  Google Scholar 

  29. Joo BS, Park SH, An BM, Kim KS, Moon SE, Moon HS. Serum estradiol levels during controlled ovarian hyperstimulation influence the pregnancy outcome of in vitro fertilization in a concentration-dependent manner. Fertil Steril. 2010;93:442–6.

    CAS  PubMed  Google Scholar 

  30. Steward RG, Zhang CE, Shah AA, Yeh JS, Chen C, Li YJ, et al. High peak estradiol predicts higher miscarriage and lower live birth rates in high responders triggered with a GnRH agonist in IVF/ICSI cycles. J Reprod Med. 2015;60:463–70.

    CAS  PubMed  Google Scholar 

  31. Fahri J, Benharoush A, Haroush AB, Andrawus N, Pinkas H, Sapir O, et al. High serum oestradiol concentration in IVF cycles increase the risk of pregnancy complications related to abnormal placentation. Reprod BioMed Online. 2010;21:331–7.

    Google Scholar 

  32. Royster GD, Krishnamoorrhy K, Csokmay JM, Yauger BJ, Chason RJ, Decherney AH, et al. Are intracytoplasmic sperm injection and high serum estradiol compounding risk factors for adverse obstetric outcomes in assisted reproductive technology? Fertil Steril. 2016;106:363–70.

    CAS  PubMed  PubMed Central  Google Scholar 

  33. Sundström P. Establishment of a successful pregnancy following in-vitro fertilization with an endometrial thickness of no more than 4 mm. Hum Reprod. 1998;13:1550–2.

    PubMed  Google Scholar 

  34. Check JH, Cohen R. Live fetus following embryo transfer in a woman with diminished egg reserve whose maximal endometrial thickness was less than 4 mm. Clin Exp Obstet Gynecol. 2011;38:330–2.

    CAS  PubMed  Google Scholar 

  35. Abdalla HI, Brooks AA, Johnson MR, Kirkland A, Thomas A, Studd JW. Endometrial thickness: a predictor of implantation in ovum recipients? Hum Reprod. 1994;9:363–5.

    CAS  PubMed  Google Scholar 

  36. Remohi J, Ardiles G, Garcia-Velasco JA, Gaitan P, Simon C, Pellicer A. Endometrial thickness and serum oestradiol concentrations as predictors of outcome in oocyte donation. Hum Reprod. 1997;12:2271–6.

    CAS  PubMed  Google Scholar 

  37. Zhao J, Zhang Q, Wang Y, Li Y. Endometrial pattern, thickness and growth in predicting pregnancy outcome following 3319 IVF cycle. Reprod BioMed Online. 2014;29:291–8.

    PubMed  Google Scholar 

  38. Kasius A, Smit JG, Torrance HL, Eijkemans MJ, Mol BW, Opmeer BC, et al. Endometrial thickness and pregnancy rates after IVF: a systematic review and meta-analysis. Hum Reprod Update. 2014;20:530–41.

    PubMed  Google Scholar 

  39. Griesinger G, Trevisan S, Cometti B. Endometrial thickness on the day of embryo transfer is a poor predictor of IVF treatment outcome. Hum Reprod Open. 2018; 2018(1):hox031. https://doi.org/10.1093/hropen/hox031 eCollection 2018.

  40. Barker MA, Boehnlein LM, Kovacs P, Lindheim SR. Follicular and luteal phase endometrial thickness and echogenic pattern and pregnancy outcome in oocyte donation cycles. J Assist Reprod Genet. 2009;26:243–9.

    PubMed  PubMed Central  Google Scholar 

  41. Roberts SA, Hirst WM, Brison DR, Vail A. Embryo and uterine influences on IVF outcomes: an analysis of a UK multi-centre cohort. Hum Reprod. 2010;25:2792–802.

    CAS  PubMed  Google Scholar 

  42. Cabry-Goubet R, Boulard V, Lourdel E, Devaux A, Copin H, Belaisch-Allart J, et al. How present ART’ results: questions’ list to French ART professionals and application on Amiens’ ART results. Gynecol Obstet Fertil. 2012;40:24–30.

    CAS  PubMed  Google Scholar 

  43. Zhu J, Lian Y, Li M, Chen L, Liu P, Qiao J. Does IVF cleavage stage embryo quality affect pregnancy complications and neonatal outcomes in singleton gestations after double embryo transfers? J Assist Reprod Genet. 2014;31:1635–41.

    PubMed  PubMed Central  Google Scholar 

  44. Luz CM, Giorgi VSI, Coelho Neto MA, Martins W de P, Ferriani RA, Navarro PA. Association between number of formed embryos, embryo morphology and clinical pregnancy rate after intracytoplasmic sperm injection. Rev Bras Ginecol Obstett. 2016;38:465–70.

  45. Sunkara SK, Rittenberg V, Raine-Fenning N, Bhattacharya S, Zamora J, Coomarasamy A. Association between the number of eggs and live birth in IVF treatment: an analysis of 400 135 treatment cycles. Hum Reprod. 2011;26:1768–74.

    PubMed  Google Scholar 

  46. Polyzos NP, Drakopoulos P, Parra J, Pellicer A, Santos-Ribeiro S, Tournaye H, et al. Cumulative live birth rates according to the number of oocytes retrieved after the first ovarian stimulation for in vitro fertilization/intracytoplasmic sperm injection: a multicenter multinational analysis including 15,000 women. Fertil Steril. 2018;110:661–9.

    PubMed  Google Scholar 

  47. Steward RG, Lan L, Shah AA, Yeh JS, Price TM, Goldfarb JM, et al. Oocyte number as a predictor for ovarian hyperstimulation syndrome and live birth: an analysis of 256,381 in vitro fertilization cycles. Fertil Steril. 2014;101:967–73.

    PubMed  Google Scholar 

  48. Stoop D, Ermini B, Polyzos NP, Haentjens P, De Vos M, Verheyen G, et al. Reproductive potential of a metaphase II oocyte retrieved after ovarian stimulation: an analysis of 23 354 ICSI cycles. Hum Reprod. 2012;27:2030–5.

    CAS  PubMed  Google Scholar 

  49. Magnusson A, Källen K, Thurin-Kjellberg A, Bergh C. The number of oocytes retrieved during IVF: a balance between efficacy and safety. Hum Reprod. 2018;33:58–64.

    PubMed  Google Scholar 

  50. Law YJ, Zhang N, Venetis CA, Chambers GM, Harris K. The number of oocytes associated with maximum cumulative live birth rates per aspiration depends on female age: a population study of 221,221 treatment cycles. Hum Reprod. 2019;34:1778–87.

    PubMed  Google Scholar 

  51. Merviel P, Evain-Brion D, Challier JC, Salat-Baroux J, Uzan S. The molecular basis of human implantation in humans. Zentralbl Gynakol. 2001;123:328–39.

    CAS  PubMed  Google Scholar 

  52. Sunkara SK, La Marca A, Polyzos NP, Seed PT, Khalaf Y. Live birth and perinatal outcomes following stimulated and unstimulated IVF: analysis of over two decades of a nationwide data. Hum Reprod. 2016;31:2261–7.

    PubMed  Google Scholar 

  53. Biasoni V, Patriarca A, Dalmasso P, Bertagna A, Manier C, Benedetto C, et al. Ovarian sensitivity index is strongly related to circulating AMH and may be used to predict ovarian response to exogenous gonadotropins in IVF. Reprod Biol Endocrinol. 2011;9:112.

    CAS  PubMed  PubMed Central  Google Scholar 

  54. Briggs R, Kovacs G, Mac Lachlan V, Motteram C, Baker HW. Can you ever collect too many oocytes? Hum Reprod. 2015;30:81–7.

    PubMed  Google Scholar 

  55. Broer SL, Dolleman M, Opmeer BC, Fauser BC, Mol BW, Broekmans FJ. AMH and AFC as predictors of excessive response in controlled ovarian hyperstimulation: a meta-analysis. Hum Reprod Update. 2011;17:46–54.

    CAS  PubMed  Google Scholar 

  56. Yadav V, Malhotra N, Mahey R, Singh N, Kriplani A. Ovarian sensitivity index (OSI): Validating the use of a marker for ovarian responsiveness in IVF. J Reprod Infertil. 2019;20:83–8.

    PubMed  PubMed Central  Google Scholar 

  57. Gallot V, Berwanger da Silva AL, Genro V, Grynberg M, Frydman N, Fanchin R. Antral follicle responsiveness to follicle-stimulating hormone administration assessed by the Follicular Output RaTe (FORT) may predict in vitro fertilization-embryo transfer outcome. Hum Reprod. 2012;27:1066–72.

    CAS  PubMed  Google Scholar 

  58. Genro VK, Grynberg M, Scheffer JB, Roux I, Frydman R, Fanchin R. Serum anti-Müllerian hormone levels are negatively related to follicular output rate (FORT) in normo-cycling women undergoing controlled ovarian hyperstimulation. Hum Reprod. 2011;26:671–7.

    CAS  PubMed  Google Scholar 

  59. Zhang N, Hao CF, Zhuang LL, Liu XY, Gu HF, Liu S, et al. Prediction of IVF/ICSI outcome based on the follicular output rate. Reprod BioMed Online. 2013;27:147–53.

    CAS  PubMed  Google Scholar 

  60. Hassan A, Kotb M, Awadallah A, Wahba A, Shehata N. Follicular output rate can predict clinical pregnancy in women with unexplained infertility undergoing IVF/ICSI: a prospective cohort study. Reprod BioMed Online. 2017. https://doi.org/10.1016/j.rbmo.2017.03.004.

  61. Hassan A, Kotb M, Awadallah A, Shehata N, Wahba A. Follicular sensitivity index (FSI): a novel tool to predict clinical pregnancy rate in IVF/ICSI cycles. J Assist Reprod Genet. 2017;34:1317–24.

    PubMed  PubMed Central  Google Scholar 

  62. Fan Y, Chang Y, Wei L, Chen J, Li J, Goldsmith S, et al. Apoptosis of mural granulosa cells is increased in women with diminished ovarian reserve. J Assist Reprod Genet. 2019;36:1225–35.

    PubMed  PubMed Central  Google Scholar 

  63. Loumaye E, Engrand P, Howles C, O’Dea L. Assessment of the role of serum luteinizing hormone and estradiol response to follicle-stimulating hormone on in vitro fertilization treatment outcome. Fertil Steril. 1997;67:889–99.

    CAS  PubMed  Google Scholar 

  64. Yang JH, Chen HF, Lien YR, Chen SU, Ho HN, Yang YS. Elevated E2: oocyte ratio in women undergoing IVF and tubal ET. Correlation with a decrease in the implantation rate. J Reprod Med. 2001;46:434–8.

    CAS  PubMed  Google Scholar 

  65. Var T, Tonguc E, Dogan M, Mollamahmutoglu L. Relationship between the oestradiol/oocyte ratio and the outcome of assisted reproductive technology cycles with gonadotropin releasing hormone agonist. Gynecol Endocrinol. 2011;27:558–61.

    CAS  PubMed  Google Scholar 

  66. Vaughan DA, Harrity C, Sills ES, Mocanu EV. Serum estradiol:oocyte ratio as a predictor of reproductive outcome: an analysis of data from >9000 IVF cycles in the Republic of Ireland. J Assist Reprod Genet. 2016;33:481–8.

    PubMed  PubMed Central  Google Scholar 

  67. Orvieto R, Zohav E, Scharf S, Rabinson J, Meltcer S, Anteby EY, et al. The influence of estradiol/follicle and estradiol/oocyte ratios on the outcome of controlled ovarian stimulation for in vitro fertilization. Gynecol Endocrinol. 2007;23:72–5.

    CAS  PubMed  Google Scholar 

  68. Fanchin R, Righini C, Ayoubi JM, Olivennes F, De Ziegler D, Frydman R. Newlook at endometrial echogenicity: objective computer-assisted measurements predict endometrial receptivity in in vitro fertilization-embryo transfer. Fertil Steril. 2000;74:274–81.

    CAS  PubMed  Google Scholar 

  69. Salle B, Bied-Damon V, Benchaib M, Desperes S, Gaucherand P, Rudigoz RC. Preliminary report of an ultrasonography and colour Doppler uterine score to predict uterine receptivity in an in-vitro fertilization programme. Hum Reprod. 1998;13:1669–73.

    CAS  PubMed  Google Scholar 

  70. Mercé LT, Barco MJ, Bau S, Troyano J. Are endometrial parameters by three-dimensional ultrasound and power Doppler angiography related to in vitro fertilization/embryo transfer outcome? Fertil Steril. 2008;89:111–7.

    PubMed  Google Scholar 

  71. Ullah K, Rahman TU, Pan H-T, Guo M-X, Dong X-Y, Liu J, et al. Serum estradiol levels in controlled ovarian stimulation directly affect the endometrium. J Mol Endocrinol. 2017;59:105–19.

    CAS  PubMed  PubMed Central  Google Scholar 

  72. Simón C, Cano F, Valbuena D, Remohí J, Pellicer A. Implantation: Clinical evidence for a detrimental effect on uterine receptivity of high serum oestradiol concentrations in high and normal responder patients. Hum Reprod. 1995;10:2432–7.

    PubMed  Google Scholar 

  73. Chen Q-J, Chen Q-J, Sun X-X, Li L, Gao X-H, Wu Y, et al. Effects of ovarian high response on implantation and pregnancy outcome during controlled ovarian hyperstimulation (with GnRH agonist and rFSH). Acta Obstet Gynecol Scand. 2007;86:849–54.

    CAS  PubMed  Google Scholar 

  74. Bourgain C, Devroey P. the endometrium in stimulated cycles for IVF. Hum Reprod Update. 2003;9:515–22.

    PubMed  Google Scholar 

  75. Kolibianakis E, Bourgain C, Albano C, Osmanagaoglu K, Smitz J, Van Steirteghem AC, et al. Effects of ovarian stimulation with recombinant follicle-stimulating hormone, gonadotropin release hormone antagonists, and human chorionic gonadotropin on endometrial maturation on the day of oocyte pick-up. Fertil Steril. 2002;78:1025–9.

    PubMed  Google Scholar 

  76. Sharara FI, McClamrock HD. High estradiol levels and high oocyte yield are not detrimental to in vitro fertilization outcome. Fertil Steril. 1999;72:401–5.

    CAS  PubMed  Google Scholar 

  77. Yu Ng EH, Yeung ES, Yee Lan Lau E, So WW, Ho PC. High serum oestradiol concentrations in fresh IVF cycles do not impair implantation and pregnancy rates in subsequent frozen – thawed embryo transfer cycles. Hum Reprod. 2000;15:250–5.

    CAS  PubMed  Google Scholar 

  78. Tosteson AN, Weinstein MC, Wittenberg J, Begg CB. ROC curve regression analysis: the use of ordinal regression models for diagnostic test assessment. Environ Health Perspect. 1994;102:73–8.

    PubMed  PubMed Central  Google Scholar 

  79. Coppus S, van der Veen F, Opmeer B, Mol B, Bossuyt P. Evaluating prediction models in reproductive medicine. Hum Reprod. 2009;24:1774–8.

    CAS  PubMed  Google Scholar 

  80. Templeton A, Morris JK, Parslow W. Factors that affect outcome of in-vitro fertilisation treatment. Lancet. 1996;348:1402–6.

    CAS  PubMed  Google Scholar 

  81. Stolwijk AM, Zielhuis GA, Hamilton CJ, Straatman HM, Hollanders JM, Goverde HJ, et al. Prognostic models for the probability of achieving an ongoing pregnancy after in-vitro fertilization and the importance of testing their predictive value. Hum Reprod. 1996;11:2298–303.

    CAS  PubMed  Google Scholar 

  82. Smeenk JMJ, Stolwijk AM, Kremer JAM, Braat DDM. External validation of the Templeton model for predicting success after IVF. Hum Reprod. 2000;15:1065–8.

    CAS  PubMed  Google Scholar 

  83. Lintsen AME, Eijkemans MJC, Hunault CC, Bouwmans CAM, Hakkaart L, Habbema JDF, et al. Predicting ongoing pregnancy chances after IVF and ICSI: a national prospective study. Hum Reprod. 2007;22:2455–62.

    CAS  PubMed  Google Scholar 

  84. Nelson SM, Lawlor DA. Predicting live birth, preterm delivery, and low birth weight in infant born from in vitro fertilisation: a prospective study of 144,018 treatment cycles. PLoS Med. 2011;8:e1000386.

    PubMed  PubMed Central  Google Scholar 

  85. van Loendersloot LL, van Wely M, Repping S, Bossuyt PMM, van der Veen F. Individualized decision-making in IVF: calculating the chances of pregnancy. Hum Reprod. 2013;28:2972–80.

    PubMed  Google Scholar 

  86. Dhillon RK, McLernon DJ, Smith PP, Fishel S, Dowell K, Deeks JJ, et al. Predicting the chance of live birth for women undergoing IVF: a novel pretreatment counselling tool. Hum Reprod. 2016;31:84–92.

    CAS  PubMed  Google Scholar 

  87. Mc Lernon DJ, Steyerberg EW, te Velde ER, Lee AJ, Bhattacharya S. Predicting the chances of a live birth after one or more complete cycles of in vitro fertilisation: population based study of linked cycle data from 113873 women. BMJ. 2016;355:i5735.

    Google Scholar 

  88. van Loendersloot LL, van Wely M, Repping S, van der Veen F, Bossuyt PMM. Templeton prediction model underestimates IVF success in an external validation. Reprod BioMed Online. 2011;22:597–602.

    PubMed  Google Scholar 

  89. Arvis P, Lehert P, Guivarc’h-Leveque A. Simple adaptations to the Templeton model for IVF outcome prediction make it current and clinical useful. Hum Reprod. 2012;27:2971–8.

    CAS  PubMed  Google Scholar 

  90. te Velde ER, Nieboer D, Lintsen AM, Braat DDM, Eijkemans MJC, Habbema JDF, et al. Comparison of two models predicting IVF success; the effect of time trends on model performance. Hum Reprod. 2014;29:57–64.

    Google Scholar 

  91. Stolwijk AM, Straatman H, Zielhuis GA, Jansen CA, Braat DD, van Dop PA, et al. External validation of prognostic models for ongoing pregnancy after in-vitro fertilization. Hum Reprod. 1998;13:3545–9.

    Google Scholar 

  92. Hunault CC, Eijkemans MJC, Pieters MHEC, te Velde ER, Habbema JDF, Fauser BCJM, et al. A prediction model for selecting patients undergoing in vitro fertilization for elective single embryo transfer. Fertil Steril. 2002;77:725–3.

    PubMed  Google Scholar 

  93. Hunault CC, te Velde ER, Weima SM, Macklon NS, Eijkemans MJC, Klinkert ER, et al. A case study of the applicability of a prediction model for the selection of patients undergoing in vitro fertilization for a single embryo transfer in another center. Fertil Steril. 2007;87:1314–21.

    PubMed  Google Scholar 

  94. Ottosen LDM, Kesmodel U, Hindkjaer J, Ingerslev HJ. Pregnancy prediction models and eSET criteria for IVF patients – do we need more information? J Assist Reprod Genet. 2007;24:29–36.

    PubMed  Google Scholar 

  95. Cai QF, Wan F, Huang R, Zhang HW. Factors predicting the cumulative outcome of IVF/ICSI treatment: a multivariable analysis of 2450 patients. Hum Reprod. 2011;26:2532–40.

    CAS  PubMed  Google Scholar 

  96. Sarais V, Reschini M, Busnelli A, Biancardi R, Paffoni A, Somigliana E. Predicting the success of IVF: external validation of the van Loendersloot’s model. Hum Reprod. 2016;31:1245–52.

    PubMed  Google Scholar 

  97. Luke B, Brown MB, Wantman E, Stern JE, Baker VL, Widra E, et al. A prediction model for live birth and multiple births within the first three cycles of assisted reproductive technology. Fertil Steril. 2014;102:744–52.

    PubMed  PubMed Central  Google Scholar 

  98. Smith ADAC, Tilling K, Lawlor DA, Nelson SM. External validation and calibration of IVFpredict: a national prospective cohort study of 130,960 in vitro fertilization cycles. PLoS One. 2015;10:e0121357.

    PubMed  PubMed Central  Google Scholar 

  99. Saha L, Fook-Chong SM, Rajesh H, Chia DS, Yu SL. Use of in vitro fertilization prediction model in an Asian population-experience in Singapore. Ann Acad Med Singap. 2015;44:524–9.

    PubMed  Google Scholar 

  100. Vaegter KK, Lakic TG, Olovsson M, Berglund L, Brodin T, Holte J. Which factors are most predictive for live birth after in vitro fertilization and intracytoplasmic sperm injection (IVF/ICSI) treatments? Analysis of 100 prospectively recorded variables in 8,400 IVF/ICSI single-embryo transfers. Fertil Steril. 2017;107:641–8.

    PubMed  Google Scholar 

  101. van Loendersloot LL, van Wely M, Limpens J, Bossuyt PMM, Repping S, van der Veen F. Predictive factors in in vitro fertilization (IVF): a systematic review and meta-analysis. Hum Reprod Update. 2010;16:577–89.

    PubMed  Google Scholar 

  102. Moragianni VA, Jones S-ML, Ryley DA. The effect of body mass index on the outcomes of first assisted reproductive technology cycles. Fertil Steril. 2012;98:102–8.

    PubMed  Google Scholar 

  103. Zander-Fox DL, Henshaw R, Hamilton H, Lane M. Does obesity really matter? The impact of BMI on embryo quality and pregnancy outcomes after IVF in women aged ≤38 years. Aust N Z J Obstet Gynaecol. 2012;52:270–6.

    PubMed  Google Scholar 

Download references

Acknowledgments

The authors thank David Fraser for their comments, suggestions, and critical reading of the manuscript.

Author information

Affiliations

Authors

Contributions

Philippe Merviel: substantial contributions to the conception, design of the work, the acquisition, analysis, and interpretation of data; have drafted the work or substantively revised it. Michel Ménard: substantial contributions to the conception, design of the work; the acquisition, analysis, and interpretation of data; have drafted the work or substantively revised it. Rosalie Cabry: the acquisition of data. Florence Scheffler: the acquisition of data. Emmanuelle Lourdel: the acquisition of data. Marie-Thérèse Le Martelot: substantial contributions to the conception, design of the work; the acquisition, analysis, and interpretation of data. Sylvie Roche: the acquisition of data. Jean-Jacques Chabaud: the acquisition of data. Henri Copin: substantial contributions to the conception (head of the Amiens ART center). Hortense Drapier: the acquisition of data. Moncef Benkhalifa: substantial contributions to the conception, design of the work; the acquisition, analysis, and interpretation of data; have drafted the work or substantively revised it. Damien Beauvillard: the acquisition of data (Head of the Brest ART center). Each author has approved the submitted version and has agreed both to be personally accountable for the author’s own contributions and to ensure that questions related to the accuracy or integrity of any part of the work, even ones in which the author was not personally involved, are appropriately investigated, resolved, and the resolution documented in the literature.

Corresponding author

Correspondence to Philippe Merviel.

Ethics declarations

Conflict of Interest

The authors declare that they have no conflict of interest.

Ethical Approval and Consent to Participate

All the couples have signed consent to the infertility treatment. Given that the couples had already consented (non-opposition) to exploitation of their personal medical data for research purposes and in line with the French legislation on studies of routine medical care (Loi no. 78-17 du 6 janvier 1978 modifiée en 2004 relative à l’informatique, aux fichiers et aux libertés: for all research involving human participants, informed consent to participate in the study should be obtained from participants (or their parent or legal guardian in the case of children under 16)), approval by an independent ethics committee was not required (Ethic committee report of Brest university hospital, 2019). The consents of each couple are available in their medical record and with the corresponding author.

Consent for Publication

The manuscript has been read and approved by all authors.

Additional information

Publisher’s Note

Springer Nature remains neutral with regard to jurisdictional claims in published maps and institutional affiliations.

Rights and permissions

Reprints and Permissions

About this article

Verify currency and authenticity via CrossMark

Cite this article

Merviel, P., Menard, M., Cabry, R. et al. Can Ratios Between Prognostic Factors Predict the Clinical Pregnancy Rate in an IVF/ICSI Program with a GnRH Agonist-FSH/hMG Protocol? An Assessment of 2421 Embryo Transfers, and a Review of the Literature. Reprod. Sci. 28, 495–509 (2021). https://doi.org/10.1007/s43032-020-00307-2

Download citation

  • Received:

  • Accepted:

  • Published:

  • Issue Date:

  • DOI: https://doi.org/10.1007/s43032-020-00307-2

Keywords

  • IVF/ICSI
  • pregnancy
  • predictive factor
  • predictive model
  • validation