Abstract
Purpose
To investigate the effects of 4 weeks high-intensity interval training in hypoxia on aerobic and anaerobic performance of 3-on-3 basketball players.
Methods
In a randomised controlled trial, 15 female basketballers completed eight 1-h high-intensity training sessions in either normobaric hypoxia (hypoxic group n = 8, altitude 3052 m) or normoxia (normoxic group n = 7, sea-level).
Results
After training, the hypoxic group increased their 1-min all-out shuttle run distance by 2.5% ± 2.3% (mean ± 95% CI, d = 0.83, P = 0.04), compared to the normoxic group 0.2% ± 2.3% (d = 0.06, P = 0.8), with the difference between groups being clinically worthwhile but not statistically significant (d = 0.77, P = 0.1). Distance covered in the Yo-Yo intermittent recovery test tended to increase in the hypoxic (32.5% ± 39.3%, d = 1.0, P = 0.1) but not normoxic group (0.3% ± 24.5%, d = 0.08, P = 0.9), with a non-significant change between groups (d = 0.9, P = 0.2). Compared to normoxia, the hypoxic group significantly increased subjective markers of stress (d = 0.53, P = 0.005), fatigue (d = 0.43, P = 0.005), and muscle soreness (d = 0.46, P = 0.01), which resulted in a lower perceived training performance in the hypoxic compared to the normoxic group (d = 0.68, P = 0.001).
Conclusion
High-intensity interval training under hypoxic conditions likely improved 1-min all-out shuttle run ability in female basketball 3-on-3 players but also increased subjective markers of stress and fatigue which must be taken into consideration when prescribing such training.
Similar content being viewed by others
Explore related subjects
Discover the latest articles and news from researchers in related subjects, suggested using machine learning.Avoid common mistakes on your manuscript.
Introduction
Over the past two decades, due to increased interest in team sport performance where any small improvement may enhance the chances of winning, the use of training techniques such as altitude training has increased [11, 12, 14, 19]. Modern technology enables the use of hypoxic exposure without the cost and distraction of having to travel to altitude, making this type of training available to many sport teams. A popular type of living low-training high altitude training is interval hypoxic training where athletes receive relatively short episodes of hypoxic exposure (< 2 h) while completing training intervals at high-intensity interspersed with similar or shorter duration recovery periods [29]. Adding the stress of systemic hypoxia during aerobic or anaerobic interval training is thought to potentiate greater performance improvements compared to similar training at sea level. However, the effectiveness of altitude training, including intermittent hypoxic training (IHT) in males is contentious [27]. Moreover, such research into the effects of IHT in females is almost non-existent, even though previous research indicated male and female athletes benefit equally from traditional altitude training [38].
Adding hypoxia to interval training has not always resulted in improved performance at sea level. Faiss et al. [11, 12] found that two repeated sprint training sessions per week for 4 weeks had little effect on overall power output during a repeat sprint cycling test. Nevertheless, such training increased the number of all-out 10 s cycling sprints able to be completed prior to exhaustion in the hypoxic compared to the normoxic trained groups [11, 12]. Galvin et al. [13], had rugby league players complete 12 sessions of repeated sprint training over 4 weeks in either hypoxia or normoxia and showed a significantly greater improvement in Yo-Yo intermittent recovery test level 1 performance in the hypoxic (33% ± 12%) compared to the normoxic group (14% ± 10%), but no differences were found in the repeated sprint ability between groups [13]. In a more recent study, male rugby union players completed repeated sprint training for 3 weeks in either normobaric hypoxia or normobaric normoxia [20]. Compared to baseline, both the hypoxic and normoxic players similarly lowered fatigue in a repeated sprint test 1 week after the intervention (− 1.8% ± 1.6%, − 1.5% ± 1.4%, mean change ± 90% confidence interval in hypoxic and normoxic groups, respectively), but fatigue continued to improve in the hypoxic compared to the normoxic group over the following 2–4 weeks [20]. Similarly, James and Girard [25] found significantly improved repeated treadmill sprint performance after 8 repeated sprint training sessions in hypoxia in hockey players [25].
Basketball is considered an intermittent high-intensity sport that requires a high level of anaerobic metabolism [37], however, because the game duration is 40 min, players also require a high level of aerobic fitness [15] and therefore deeming it a sport that interval hypoxic training may be effective at improving performance determinants such as improved glycolysis and buffering capacity. Compared to traditional basketball, a relatively new modification of the sport that was played for the first time at the Toyko Olympic Games was 3-on-3 basketball (3 × 3), where only 3 players are permitted on each team on a reduced size court at once. The demands of 3 × 3 basketball are different in that it is significantly more anaerobic than traditional 5 × 5 basketball [9, 31, 32] given the shorter court and quicker transitions of the ball between possessions.
Czuba found that 5 × 5 basketball athletes who trained for 3 weeks (2500 m, 4–5 sets of 4 min bouts at 90% VO2max running velocity in hypoxia) significantly improved running distance by 9.7% and relative VO2max by 7.8% compared to normoxic controls completing the same training (4.0% and 2.1% respectively) [10]. Given that the non-specific training programme used in the Czuba et al. [10] study was effective at improving aerobic performance in basketball athletes, we hypothesize that a more specific training programme that accounts for the work-to-rest ratios of the higher paced 3 × 3 basketball game may prove beneficial at improving anaerobic and possibly aerobic performance, both of which are required in the 3 × 3 game. Indeed recently, Lapointe et al. [26] showed that more sport-specific training on 5 × 5 basketball athletes (repeated sets of 6 s sprints with a 24 s recovery) under hypoxic conditions likely improved repeated sprint ability compared to normoxic controls [26]. To date, very little research on the effects of hypoxic training in female athletes exists, and no research using IHT has been conducted on female 3 × 3 basketball players where repeated running ability, anaerobic power, and aerobic endurance play a substantial role in game performance. Therefore, the purpose of this study was to investigate if the addition of hypoxia to 4 weeks of high-intensity training improved maximal aerobic performance, shuttle run performance and muscular power in female 3 × 3 basketball players compared to a normoxic condition.
Methods
Study Design
This research was a single-blind controlled trial conducted during the player’s preparation-early competition phase of training (September–October). Players were familiar with the test protocols and given a familiarisation session on all protocols and procedures two days before the baseline testing. To aid in the blinding, all players were under the impression that they would be receiving altitude training. The players were asked to arrive at training and testing in a fully rested and hydrated state and to refrain from alcohol for 24-h, and avoid eating a heavy meal or consuming caffeine containing beverages or food for 4-h prior to all testing. Players were also asked to record all of their training, performance and perceived subjective ratings of stress and sleep on training days throughout the study.
Participants
Fifteen female representative basketball players from Canterbury, New Zealand participated in this study. Players were non-professionals who had over 10 years’ experience each in both regional and national level competitions. Subjects were randomly divided into a hypoxic (n = 8) or normoxic group (n = 7), by way of a random number generator in Microsoft Excel. The study was approved by the Lincoln University Human Ethics Committee (reference # 2019-57) with written informed consent gathered from all participants prior to the start of the study. The study was carried out in accordance with the ethical standards as laid down in the 1964 Declaration of Helsinki and its later amendments. All players were healthy, free from injury, lived at sea level and had not resided at altitude within the previous 6 months. Players were asked to maintain their usual basketball training sessions throughout the study which consisted of 2 team trainings per week and to maintain their normal diet.
Hypoxic and Normoxic Training
On 8 separate occasions over 4 weeks (with at least 2 days rest between each occasion), subjects completed 60 min of high-intensity interval training on a variety of devices positioned inside an altitude room (Vertex Altitude, Christchurch, NZ). Players initially completed a 5 min slow jog (6–8 km/h) as a specific treadmill warm-up inside the room, then performed a series of dynamic movement warm-up patterns which included the following areas: chest, side abdomen, back, hip flexors, groin, quadriceps, hamstrings, gluteal and calves for a further 5 min. Following that, 6 sets of 6 repetitions of 6 exercises with 30 s maximal exertion and 30 s of passive recovery between repetitions, were completed on the following pieces of equipment; a rowing ergometer (Concept 2, Model C, Concept 2 Inc., USA), a motorised treadmill (Star Trac E-TRx, USA), battle ropes, a ski ergometer (Concept 2, SkiErg PM5, Concept 2 Inc., USA), an assault bike (Assault Air Bike Classic, LifeCORE, USA) and finally another treadmill run (Star Trac E-TRx, USA). We used the 30 s-on and 30 s-off protocol because it aligns with the reported exercise work: rest periods of 3 × 3 players (for example, periods of 15–30 s makes up about 45% of all measured intervals during play in a 3 × 3 game, whereas bench time of a player is between 0 and 30 s [31, 32]. The exercise modes used in this study are not entirely sport specific but most have some cross-over with the basketball game in that they use similar muscle groups in a similar movement pattern (apart from perhaps the rower and assault bike). In addition, the varied exercise modes gave some variety to the programme, helped to reduce monotony in the athletes and reduced their on-feet training load which was a concern with these players after a long 8-month 5 × 5 playing season. A 2-min active recovery (walking inside the hypoxic room) was given between sets with a 5 min walk and 5 min stretch for a cool-down given at the end of the exercises inside the hypoxic room. All exercises were an all-out effort and players were constantly encouraged to reach maximal intensity during the exercises. The entire training session was completed within the single room with players breathing either normobaric hypoxia (altitude of 3052 m) or normobaric normoxia (0 m or sea level) delivered via a Pressure Swing Adsorption Hypoxicator (Vertex Altitude Training, Christchurch).
Performance Testing
Prior to performance testing, player’s height was measured to the nearest 0.1 cm barefoot using a portable stadiometer (Seca 213, Hamburg, Germany) and body mass to the nearest 0.1 kg (Tanita BWB-800, Tokyo, Japan). Before performance testing, players completed a warm-up consisting of a 5 min slow jog, followed by a series of standardised dynamic movements utilising the lower and upper body.
Squat Jump
Explosive power (peak power) and velocity (peak velocity) during a squat jump was determined using a wooden dowel connected to a linear position transducer (LPT) (GymAware; Kinetic Performance Technologies, Canberra, Australia) and an iPad (Apple Inc., USA running GymAware App, Australia) using previously reported protocols [39]. Players completed three jumps with at least 5 min between efforts and the best jump was used for analysis.
Countermovement Jump Test
After 5 min rest a countermovement jump was determined by using a contact mat (Smart Jump, Fusion Sport, Australia) and an iPad (Apple Inc., USA running Fusion Sport Smart Speed App, Australia). Players completed three jumps with at least 2 min rest between efforts and the best jump was used for analysis.
Shuttle Run Test
After a 10 min passive rest, the players undertook the 1-min all-out shuttle run test, which consisted of completing as many shuttle sprints as possible over a 17-m distance for a timed period of 1 min. The National Basketball Association (NBA), Division 1, 2 and 3 college basketball teams in the United States of America use a similar test called the 3 min run (colloquially known as the ‘Boston Marathon’), where players must sprint as fast as they can from baseline to baseline (28 m) as many times as they can within the 3 min period. However, as this test is used on 5 × 5 players and court dimensions are comparatively different (i.e. 28 m long compared to 14 m in 3 × 3), an abbreviated version of this test was used. Players were instructed to sprint maximally for every sprint and pacing was discouraged. From a standing stance, 0.4 cm behind the starting line, when instructed to start, player’s sprinted in-line for 17 m, touched a line on the floor with any part of the foot and then completed a 180° change of direction and sprinting back to the starting line to also touch this line with any part of the foot. This sprinting continued for 1 min without any rest after which time players were instructed to stop immediately and stand in position. The total achieved distance (to the nearest 1.0 m) was recorded using marked cones. Observers were present at both ends of the court ensuring players touched the line with their foot and counted the number of laps completed. The reproducibility of the test (measured as a coefficient of variation between the baseline and post-test) was 1.8%.
Aerobic Test
Finally, after another passive rest of 15 min players completed the Yo-Yo intermittent recovery test level 1 (YYIR1, BangsboSport, Denmark), which was undertaken according to previously-published protocols [1]. The YYIR1 finishing shuttle number was converted to a distance and then used in the analysis. At the end of each test, the players were asked to rate their perceived exertion using the 6–20 Borg scale [4]. All tests were completed indoors on a FIBA measured wooden basketball court in normoxic conditions under similar climatic conditions (19.4 ± 0.4 °C). Players also wore basketball court shoes.
Physiological Measures
At the end of each set during the training sessions, heart rate (FT1; Polar, Kemple, Finland) and arterial oxygen saturation (SpO2) (Sport-Stat; Nonin Medical, Minneapolis, Minnesota, USA) were recorded by the researchers while keeping the data blind to the players. However due to missing data and recording problems the heart rate data have not been used in this study.
Subjective Measures
Due to time restrictions, our research group decided to incorporate elements of established measures into our own customised, brief, easy-to-use, self-report measure. For this study, we asked a series of questions used successfully in a number of other studies [17, 18, 20] which were modelled on previous research [28] and based on a five-point Likert scale to record athletes subjective ratings of stress, fatigue, sleep quality, muscle soreness and training performance. Players were asked to input their subjective training data after each training. Furthermore, player’s RPE during training was recorded at the end of each set and at the end of training with the Borg scale (6–20) [4].
Statistical Analysis
Changes in the measurement variables from baseline to post-training along with standard deviations representing the between-and within-subject variability were estimated using a mixed modelling procedure (Proc Mixed) in the Statistical Analysis System (Version 9.3, SAS Institute, Cary, NC, USA). For the performance data, we analyzed the natural logarithm of each measure to reduce any effects in non-uniformity of error and to obtain changes in measures and errors as percentages [22] but analyzed the raw variables for non-performance data. The fixed effects were test time (pre and post for performance data and training day for non-performance data), group (hypoxic, normoxic) and their interaction. The random effects were subject and residual variance. Chances that the true effects were substantial were estimated with a published spreadsheet [24], when a value for the smallest worthwhile effect was entered. We used a value of 1% for performance measures [34]. For non-performance measures, we chose 0.20 standardised units (change in the mean divided by the between-subject SD at baseline) as the smallest worthwhile change [8]. To make decisions about the true (population) values of the effect of training in hypoxia we used both hypothesis testing (an alpha level of P < 0.05 for significance was used) and clinical-based inferences [2, 24] along with Cohen’s effect sizes where > 0.2 is small, > 0.5 is moderate and > 0.8 is large. We used a spreadsheet [23] to calculate the number of participants required in the study with the smallest worthwhile change in performance being 1.0% [34] and the typical error or within-subject SD in similar tests of 0.7% [36]. Using a type I error of 0.5% and a type II error of 25% the number of participants in a pre-post parallel-groups controlled trail was calculated to be 7 per group.
Results
Physical Performance
At baseline, the two groups were similar in all characteristics apart from the 1-min all-out shuttle run and body mass (Table 1). For shuttle run ability, the normoxic players were able to cover more distance at baseline, compared to the hypoxic group (6.3 ± 5.8 m, mean ± 95% CI, P = 0.03). The normoxic players also had a lower body mass compared to the hypoxic players at baseline (5.8 ± 6.3 kg, P = 0.07). After 4 weeks of training, the normoxic players showed a small non-significant increase in their 1-min all-out shuttle run performance of 0.2% ± 2.3% (Cohen’s d = 0.06, P = 0.88), however the players that trained in hypoxia increased their 1-min all-out shuttle run performance by 2.5% ± 2.3% (d = 0.83, P = 0.04). The between-group difference in the 1-min all-out shuttle run test (5.3 m or approximately 2.3%) did not meet statistical significance (P = 0.1) but exceeded the smallest worthwhile clinical change with an effect size of 0.77. The hypoxic players also showed an increase in the distance covered in the YYIR1 after the training intervention (32.5% ± 39.3%, d = 1.0) and while this increase is greater than the smallest worthwhile clinical effect, it was not statistically significant (P = 0.1) (Table 2). Performance change as a result of the 4-weeks training varied considerably between individuals (Fig. 1), with larger increases indicated for the hypoxic compared to the normoxic players in both the Yo-Yo IRT L1 and 1-min all-out shuttle run test. Player’s body mass and jump performance showed non-significant and unclear changes between training groups over the training period (Table 2).
Training Parameters
Oxygen saturation was consistently lower during each training session in the hypoxic compared to the normoxic group (Fig. 2a), with the overall mean of the hypoxic group (for all repetitions on all training days) significantly lower (90.7% ± 3.6%) than the overall mean of the normoxic group (95.4% ± 2.3%, P < 0.05). Player’s RPE taken immediately after each repetition during training is shown in Fig. 2b. The hypoxic group’s RPE was significantly lower during the first training day in sets 2, 4 and 6 compared to the normoxic group. Although the RPE was also lower in the hypoxic group in set 2 of the second training day, by the end of training day 2, both groups RPE was similar and continued that trend for the remaining training sessions (Fig. 2b).
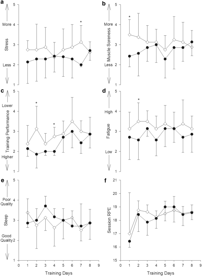
Figure 3 shows the subjective measures taken each day from the players with significant differences between groups on individual days indicated. We also analyzed the pooled data from all days between groups and found that the hypoxic group had significantly more overall stress compared to the normoxic group over the training intervention (mean overall stress level was 2.8 ± 0.9 for hypoxic players and 2.3 ± 0.8 for controls, d = 0.53, P = 0.005). The hypoxic players also had significantly more fatigue (3.3 ± 0.8 and 2.9 ± 0.8, d = 0.43, P = 0.005, for the hypoxic and normoxic groups respectively), more muscle soreness (3.1 ± 0.9 hypoxic and 2.8 ± 0.8 normoxic, d = 0.46, P = 0.01) and lower perceived training performance (2.9 ± 0.9 hypoxic and 2.4 ± 0.7 normoxic, d = 0.68, P = 0.001, note the reverse scale for this subjective measure). There was little difference in sleep (3.0 ± 0.8 control and 2.9 ± 0.8 hypoxic, P = 0.595) or session RPE (18.2 ± 1.3 normoxic and 18.4 ± 1.3 hypoxic, P = 0.552) between groups.
Levels of perceived stress (a), perceived muscle soreness (b), perceived training performance (c), perceived fatigue (d), perceived sleep quality (e), and whole of session rating of perceived exertion (f) in the two groups on the 8 training days. *Significant difference between groups. Filled circles are the normoxic group while open diamonds are the hypoxic group
Discussion
The major findings from this study indicated that eight sessions of high-intensity intermittent hypoxic training likely improved 1-min all-out shuttle run ability conducted under normoxic conditions in female 3 × 3 basketball players. However, the hypoxic training was significantly more stressful than normoxic training with subjective markers of stress, fatigue and muscle soreness elevated in the hypoxic players. Finally, the effect of intermittent hypoxic training on muscular power and aerobic fitness was unclear.
The likely improved 1-min shuttle run performance in the hypoxic compared to the normoxic group found in this research supports an emerging body of evidence indicating that repeated-sprint or high-intensity intermittent hypoxic training may be an effective training modality for team sport athletes [6, 20]. However, not all researchers have found beneficial effects when adding hypoxia to this type of training [13, 16], which may be due to a number of factors including a mismatch between the hypoxic training protocols used for the research trial and the performance tests used to measure change after the trial. Other factors including differences in fitness levels between players, degree and frequency of hypoxic exposure, differing post-training testing times and subsequent performance testing procedures. For example, Galvin et al. [13], asked rugby players to complete 12 sessions of 10 × 6-s all out sprints with a 30-s recovery under hypoxic conditions, but used a performance test that did not match the protocol used. Data obtained from the Galvin et al. [13] study showed that the average time to run 20 m was ∼ 3 s. Therefore, to match the training program to the performance test used, these athletes should have been running ∼ 40 m during performance testing and not 20 m. Such details are important, as during training, these athletes would have been stressing and subsequently adapting to more aerobic than anaerobic metabolic processes, yet during testing, these athletes would have been relying more on their anaerobic rather than aerobic metabolic systems. Unsurprisingly, these authors reported substantial improvements in endurance (aerobic) performance after training (∼15% improvement in VO2max in the hypoxic compared to normoxic group), which suggests the training was more conducive to endurance performance than the anaerobic repetitive sprinting performance adaptations for which they were testing. In the current study we had participant’s complete 30 s all-out repetitions during training but we used a 60 s all-out performance shuttle run test. While there is a difference between training and testing exercise durations which could result in different aerobic and anaerobic energy demands, we were confident that the 60 s all-out effort in the shuttle run test was short enough to elicit high levels of energy demand from the anaerobic system [33], thereby giving us a reasonable estimate of anaerobic energy production change.
The likely increased shuttle run ability in the hypoxic compared to the normoxic group in this study along with a less clear between-group change in the aerobic measure (YYIR1) suggests improvement mainly in the anaerobic rather than the aerobic metabolism involved with such training. It has been suggested that the work-to-rest ratios for such training needs to be approximately 1:5 so that the glycolytic energy system does not “time-out” [3]. The longer rest periods allow for recovery from strenuous work including the restoration of intramuscular ATP levels, clearance of lactic acid and return to equilibrium, permitting another very high intensity work interval to be completed in a subsequent repetitiom or set [3]. However, due to the intermittent nature of the sport of 3 × 3 basketball where sprint bouts found in real 3 × 3 basketball games are typically 30 s work: 30 s rest [International Basketball Federation (FIBA), 2019], the design of this study was tailored to suit the physical demands required to play this sport. Typically, 1:1 work-to-rest ratios target the aerobic metabolism, where timings range from 5 min work: 5 rest. However, due to low duration of exercise (i.e. 30 s work: 30 s rest), and high intensity, we hypothesize that both anaerobic (i.e. 30 s work) and aerobic (six sets of 6 repetitions of 30 s) energy systems were involved. Similar improvements in sprint performance, when comparing hypoxic to normoxic groups, were also observed by Brocherie e al. (2015), where the authors applied a work-to-rest ratio of 1:1 (15 s: 15 s). However, Jones et al. (2015) used a 1:1.25 ratio (60 s: 75 s), while Hamlin et al. [20], used a 1:5 ratio (5 s: 25 s), which also showed significant beneficial improvement in the hypoxic compared to the normoxic group. Interestingly, Brechbuhl et al. [5], found no benefit in repeated sprint performance in tennis players with a 1:4 ratio (6 s: 24 s) [5] while Galvin et al. [13], found no benefit in rugby union and rugby league players with a 1:5 ratio (6 s: 30 s). To summarise, the smaller work-to-rest ratio, the less recovery is given, which increases demand on the aerobic system to aid in the recovery of muscular ATP-PC. In future repeated sprint research studies, the work-to-rest ratio should be established to allow maximal anaerobic stress and adaptation responses to occur.
The addition of high-intensity intermittent running shuttles, and all-out efforts in normoxic training programs has previously been shown to be effective for increasing aerobic performance in team sport players [10, 13]. However, the results in the current study showed positive but less clear differences in the hypoxic compared to normoxic group. This was expected as the total duration of hypoxic exposure was probably too low for inducing any positive haematological, capillary or mitochondrial adaptations [35]. Moreover, training intensities and work-to-rest ratios used in the current study were not likely to elicit VO2 responses near VO2max. It is more likely that such training would stimulate adaptation in other central (i.e. ventilatory, hemodynamics, or neural adaptations) or peripheral (i.e. muscle-buffering capacity, economy, mitochondrial biogenesis, lactate transport, pH regulation) factors [11, 12]. Team sport training stimulates a myriad of metabolic and neuromuscular systems simultaneously, thus anaerobic glycolytic energy contribution and neuromuscular load/musculoskeletal strain are likely the more important variables to consider [7]. Although overall results showed unclear differences in the current study, some individual’s YYIR1 benefited from this training (see Fig. 1b), therefore we would urge coaches and trainers to test the effectiveness of such training individually on their athletes before considering any implementation on the entire team.
Overall, the hypoxic players perceived their training performance to be significantly lower than the normoxic group (Fig. 3c). Further to this, when compared to the normoxic group, the hypoxic group showed more subjective muscle soreness, more fatigue and more stress. These results may be explained by the fact that on the whole, the hypoxic players muscles were probably working harder during training. According to Henneman’s size principle, motor units are generally recruited in order of smallest to largest as the contraction increases [21]. It is currently thought that in general, type I (small, slow twitch oxidative) motor units are recruited first, then type II (large, fast twitch glycolytic) units are recruited as the force required to be generated is increased. Therefore, during high-intensity intermittent training, type II fibres have to take up much of the work. There is evidence that breathing hypoxic mixtures during training increases type II recruitment compared to normoxic air [30]. Breathing hypoxic air during training may therefore cause earlier than normal fatigue of type I fibres (which rely on oxygen and therefore fatigue early in a low oxygen environment), which creates greater reliance on the type II fibres which are required to complete a greater amount of the work causing more muscle damage and subsequently fatigue and muscle soreness. However this remains speculative until further research can confirm such changes.
A limitation of this study is that we used well-trained 3 × 3 basketball players and therefore the results may not reflect what may occur in untrained team sport athletes, or even 5 × 5 basketballers. In addition, differences in shuttle run ability between groups at baseline can be considered a limitation as both groups were not similar in shuttle run performance. The low participant numbers in this study suggest caution is required when interpreting the results until our findings can be substantiated by studies with larger sample sizes. Some of the training modes used in this study (e.g. battles ropes, ski erg, rowing machine) were not specific to shuttle run performance, however were necessary to avoid too much on-feet training load. Finally the hypoxic chamber was set at 3052 m, however we did not validate the chamber FIO2 concentration at each training session. Therefore absolute differences in hypoxia or changes from day-to-day may have affected results. Taking these limitations into consideration, the training protocols outlined in this study may be of interest to coaches and athletes after considering the many confounders that can influence player’s performance in a team sport like 3 × 3 basketball.
In conclusion, a likely improvement in shuttle run ability at sea level was found after high-intensity hypoxic interval training in well-trained female 3 × 3 basketball players. However, this training protocol had unclear effects on muscular power and aerobic performance and showed increased levels of subjective stress and fatigue and therefore should be fully considered prior to use.
Data Availability
The datasets generated and/or analysed during the current study are available from the corresponding author on reasonable request.
References
Bangsbo J, Iaia FM, Krustrup P. The Yo-Yo Intermittent Recovery Test: a useful tool for evaluation of physical performance in intermittent sports. Sports Med. 2008;38(1):37–51.
Batterham AM, Hopkins WG. Making meaningful inferences about magnitudes. Int J Sports Physiol Perform. 2006;1(1):50–7.
Billat LV. Interval training for performance: a scientific and empirical practice. Sports Med. 2001;31(1):13–31.
Borg GA. Psychophysical bases of perceived exertion. Med Sci Sports Exerc. 1982;14(5):377–81.
Brechbuhl C, Brocherie F, Millet GP. Schmitt L. Effects of repeated-sprint training in hypoxia on tennis-specific performance in well-trained players. Sports Med Open. 2018;2(5):E123–32.
Brocherie F, Girard O, Faiss R, Millet G. High-intensity intermittent training in hypoxia: a double-blinded, placebo-controlled field study in youth football players. J Strength Cond Res. 2015;29(1):226–37.
Buchheit M, Laursen PB. High-intensity interval training, solutions to the programming puzzle. Sports Med. 2013;43(5):313–38.
Cohen J. Statistical power for the behavioural sciences. Hillsdale: Lawrence Erlbaum; 1988.
Conte D, Straigis E, Clemente FM, Gómez M-Á. Tessitore A. Performance profile and game-related statistics of FIBA 3x3 Basketball World Cup 2017. Biol Sport. 2019;36(2):149.
Czuba M, Zając A, Maszczyk A, Roczniok R, Poprzęcki S, Garbaciak W, Zając T. The effects of high intensity interval training in normobaric hypoxia on aerobic capacity in basketball players. J Hum Kinet. 2013;39(1):103–14.
Faiss R, Girard O, Millet GP. Advancing hypoxic training in team sports: from intermittent hypoxic training to repeated sprint training in hypoxia. Br J Sports Med. 2013;47(Suppl 1):i45–50.
Faiss R, Léger B, Vesin JM, Fournier PE, Eggel Y, Dériaz O, Millet GP. Significant molecular and systemic adaptations after repeated sprint training in hypoxia. PLoS One. 2013;8(2):e56522.
Galvin HM, Cooke K, Sumners DP, Mileva KN, Bowtell JL. Repeated sprint training in normobaric hypoxia. Br J Sports Med. 2013;47:i74–9.
Girard O, Brocherie F, Goods PS, Millet GP. An updated panorama of “living low-training high” altitude/hypoxic methods. Front Sports Act Living. 2020;2:26.
Glaister M. Multiple sprint work. Sports Med. 2005;35(9):757–77.
Goods PSR, Dawson B, Landers GJ, Gore CJ, Pelling P. No additional benefit of repeat-sprint training in hypoxia than in normoxia on sea-level repeat-sprint ability. J Sports Sci Med. 2015;14(3):681–8.
Hamlin MJ, Deuchrass RW, Olsen PD, Choukri MA, Marshall HC, Lizamore CA, Leong C, Elliot CA. The effect of sleep quality and quantity on athlete’s health and perceived training quality. Front Sports Act Living. 2021;3:25.
Hamlin MJ, Hellemans J. Effect of intermittent normobaric hypoxic exposure at rest on haematological, physiological and performance parameters in multi-sport athletes. J Sports Sci. 2007;25(4):431–41.
Hamlin MJ, Lizamore CA, Hopkins WG. The effect of natural or simulated altitude training on high-intensity intermittent running performance in team-sport athletes: a meta-analysis. Sports Med. 2018;48(2):431–46.
Hamlin MJ, Olsen PD, Marshall HC, Lizamore CA, Elliot CA. Hypoxic repeat sprint training improves rugby player’s repeated sprint but not endurance performance. Front Physiol. 2017;8:24.
Henneman E, Somjen G, Carpenter DO. Functional significance of cell size in spinal motoneurons. J Neurophysiol. 1965;28(3):560–80.
Hopkins W, Marshall SW, Batterham AM, Hanin J. Progressive statistics for studies in sports medicine and exercise science. Med Sci Sports Exerc. 2009;41(1):3–12.
Hopkins WG. Estimating sample size for magnitude-based inferences. Sport Sci. 2006;10:63–70. http://www.sportsci.org/2006/wghss.htm
Hopkins WG. A spreadsheet for deriving a confidence interval, mechanistic inference and clinical inference from a P value. Sportscience. 2007;11:16–20.
James C, Girard O. In-season repeated-sprint training in hypoxia in international field hockey players. Front Sports Act Living. 2020;2:66.
Lapointe J, Paradis-Deschênes P, Woorons X, Lemaître F, Billaut F. Impact of hypoventilation training on muscle oxygenation, myoelectrical changes, systemic [K+], and repeated-sprint ability in basketball players. Front Sports Act Living. 2020;2:29.
Lundby C, Robach P. Does ‘altitude training’ increase exercise performance in elite athletes? Exp Physiol. 2016;101:783–8.
Mackinnon LT, Hooper SL. Plasma glutamine and upper respiratory tract infection during intensified training in swimmers. Med Sci Sports Exerc. 1996;28(3):285–90.
McLean BD, Gore CJ, Kemp J. Application of “Live Low-Train High” for enhancing normoxic exercise performance in team sport athletes. Sports Med. 2014;44(9):1275–87.
Melissa L, MacDougall JD, Tarnopolsky MA, Cipriano N, Green HJ. Skeletal muscle adaptations to training under normobaric hypoxic versus normoxic conditions. Med Sci Sports Exerc. 1997;29(2):238–43.
Montgomery PG, Maloney BD. 3× 3 basketball: performance characteristics and changes during elite tournament competition. Int J Sports Physiol Perform. 2018;13(10):1349–56.
Montgomery PG, Maloney BD. Three-by-three basketball: inertial movement and physiological demands during elite games. Int J Sports Physiol Perform. 2018;13(9):1169–74.
Nummela A, Rusko H. Time course of anaerobic and aerobic energy expenditure during short-term exhaustive running in athletes. Int J Sports Med. 1995;16(8):522–7.
Paton CD, Hopkins WG, Vollebregt L. Little effect of caffeine ingestion on repeated sprints in team-sport athletes. Med Sci Sports Exerc. 2001;33(5):822–5.
Płoszczyca K, Langfort J, Czuba M. The effects of altitude training on erythropoietic response and hematological variables in adult athletes: a narrative review. Front Physiol. 2018;9:375.
Spencer M, Fitzsimons M, Dawson B, Bishop D, Goodman C. Reliability of a repeated-sprint test for field-hockey. J Sci Med Sport. 2006;9(1–2):181–4.
Stojanović E, Stojiljković N, Scanlan A, Dalbo V, Berkelmans D, Milanović Z. The activity demands and physiological responses encountered during basketball match-play: a systematic review. Sports Med. 2018;48(1):111–35.
Stray-Gundersen J, Chapman RF, Levine BD. “Living high-training low” altitude training improves sea level performance in male and female elite runners. J Appl Physiol. 2001;91(3):1113–20.
Wadhi T, Rauch JT, Tamulevicius N, Andersen JC, De Souza EO. Validity and reliability of the GymAware linear position transducer for squat jump and counter-movement jump height. Sports. 2018;6(4):177.
Acknowledgements
We would like to thank the participants for their time and effort in this study. Partial financial support was received from a Faculty of Environment Society and Design Research Grant, Lincoln University.
Funding
Open Access funding enabled and organized by CAUL and its Member Institutions. Funding to complete this study was received from Lincoln University. Written informed consent was obtained from all participants. The authors have no relevant financial or non-financial interests to declare.
Author information
Authors and Affiliations
Contributions
All authors conceived and designed the study. All authors contributed to manuscript preparation, revisions and approved the final version.
Corresponding author
Ethics declarations
Competing interests
The authors have not disclosed any competing interests.
Rights and permissions
Open Access This article is licensed under a Creative Commons Attribution 4.0 International License, which permits use, sharing, adaptation, distribution and reproduction in any medium or format, as long as you give appropriate credit to the original author(s) and the source, provide a link to the Creative Commons licence, and indicate if changes were made. The images or other third party material in this article are included in the article's Creative Commons licence, unless indicated otherwise in a credit line to the material. If material is not included in the article's Creative Commons licence and your intended use is not permitted by statutory regulation or exceeds the permitted use, you will need to obtain permission directly from the copyright holder. To view a copy of this licence, visit http://creativecommons.org/licenses/by/4.0/.
About this article
Cite this article
Smith, H.K., Hamlin, M.J. & Elliot, C.A. Effect of High-Intensity Intermittent Hypoxic Training on 3-on-3 Female Basketball Player’s Performance. J. of SCI. IN SPORT AND EXERCISE 4, 386–396 (2022). https://doi.org/10.1007/s42978-022-00163-3
Received:
Accepted:
Published:
Issue Date:
DOI: https://doi.org/10.1007/s42978-022-00163-3





