Skip to main content

Components of rhizospheric bacterial communities of barley and their potential for plant growth promotion and biocontrol of Fusarium wilt of watermelon

Abstract

This work aimed to characterize antagonistic bacteria from the field-grown barley rhizosphere, and evaluate their potential for growth promotion and biocontrol of Fusarium wilt on watermelon caused by Fusarium oxysporum f. sp. Niveum (FON). Seven bacteria were isolated and screened for plant growth promoting and antagonistic traits. Based on the results of phenotypic characterization and 16S rRNA gene sequencing, the isolates were identified to be related to Bacillus methylotrophicus (DMK-1), Bacillus amyloliquefaciens subsp. plantarum (DMK-7-2), Bacillus cereus (DMK-12), Pseudomonas brassicacearum subsp. brassicacearum (DMK-2), Pseudomonas veronii (DMK-3), Paenibacillus polymyxa (DMK-8), and Ensifer adhaerens (DMK-17). All the isolates were positive for the production of indole-3-acetic acid (IAA) and ammonia (NH3), while negative for the production of hydrogen cyanide (HCN). Six bacteria strains (except DMK-17) were able to phosphate solubilization. All the bacteria strains, except DMK-8, were able to produce iron siderophore complexes, and possessed the proteolytic activity. Greenhouse experiment indicated six strains can decrease diseased percentage caused by FON. All the isolates enhanced plant biomass, six strains increased root volume, six strains increased root system activity in greenhouse test. Inoculation of mixtures of seven plant growth promoting rhizobacteria could be more effective in plant growth promotion and biocontrol of Fusarium wilt in watermelon.

This is a preview of subscription content, access via your institution.

Fig. 1
Fig. 2
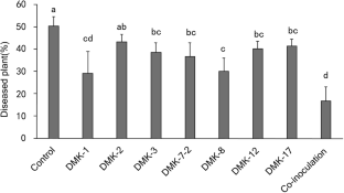
Fig. 3

References

  1. Yu JQ, Shou SY, Qian YR, Zhu ZJ, Hu WH (2000) Autotoxic potential in cucurbit crops. Plant Soil 223:147–151

    Article  CAS  Google Scholar 

  2. Yao H, Jiao X, Wu F (2006) Effects of continuous cucumber cropping and alternative rotations under protected cultivation on soil microbial community diversity. Plant Soil 284:195–203

    Article  CAS  Google Scholar 

  3. Zhou X, Yu G, Wu F (2011) Effects of intercropping cucumber with onion or garlic on soil enzyme activities, microbial communities and cucumber yield. Eur J Soil Biol 47(5):279–287

    Article  CAS  Google Scholar 

  4. Zhang F, Li L (2003) Using competitive and facilitative interactions in intercropping systems enhance crop productivity and nutrient-use efficiency. Plant Soil 248:305–312

    Article  CAS  Google Scholar 

  5. Ren L, Su S, Yang X, Xu Y, Huang Q, Shen Q (2008) Intercropping with aerobic rice suppressed Fusarium wilt in watermelon. Soil Biol Biochem 40(3):834–844

    Article  CAS  Google Scholar 

  6. Xiao X, Cheng Z, Meng H, Khan MA, Li H (2012) Intercropping with garlic alleviated continuous cropping obstacle of cucumber in plastic tunnel. Acta Agric Scand Sect B Soil Plant Sci 62:696–705

    Google Scholar 

  7. Darch T, Giles CD, Blackwell MSA, George TS, Brown LK, Menezes-Blackburn D, Shand CA, Stutter MI, Lumsdon DG, Mezeli MM, Wendler R, Zhang H, Wearing C, Cooper P, Haygarth PM (2018) Inter- and intra-species intercropping of barley cultivars and legume species, as affected by soil phosphorus availability. Plant Soil 427:125–138

    Article  CAS  PubMed  Google Scholar 

  8. Li XG, Wang XX, Dai CC, Zhang TL, Xie XG, Ding CF, Wang HW (2014) Effects of intercropping with Atractylodes lancea and application of bio-organic fertiliser on soil invertebrates, disease control and peanut productivity in continuous peanut cropping field in subtropical China. Agrofor Syst 88:41–52

    Article  Google Scholar 

  9. Boudreau MA (2013) Disease in intercropping systems. Annu Rev Phytopathol 51:499–519

    Article  CAS  PubMed  Google Scholar 

  10. Bhattacharyya PN, Jha DK (2012) Plant growth-promoting rhizobacteria (PGPR): emergence in agriculture. World J Microbiol Biotechnol 28:1327–1350

    Article  CAS  PubMed  Google Scholar 

  11. Tabassum B, Khan A, Tariq M, Ramzan M, Khan MSI, Shahid N, Aaliya K (2017) Bottlenecks in commercialisation and future prospects of PGPR. Appl Soil Ecol 121:102–117

    Article  Google Scholar 

  12. Grady EN, MacDonald J, Liu L, Richman A, Yuan ZC (2016) Current knowledge and perspectives of Paenibacillus: a review. Microb Cell Factories 15:203

    Article  Google Scholar 

  13. Fan ZY, Miao CP, Qiao XG, Zheng YK, Chen HH, Chen YW, Xu LH, Zhao LX, Guan HL (2016) Diversity, distribution, and antagonistic activities of rhizobacteria of Panax notoginseng. J Ginseng Res 40:97–104

    Article  CAS  PubMed  Google Scholar 

  14. Schwyn B, Neilands JB (1987) Universal chemical assay for the detection and determination of siderophores. Anal Biochem 160(1):47–56

    Article  CAS  PubMed  PubMed Central  Google Scholar 

  15. Smibert RM, Krieg NR (1994) Phenotypic characterization. In: Gerhardt P, Murray RGE, Wood WA, Krieg NR (eds) Methods for general and molecular bacteriology. American Society of Microbiology, Washington DC, pp 607–654

    Google Scholar 

  16. Schippers B, Bakker AW, Bakker PAHM, Van Peer R (1990) Beneficial and deleterious effects of HCN-producing pseudomonads on rhizosphere interactions. Plant Soil 129(1):75–83

    Article  CAS  Google Scholar 

  17. Cappuccino JC, Sherman N (1992) Microbiology: a laboratory manual, 3rd edn. Benjamin/Cummings Pub. Co, New York

    Google Scholar 

  18. Nautiyal CS (1999) An efficient microbiological growth medium for screening phosphate solubilizing microorganisms. FEMS Microbiol Lett 170(1):265–270

    Article  CAS  Google Scholar 

  19. Loper JE, Schroth MN (1986) Influence of bacterial sources on indole-3-acetic acid on root elongation of sugarbeet. Phytopathology 76:386–389

    Article  CAS  Google Scholar 

  20. Comas LH, Eissenstat DM, Lakso AN (2000) Assessing root death and root system dynamics in a study of grape canopy pruning. New Phytol 147:171–178

    Article  CAS  Google Scholar 

  21. Chauhan AK, Maheshwari DK, Kim K, Bajpai VK (2016) Termitarium-inhabiting Bacillus endophyticus TSH42 and Bacillus cereus TSH77 colonizing Curcuma longa L.: isolation, characterization, and evaluation of their biocontrol and plant-growth-promoting activities. Can J Microbiol 62:880–892

    Article  CAS  PubMed  Google Scholar 

  22. Etesami H, Alikhani HA (2016) Rhizosphere and endorhiza of oilseed rape (Brassica napus L.) plant harbor bacteria with multifaceted beneficial effects. Biol Control 94:11–24

    Article  Google Scholar 

  23. Romero FM, Marina M, Pieckenstain FL (2016) Novel components of leaf bacterial communities of field-grown tomato plants and their potential for plant growth promotion and biocontrol of tomato diseases. Res Microbiol 167:222–233

    Article  CAS  PubMed  Google Scholar 

  24. Wan T, Zhao H, Wang W (2017) Effect of biocontrol agent Bacillus amyloliquefaciens SN16-1 and plant pathogen Fusarium oxysporum on tomato rhizosphere bacterial community composition. Biol Control 112:1–9

    Article  Google Scholar 

  25. Rotolo C, De Miccolis Angelini RM, Dongiovanni C et al (2018) Use of biocontrol agents and botanicals in integrated management of Botrytis cinerea in table grape vineyards. Pest Manag Sci 74(3):715–725

    Article  CAS  PubMed  Google Scholar 

  26. Verma SK, White JF (2018) Indigenous endophytic seed bacteria promote seedling development and defend against fungal disease in browntop millet (Urochloa ramosa L.). J Appl Microbiol 124(3):764–778

    Article  CAS  PubMed  Google Scholar 

  27. Ling N, Xue C, Huang Q, Yang X, Xu Y, Shen Q (2010) Development of a mode of application of bioorganic fertilizer for improving the biocontrol efficacy to Fusarium wilt. BioControl 55:673–683

    Article  Google Scholar 

  28. Montes C, Altimira F, Canchignia H, Castro Á, Sánchez E, Miccono M, Tapia E, Sequeida Á, Valdés J, Tapia P, González C, Prieto H (2016) A draft genome sequence of Pseudomonas veronii R4: a grapevine (Vitis vinifera L.) root- associated strain with high biocontrol potential. Stand Genomic Sci 11:76

    Article  CAS  PubMed  PubMed Central  Google Scholar 

  29. Novinscak A, Gadkar VJ, Joly DL, Filion M (2016) Complete genome sequence of Pseudomonas brassicacearum LBUM300, a disease-suppressive bacterium with antagonistic activity toward fungal, oomycete, and bacterial plant pathogens. Genome Announc 4(1):e01623–e01615

    Article  PubMed  PubMed Central  Google Scholar 

  30. Wu H, Yang X, Fan J et al (2008) Suppression of Fusarium wilt of watermelon by a bio-organic fertilizer containing combinations of antagonistic microorganisms. Biocontrol 54:287–295

    Article  Google Scholar 

  31. Ling N, Zhang W, Tan S, Huang Q, Shen Q (2012) Effect of the nursery application of bioorganic fertilizer on spatial distribution of Fusarium oxysporum f. sp. niveum and its antagonistic bacterium in the rhizosphere of watermelon. Appl Soil Ecol 59:13–19

    Article  Google Scholar 

  32. Zahid M, Abbasi MK, Hameed S, Rahim N (2015) Isolation and identification of indigenous plant growth promoting rhizobacteria from Himalayan region of Kashmir and their effect on improving growth and nutrient contents of maize (Zea mays L.). Front Microbiol 6:207

    Article  PubMed  PubMed Central  Google Scholar 

  33. Ahemad M, Kibret M (2014) Mechanisms and applications of plant growth promoting rhizobacteria: current perspective. Journal of King Saud University - Science 26:1–20

    Article  Google Scholar 

  34. Patten CL, Glick BR (1996) Bacterial biosynthesis of indole-3-acetic acid. Can J Microbiol 42:207–220

    Article  CAS  PubMed  Google Scholar 

  35. Haas D, Défago G (2005) Biological control of soil-borne pathogens by Fluorescent Pseudomonas. Nat Rev Microbiol 3:307–319

    Article  CAS  Google Scholar 

  36. Domenech J, Reddy MS, Kloepper JW, Ramos B, Gutierrez-Mañero J (2006) Combined application of the biological product LS213 with Bacillus, Pseudomonas or Chryseobacterium for growth promotion and biological control of soil-borne diseases in pepper and tomato. BioControl 51:245–258

    Article  CAS  Google Scholar 

  37. Raupach GS, Kloepper JW (1998) Mixtures of plant growth-promoting rhizobacteria enhance biological control of multiple cucumber pathogens. Phytopathology 88:1158–1164

    Article  CAS  PubMed  Google Scholar 

  38. Jetiyanon K, Kloepper JW (2002) Mixtures of plant growth-promoting rhizobacteria for induction of systemic resistance against multiple plant diseases. Biol Control 24:285–291

    Article  Google Scholar 

  39. Mazzola M (2004) Assessment and management of soil microbial community structure for disease suppression. Annu Rev Phytopathol 42:35–59

    Article  CAS  PubMed  Google Scholar 

  40. An M, Zhou X, Wu F, Ma Y, Yang P (2011) Rhizosphere soil microorganism populations and community structures of different watermelon cultivars with differing resistance to Fusarium oxysporum f. sp. Niveum. Can J Microbiol 57:355–365

    Article  CAS  PubMed  Google Scholar 

  41. Xiong W, Guo S, Jousset A, Zhao Q, Wu H, Li R, Kowalchuk GA, Shen Q (2017) Bio-fertilizer application induces soil suppressiveness against Fusarium wilt disease by reshaping the soil microbiome. Soil Biol Biochem 114:238–247

    Article  CAS  Google Scholar 

Download references

Acknowledgments

The authors are very grateful to Siqin Chao, Yuting Han, Yingxuan Wang, and Xiaoyue Zhang for their valuable assistance in laboratory and greenhouse experiment.

Funding

This research was supported by the Fundamental Research Funds for the Central Universities of China (Grant No. 2013PY092).

Author information

Affiliations

Authors

Corresponding author

Correspondence to Wenjie Yang.

Additional information

Publisher’s note

Springer Nature remains neutral with regard to jurisdictional claims in published maps and institutional affiliations.

Responsible Editor: Luiz Roesch

Rights and permissions

Reprints and Permissions

About this article

Verify currency and authenticity via CrossMark

Cite this article

Yang, W. Components of rhizospheric bacterial communities of barley and their potential for plant growth promotion and biocontrol of Fusarium wilt of watermelon. Braz J Microbiol 50, 749–757 (2019). https://doi.org/10.1007/s42770-019-00089-z

Download citation

  • Received:

  • Accepted:

  • Published:

  • Issue Date:

  • DOI: https://doi.org/10.1007/s42770-019-00089-z

Keywords

  • Barley
  • Biocontrol
  • Fusarium wilt
  • Growth promotion
  • Rhizosphere bacteria