Abstract
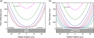
The wetting characteristics and water film stability at the talc surface have been studied, particularly the effect of polysaccharides such as guar gum, starch, and dextrin. Talc is a gangue mineral in the flotation of base metal sulfide ores, precious metal sulfide ores, and platinum group metal (PGM) sulfide ores. Talc surfaces were investigated using surface analysis techniques including atomic force microscopy, high-speed video bubble attachment measurements, and wetting film stability measurements using a synchronized tri-wavelength reflection interferometry microscope (STRIM). In the presence of polysaccharides, there is a significant increase in bubble attachment time at the talc surface, but only a slight change in contact angle, which suggests that polysaccharide depression of talc is due primarily to the slow rate of bubble attachment and not due to a change in contact angle. The critical rupture thickness (hc) for a hydrophobic talc surface was found to be 56 nm, while the hydrophilic phlogopite surface of similar structure has an equilibrium film thickness (he) of 25 nm. At low polysaccharide concentrations, the wetting films formed on the talc surfaces were unstable, but at high concentrations the wetting films became stable with similar thickness values as the critical rupture thickness, and bubble attachment did not occur. However, it was found that the critical and equilibrium film thickness values do not change significantly with the polysaccharide type or concentration. The results from this research help us understand further details of film rupture and displacement during bubble attachment.
This is a preview of subscription content, access via your institution.






References
Wie J, Fuerstenau DW (1974) The effect of dextrin on surface properties and the flotation of molybdenite. Int J Miner Process 1(1):17–32
Fuerstenau DW, Huang P (2003) Interfacial phenomena involved in talc flotation and depression. In: Lorenzen L (ed) Proceedings XXII international mineral processing congress, South African Institute of Mining and Metallurgy, Western Cape Branch, Marshalltown, South Africa, vol 2, pp 1034–1043
Laskowski JS, Liu Q, Bolin NJ (1991) Polysaccharides in flotation of sulphides. Part I. Adsorption of polysaccharides onto mineral surfaces. Int J Miner Process 33(1–4):223–234
Liu G, Feng Q, Ou L, Lu Y, Zhang G (2006) Adsorption of polysaccharide onto talc. Miner Eng 19(2):147–153
Laskowski JS, Liu Q, O'Connor CT (2007) Current understanding of the mechanism of polysaccharide adsorption at the mineral/aqueous solution interface. Int J Miner Process 84(1):59–68
Mierczynska-Vasilev A, Beattie DA (2013) The effect of impurities and cleavage characteristics on talc hydrophobicity and polymer adsorption. Int J Miner Process 118:34–42
Morris GE, Fornasiero D, Ralston J (2002) Polymer depressants at the talc–water interface: adsorption isotherm, microflotation and electrokinetic studies. Int J Miner Process 67(1):211–227
Shortridge PG, Harris PJ, Bradshaw DJ, Koopal LK (2000) The effect of chemical composition and molecular weight of polysaccharide depressants on the flotation of talc. Int J Miner Process 59(3):215–224
Kaggwa GB, Huynh L, Ralston J, Bremmell K (2006) The influence of polymer structure and morphology on talc wettability. Langmuir 22(7):3221–3227
Beattie DA, Huynh L, Kaggwa GB, Ralston J (2006) Influence of adsorbed polysaccharides and polyacrylamides on talc flotation. Int J Miner Process 78(4):238–249
Rath RK, Subramanian S, Laskowski JS (1997) Adsorption of dextrin and guar gum onto talc. A comparative study. Langmuir 13(23):6260–6266
Liu Q, Zhang Y, Laskowski JS (2000) The adsorption of polysaccharides onto mineral surfaces: an acid/base interaction. Int J Miner Process 60(3):229–245
Jenkins P, Ralston J (1998) The adsorption of a polysaccharide at the talc–aqueous solution interface. Colloids Surf A Physicochem Eng Asp 139(1):27–40
Steenberg E, Harris JP (1984) A study of the adsorption, zeta potential and dispersion characteristics of certain polymers in relation to their effect on the floatability of talc. S Afr J Chem 37:85
Atluri V, Jin J, Shrimali K, Dang LX, Wang X, Miller JD (2019) The hydrophobic surface state of talc as influenced by aluminum substitution in the tetrahedral layer. J Colloid Interface Sci. 536:737–748. https://doi.org/10.1016/j.jcis.2018.10.085
Wiese J, Harris P, Bradshaw D (2005) The influence of the reagent suite on the flotation of ores from the Merensky reef. Miner Eng 18(2):189–198
O'Connor CT (2013) Investigations into the recovery of platinum group minerals from the platreef ore of the Bushveld Complex of South Africa. Platin Met Rev 57(4):302–310
Wu J, Delcheva I, Ngothai Y, Krasowska M, Beattie DA (2015) Bubble–surface interactions with graphite in the presence of adsorbed carboxymethylcellulose. Soft Matter 11(3):587–599
Shrimali K, Atluri V, Wang X, Miller JD (2018) Adsorption of corn starch molecules at hydrophobic mineral surfaces. Colloids Surf A Physicochem Eng Asp 546:194–202
Gao Y, Pan L (2018) Measurement of instability of thin liquid films by synchronized tri-wavelength reflection interferometry microscope. Langmuir 34(47):14215–14225. https://doi.org/10.1021/acs.langmuir.8b02891
Brossard SK, Du H, Miller JD (2008) Characteristics of dextrin adsorption by elemental sulfur. J Colloid Interface Sci 317(1):18–25
Miller JD, Laskowski JS, Chang SS (1983) Dextrin adsorption by oxidized coal. Colloids Surf 8(2):137–151
Beaussart A, Parkinson L, Mierczynska-Vasilev A, Beattie DA (2012) Adsorption of modified dextrins on molybdenite: AFM imaging, contact angle, and flotation studies. J Colloid Interface Sci 368(1):608–615
Mierczynska-Vasilev A, Ralston J, Beattie DA (2008) Adsorption of modified dextrins on talc: effect of surface coverage and hydration water on hydrophobicity reduction. Langmuir 24(12):6121–6127
Knaepen B, Kassinos S, Carati D (2004) Magnetohydrodynamic turbulence at moderate magnetic Reynolds number. J Fluid Mech 513:199–220
Pan L, Yoon RH (2016) Measurement of hydrophobic forces in thin liquid films of water between bubbles and xanthate-treated gold surfaces. Miner Eng 98:240–250
Bozzano G, Dente M (2001) Shape and terminal velocity of single bubble motion: a novel approach. Comput Chem Eng 25(4–6):571–576
Acknowledgments
Thanks go to Ms. Dorrie Spurlock for her assistance in the preparation of the manuscript.
Funding
This work was funded by the Division of Chemical Sciences, Geosciences, and Biosciences, Office of Basic Energy Sciences of the U.S. Department of Energy through Grant No. DE-FG03-93ER14315. We appreciate funding from Newmont USA, Ltd., which helped to support the research program.
Author information
Authors and Affiliations
Corresponding author
Ethics declarations
Conflict of Interest
The authors declare that they have no conflict of interest.
Rights and permissions
About this article
Cite this article
Atluri, V., Gao, Y., Wang, X. et al. The Influence of Polysaccharides on Film Stability and Bubble Attachment at the Talc Surface. Mining, Metallurgy & Exploration 36, 71–80 (2019). https://doi.org/10.1007/s42461-018-0028-4
Received:
Accepted:
Published:
Issue Date:
DOI: https://doi.org/10.1007/s42461-018-0028-4
Keywords
- Talc
- Polysaccharides
- Hydrophobicity
- Bubble attachment
- Film thickness