Abstract
Resource conserving and eco-friendly interventions through improved crop establishment are the need of time to produce more with less resources, and mitigating climatic vulnerabilities and protecting environmental quality in the rice–wheat cropping system (RWCS) of India. In this context, seven years (2010–2017) field experimentation at Karnal, Haryana, India revealed that the weed infestation was more intensified and diversified in direct seeded rice (DSR) than puddled transplanted rice (PTR), and even eliminating puddling in rice-induced more infestation of Phalaris minor in succeeding wheat crop. Residue retention in zero-till (ZT) DSR and rotating conventional till (CT) DSR with PTR reduced weed pressure compared to continuous DSR. Root knot and plant parasitic nematodes were less in DSR than PTR but reverse was true for saprozoic nematodes in DSR and ZT situations. CTDSR, ZTDSR (with or without residues), and ZT/CT machine-transplanted rice (MTR) produced grain yields at par (P = 0.05) with PTR. The grain yield of ZT wheat (5.03–6.90 t ha−1) in sequence with CT/ZT rice establishment (DSR/MTR) was 0.3–0.6 t ha−1 higher than what it was attained after puddled rice systems. Net returns from DSR/MTR-based cropping systems were higher than PTR, with 22–31% saving of labor. Irrigation water productivity was also higher under DSR (27.5–29.9 kg ha-cm−1) than PTR (23.7 kg ha-cm−1), with 17.5–22.8% reduction in irrigation input. There was also improvement in soil health under ZTDSR/MTR (higher OC, N, P and K, and lower bulk density) compared to PTR. Overall, the resource conservation and soil health improvement through these planting methods signaled toward system stability over trade-offs in RWCS.
Introduction
Rice–wheat is the most prominent cropping system in south Asia occupying 13.5 million hectares’ area in Indo-Gangetic Plains (IGP), out of which India has 10 m ha followed by Pakistan (2.2 m ha), Bangladesh (0.8 m ha) and Nepal (0.5 m ha) [1]. Rice in India is grown in 44 m ha area with 113 mt grain production (2017–18), and wheat in 30 m ha with 100 mt production [2]. But, the decline or stagnation in total factor productivity of rice–wheat cropping system (RWCS) along with depletion of natural resources in north west (NW) India [3,4,5] along with increasing population have led to putting extra efforts for increasing the productivity and profitability of this important cropping system. It also challenges us to produce more with less cost on sustainable basis, increase labor and water productivity, besides conserving our natural resources and environmental safety.
Manual transplanting in puddled soil is the traditional method of rice crop establishment in north-western India. Puddling, however, results in disintegration of soil aggregates, disturbance of macro-pores and negative impact on soil physical properties, which result in compaction and poor aeration in soil [6,7,8]. It also leads to negative impact on the next crop. Soil puddling is a big hurdle for progression of conservation agriculture in rice crop-based systems [9]. Kumar et al. [7] reported lower (8%) yields of wheat grown after puddled transplanted rice (PTR) than direct seeded rice (DSR). Requirement of irrigation water for puddling has been reported to be 100 mm on the lower side (just to saturate the dry soil profile) [10] and 544 mm on the higher side (more soaking period due to water flow from field to field) [11]. Farmers are thus compelled/forced to think about adoption of labor-efficient methods of crop establishment due to labor scarcity, increased wages and high demand of labor for transplanting [12].
Dry direct seeded rice is one of the feasible alternatives to conventional method of manual transplanting, which results in lower irrigation water and other input costs [13]. The requirement of labor in DSR is about one-third of the transplanted rice [14]. Balasubramanian and Hill [15] have reported that DSR has higher resilience to water deficit and more profit in assured irrigation areas. DSR-based systems save (11–18%) irrigation water [16] and reduce the labor requirement (11–66%) compared to PTR, depending upon location, season and type of DSR [17, 18]. Easy planting, improved soil health, reduced methane emission and often higher net returns in assured irrigation areas are some of the other benefits of DSR [12, 19, 20]. In addition, rice matures 7–10 days earlier under direct seeding than puddled transplanting, which allows timely sowing of the succeeding wheat crop [21, 22].
Weeds are major problem in DSR which need to be managed effectively for good yields [23, 24]. In DSR, some of the weeds emerge along with the crop seedlings and grow faster in moist soil than in puddled soil of PTR [25], which results in severe competition with the crop for resources. Hence, weeds are the main biological constraint to the successful DSR [26], and failure in controlling weeds results in huge losses (50–90%) in grain yield [27, 28]. However, many pre- and post-emergence herbicides (for use as alone or in combination) are now available for effective weed management in DSR. Availability of precise and proper machinery in time and place would also favor DSR scaling. Layering of DSR with short/medium duration high-yielding rice varieties and improved agronomic practices will make this preposition more meaningful and viable. Modification in irrigation technology suitable for DSR is also required to improve water use efficiency further. Besides this, policy support and incentives would also help in faster upscaling of DSR in India.
Machine transplanting of rice (MTR) in non-puddled soil is less labor intensive and less water demanding and could be another alternative to PTR [29, 30]. Additionally, zero-tillage (ZT) in wheat can help reduce the turnaround time between rice harvest and planting of the successive wheat crop. Compared to conventional till wheat (CTW), the multi-fold benefits of zero-till wheat (ZTW) in sequence with rice are already well documented [31, 32]. Malik and co-workers [33, 34] have also outlined long-term benefits and impacts of ZTW followed by different crop establishment methods in rice in the rice–wheat system.
Despite multiple benefits associated with these alternate crop establishment methods in rice–wheat system, their accelerated adoption at wider scale is yet to be achieved. For that, there is a need to bridge up some of the knowledge gaps to be addressed in a system approach. Evidences on medium to long-term impacts of CT/ZT rice in sequence with ZT wheat on system productivity, economics, weed dynamics, nematode infestation, irrigation water input etc. are lacking, particularly in north-west Indian conditions. However, scattered information from different ecologies on individual crops/ technologies is available, but authentic information based on well-planned experimentation on comparison of different establishment methods with a system approach in one ecology is scanty. In this context, evidence based on medium to long-term studies can help to eliminate some of the uncertainties and change the mindset of stakeholders for accelerated adoption and scaling of these alternative planting methods.
In context of the said identified knowledge gaps, we hypothesized that sequencing of DSR and MTR in CT/ZT situations with ZT wheat could be more productive, profitable and sustainable to replace PTR-CTW, which are already adopted at large scale in NW India. Residue retention in ZT rice in sequence with ZT wheat might simplify the complex problem of weeds to some extent besides improving system-based water and crop productivity. Rotating DSR with puddled rice after an interval could help in managing weeds along with harnessing the benefits of DSR. Keeping these points in view, the present investigation was proposed to study the impact of different crop establishment methods on weed infestation and diversity, nematodes infestation, labor and irrigation water input, along with productivity, profitability and sustainability of rice–wheat cropping systems.
Materials and methods
Site details
A seven years (2010–2017) field experiment was conducted at CCS Haryana Agricultural University, Regional Research Station, Karnal, India to evaluate the performance of different crop establishment methods in rice followed by ZT wheat. At the start of the experiment, the soil (0–15 cm depth) was slightly alkaline (pH 8.30), low in organic carbon (0.32%), with moderate levels of available phosphorus (10.9 kg P ha−1) and high in available potassium (298 kg K2O ha−1), and electrical conductivity 0.20 dS m−1 (Table 1).
Experimental design/treatments
The experiment with treatment combinations of tillage x establishment methods x irrigation management (hereafter referred as rice system treatments) was laid out in a randomized complete block design with three replications. The plot size was 16.5 m × 8.8 m. The treatment details are given below.
-
T1: ZTDSR(+ R)-ZTW (Zero-till DSR with 30% residue retention followed by ZT wheat)
-
T2: ZTDSR-ZTW (Zero-till DSR without residue followed by ZT wheat)
-
T3: ZTMTR-ZTW (Zero-till MTR followed by ZT wheat)
-
T4: CTDSR-ZTW (Conventional till DSR followed by ZT wheat)
-
T5: CTMTR-ZTW (Conventional till MTR followed by ZT wheat)
-
T6: PMTR/CTDSR/PTR-ZTW (Puddled MTR up to 2013, CTDSR in 2014 and PTR in 2015 and 2016 followed by ZT wheat)
-
T7: PTR-ZTW (PTR followed by ZT wheat)
-
T8: PTR-ZTW/CTW (PTR followed by ZT wheat up to 2011–12 and CT wheat afterwards)
In T1, about 30% residues of manually harvested wheat crop were retained as anchored stubbles (about 10 cm height) along with some loose straw. PMTR-ZTW up to 2013 (T6) was changed to CTDSR-ZTW in 2014 and PTR-ZTW in 2015 to study the impact of CTDSR in rotation with puddled system of rice establishment on crop performance and weed infestation in comparison with continuous DSR- and PTR-based treatments. PTR-ZTW (T8) deployed during 2010 and 2011 was modified to PTR-CTW to represent/ accomplish farmers’ practice being largely adopted in the domain area. These mid-course corrections in T6 and T8 were made only in rice and wheat phases, respectively. DSR included sowing of rice with drill under ZT/CT conditions. PTR includes manual transplanting in puddled plots which were under continuous flooding until about 2–3 weeks before harvest. MTR included transplanting of mat nursery with paddy transplanter. CT involved tillage and planking while the soil was dry/ moist, ZT meant no tillage and puddling included wet tillage followed by planking.
Crop management and monitoring
Rainy season
During the rainy season, a basmati (scented) rice cultivar CSR30 (PB1121 in 2013 only) was used for sowing/transplanting. Sowing of DSR was accomplished in the 2nd–3rd week of June (10–20 June; 20, 20, 15, 11, 10, 17 and 11 June during 2010, 2011, 2012, 2013, 2014, 2015 and 2016, respectively) using a seed rate of 20 kg ha−1 with a ZT seed-cum-fertilizer drill having inverted T-type furrow openers (20 cm row spacing) and an inclined plate type seed metering mechanism. The seed used for sowing was dipped/soaked in fungicide solution (1 g carbendazim in 1 L water per kg seed) for 24 h, removed and spread out in the shade for two hours before sowing to make it free flowing in the seeding mechanism. The next day, mat-type nursery was sown on raised beds after initial sprouting of seeds, and the seedlings were mechanically transplanted after three weeks. Similarly, after two days, the nursery for conventional PTR was sown with fully sprouted seeds on a flat bed, and manual transplanting was done after 4–5 weeks.
Under ZT situations, the plots were kept undisturbed after wheat harvest, and glyphosate at 2.0 kg a.e. ha−1 was sprayed for control of established weeds in the field before rice establishment. Under CT situations, the plots were well prepared at field capacity with three plowings followed by planking. Puddled conditions were achieved using a puddler in standing water followed by planking. Planking was also done immediately after sowing in DSR plots. Spacing was 21 cm × 14 cm for MTR (30 cm × 14 cm in 2013 only) and 20 cm × 15 cm in PTR. Changes in spacing under MTR during 2013 were due to availability of only different prototype in that year. Irrigation in DSR plots was applied at weekly intervals or as needed depending on rainfall to keep the soil moist. For PTR or MTR, irrigation was applied just before transplanting and then it was irrigated at weekly intervals or as needed depending on rainfall to maintain flooded conditions during initial 3–4 weeks, and flooded or saturated thereafter up to 2–3 weeks before harvest. Whereas in ZT/CTMTR, the plots were kept flooded during initial 1–2 weeks, and then under saturated conditions up to 2–3 weeks before harvest. However, during last 2–3 weeks before paddy harvest, the plots under PTR/ MTR were never dried rather remained below saturation. The said water status in different rice system treatments was maintained with need-based irrigation depending upon rainfall. Partial thinning and gap filling (removing some plants from densely populated areas and transplanting into sparsely populated pockets in order to create a uniform density of 22–25 plants per meter row length) in DSR was also done at 30 days after sowing (DAS).
Fertilizers were applied as per the recommendation of the state university. In transplanted rice (manual transplanted and machine transplanted), 30 kg P2O5, 25 kg ZnSO4 and 60 kg N ha−1 was applied; however, in variety PB 1121, N was applied at 90 kg ha−1 as per its higher N requirement and recommendation. In all the rice system treatments, phosphorus (diammonium phosphate, DAP) and zinc sulfate were applied as basal fertilizers, and N (through urea) was broadcast as a post-emergence foliar fertilizer in two equal splits. DAP and zinc sulfate were broadcast at the time of field preparation in transplanted rice (PTR or CTMTR), and just before transplanting in ZTMTR. In DSR, DAP was drilled through a seed-cum-fertilizer drill at the time of sowing, while zinc sulfate was broadcast at the time of field preparation in CTDSR and before the first irrigation in ZTDSR. DAP applied as basal also contributed N and the remaining N was applied in two equal splits at 3 and 6 weeks after transplanting. N was applied at 60 kg ha−1 for the scented variety CSR-30. In DSR, a 25% higher N dose than transplanted rice (as per state recommendation) was applied in two equal splits at 15 and 50 DAS as per findings/ recommendations of State University. Potassium was not used in rice and wheat as well due to its already rich status in soil.
The plot size was 16.5 m × 8.8 m and all the plots were kept weed-free using recommended herbicides. In DSR, pendimethalin 1000 g ha−1 was applied pre-emergence, followed by bispyribac-sodium 25 g ha−1 plus pyrazosulfuron 25 g ha−1, using a knapsack sprayer fitted with a flat fan nozzle at 300–500 L water ha−1, and integrated with need-based manual weeding. In transplanted rice, pretilachlor 1000 g ha−1 or pretilachlor plus pyrazosulfuron 615 g ha−1 were broadcast pre-emergence in standing water.
For recording data on weeds, random patches of 2 m × 2 m were kept unweeded in all the plots. Data on weed density were recorded at 90 DAS from DSR plots, and at 60 days after transplanting in transplanted plots, at two places using a quadrat of 0.5 m × 0.5 m. The crop was harvested in November (5–16 November during different years). The DSR crop matured about a week earlier than the transplanted rice crop; however, for uniformity harvesting was done when the crop had reached maturity in all the plots. Grain yield was recorded from a harvested area of 5.0 m × 5.0 m at two places in each plot. Threshing was accomplished by beating bundles of harvested crop plants with intact panicles on a drum. Grain weight was recorded at 14% moisture after threshing, cleaning and drying. The grains were cleaned by winnowing, and grain yield was expressed as t ha−1.
Winter season
During winter, wheat was grown in ZT situations in all plots (treatment T1–T7) except in T8 in the last five years. This mid-course correction/modification was made to align this treatment with the existing farmers’ practice (PTR-CTW) in the domain area. For CT wheat (T8), the field was prepared under Vattar conditions (moist field conditions) with three plowings followed by planking. To maintain uniformity, the sowing dates were kept the same for all treatments. Wheat was sown during 12–24 November (24, 24, 23, 12, 22, 22 and 20 November in 2010, 2011, 2012, 2013, 2014, 2015, 2016, respectively) with a ZT seed-cum-fertilizer drill using a seed rate of 100–125 kg ha−1 at a row spacing of 20 cm. Wheat varieties PBW550 (2010–11), WH711 (2011–12), DPW621-50 (2012–13), WH1105 (2013–14), HD2967 (2014–15 to 2016–17) were used for sowing. Weed-free conditions were maintained by applying recommended herbicides (sulfosulfuron plus metsulfuron 32 g ha−1 or clodinafop plus metsulfuron 64 g ha−1) with need-based hand weeding. Irrigation was first applied at 21 DAS, with follow-up irrigations at critical stages depending upon rainfall. The irrigation schedule followed in ZT and CT was same. Flood irrigation was applied in bunded beds/plots, and irrigation was stopped when 75% of the plot length was filled with water. Irrigation water use computed/estimated based upon the time taken for irrigation, which was around 10% less in ZT wheat compared to CT wheat. Fertilizers were applied as per state university recommendations (150 kg N ha−1 and 60 kg P2O5 ha−1). The full dose of phosphorus was applied as basal, and N was applied in three equal splits at sowing, 21 and 42 DAS.
For recording data on weeds, random patches of 2 m × 2 m were kept unweeded in all the plots. Data on the weed population were recorded at 75 DAS by placing two quadrats of 0.5 m × 0.5 m size/plot. ZT wheat stayed bit greener and it reached maturity 2–3 days later than CT wheat. However, for uniformity harvesting was done at the same time, when the crop was mature in all the plots. The crop was harvested in April (15–28 April). Grain yield was recorded from a harvested area of 5.0 m × 5.0 m at two places in each plot. Threshing was done with a plot thresher, followed by cleaning. Wheat grain weight was recorded at 14% moisture after threshing, cleaning and drying. The grain yield was expressed as t ha−1.
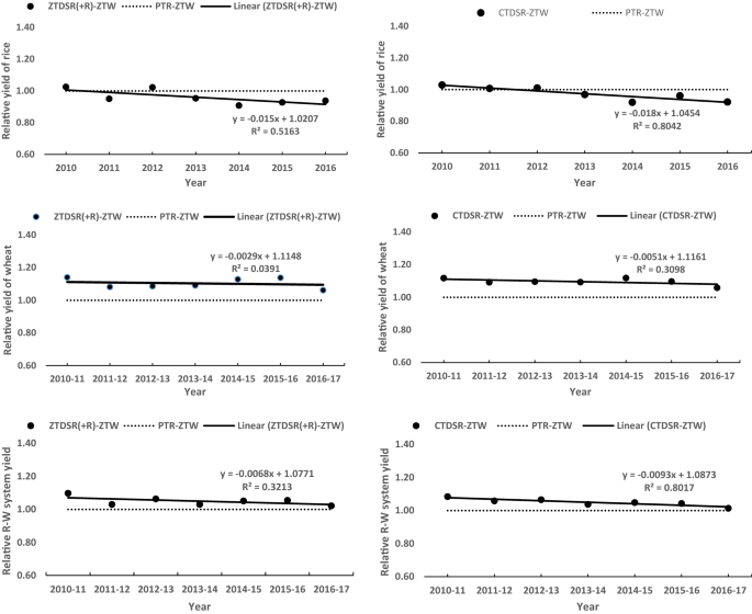
Relative yields of rice, wheat and rice–wheat cropping system under ZTDSR (+ R)-ZTW and CTDSR-ZTW were computed in comparison to PTR-ZTW by dividing their grain yields by yields of PTR-ZTW over the years.
Soil studies
Sampling of soil from 0 to 15 cm depth was done from different plots at the end of the experiment (after harvest of winter season wheat crop) in 2017, and these soil samples were analyzed for pH, electrical conductivity (EC), organic carbon, available phosphorus and potassium. To estimate soil pH, 5 g of soil was mixed with 10 ml of distilled water and it was shaken for 30 min and the pH (1:2) of soil suspension was measured at 25 °C with glass electrode pH meter [35]. EC was measured at 25 °C with conductivity bridge method [36]. Organic carbon was estimated with Walkley and Black’s rapid titration method [37]. Available phosphorus was estimated using the Olsen’s method [38] and potassium with flame photometer method [36]. Sampling of soil from 0–5 cm to 5–10 depths using a core sampler of 4.1 cm diameter was also done with two samples from each plot to record data on bulk density. The soil samples for bulk density were dried in oven at 60 °C temperature for 48 h before computing the bulk density (g cc−1).
Economic evaluation
For economic evaluation of different crop establishment treatments, the net return per hectare for rice and wheat was computed by deducting the respective variable cost of cultivation (cost of preparatory tillage, seed/nursery and treatment, sowing/transplanting, fertilizer, irrigation, weed management, crop protection, harvesting, threshing, transport and interest charges, which also included cost of labor use) from the gross return under different treatments, and converting the value in Indian Rupees (INR) to $ by a conversion factor (1 $ = 67 INR).
Irrigation water input
During 2010–11, 2011–12 and 2012–13 (three years only), the number of times the rice and wheat crops irrigated was recorded under different rice–wheat system treatments, and data on irrigation depths were computed based on the effective discharge of the tube-well (38.4 L second−1) and the time taken for each irrigation. Reduction in irrigation input was also computed for different treatments in comparison with PTR followed by ZT wheat.
Nematode studies
Nematode studies were also undertaken in the last rice season (2016–17) of the experiment. For recording nematode populations, soil samples were drawn from different treatment plots in October 2016 with two samples from each plot, which were then mixed to make representative samples. The nematode population was recorded from 200 cc representative soil sample by adopting the standard procedure of sieving and counting under microscope. Also bio-assay studies were undertaken using these soil samples by growing rice cultivar PB1121 in pots.
Statistical analysis
Before statistical analysis, the data on weed density were subjected to square root transformation (√X + 1) to improve homogeneity of variance. Data were subjected to analysis of variance (ANOVA) [39], and treatment effects assessed using the ‘F’ test at a 5% significance level. The ‘OPSTAT’ software of CCS Haryana Agricultural University, Hisar, India, was used for statistical analysis [40]. The data were analyzed separately for each year. The data on cost of cultivation, net returns and irrigation water input (only for initial three years) were aggregated over the years to get the overall mean under different rice system treatments.
Results
Effect on soil properties
The soil properties recorded at the termination of the experiment, i.e., after wheat harvest (2017) indicated that the soil pH decreased under ZTW sequenced with non-puddled or zero-till DSR/ MTR (8.20–8.32) than in sequence with PTR (8.41–8.42) (Table 1). The electric conductivity of soil did not differ among different crop establishment treatments. Organic carbon was improved under ZTW-ZTDSR/MTR (0.41–0.45%) and it was higher than ZTW/CTW-PTR (0.31–0.32%). Available phosphorus was also higher under ZTW- zero-till/non-puddled methods of rice establishment (12.3–15.2 kg ha−1) than ZTW/CTW-PTR (10.4–10.8 kg ha−1). Similarly, available potassium was also higher under ZTW-zero-till/non-puddled methods of rice establishment (298–334 kg ha−1) than ZTW/CTW-PTR (285–292 kg ha−1); however, the differences were not always significant. Bulk density of soil at 0–5 cm depth was lower under ZTW-zero-till or non-puddled rice (1.41–1.44 g cc−1) than ZTW/CTW-puddled rice (1.55–1.56 g cc−1), whereas bulk density of soil at 5–10 cm depth was not influenced by different treatments (1.58–1.62 g cc−1).
Effect on weeds
Effect on weeds in rice
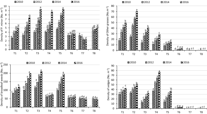
In rice, Echinochloa crus-galli, Leptochloa chinensis, Eragrostis tenella, Dactyloctenium aegyptium, and Brachiaria reptans dominated among grassy weeds; Ammannia baccifera, Euphorbia hirta, and Eclipta prostrata among broadleaf weeds, and Cyperus rotundus among sedges. Differences in weed infestation under different establishment methods were visible even in the first year (2010) of experimentation, with the exception of Echinochloa crus-galli (Fig. 1). Infestation of weeds, in general, was higher under ZT or CT systems of rice establishment (both direct seeded and machine transplanted), compared to puddled manual or machine transplanted rice, and infestation levels continued to build up year after year.
There was no or negligible infestation by other grass weeds (Leptochloa chinensis, Eragrostis tenella, Dactyloctenium aegyptium and Brachiaria reptans) under PTR over the years (Fig. 1). In the first season (2010), infestation of these grasses was significantly higher under CT/ZT rice (8.7–24.7 plants m−2) and it further built up with time (15.3–70.3 plants m−2) compared with puddled transplanting (0.0–3.3 plants m−2). In 2016, density of these grasses was higher under ZT conditions (49.0–70.3 plants m−2) relative to CT methods (15.3–40.7 plants m−2) of rice establishment. CTDSR in rotation with puddled rice (T6) did not exaggerated infestation of other grass weeds compared to continuous CT/ZT rice. Infestation of these weeds was higher under DSR than MTR, and it further reduced with residue retention.
Similar to grassy weeds, there were more broadleaf weeds under CT or ZT rice (61.0–101.3 plants m−2) than PTR (50.0–55.3 plants m−2) during rainy season of 2010. These did not increase with time under PTR; however, increased under CT or ZT rice (76.0–209.7 plants m−2), and such differences with PTR (45.3–61.7 plants m−2) became wider and wider over the years (Fig. 1).
In 2016–17, infestation by broadleaf weeds in CT or ZT situations was invariably higher under machine transplanting (195.0–209.7 plants m−2) than direct seeding (76.0–198.3 plants m−2). Within direct seeding, the density of broadleaf weeds was higher under ZTDSR (118.7–198.3 plants m−2) compared to CTDSR (76.0 plants m−2); however, residue retention in ZTDSR further lowered infestation of broadleaf weeds (118.7 plants m−2 versus 198.3 plants m−2 without residues). CTDSR in rotation with PMTR (T6) just for one year also reflected lower density of broadleaf weeds compared to continuous CT/ZT rice and it was as good as PTR.
Throughout the experimentation, there was no or little infestation by sedges (0.0–2.7 plants m−2) under puddled conditions (Fig. 1). Infestation by sedges became higher under non-puddled or ZT conditions (12.7–37.3 plants m−2) in the first season of the experiment itself, which further increased with time (32.3–76.7 plants m−2). Under ZT/CT conditions in 2016, sedge infestation (Cyperus rotundus) was highest in DSR (42.7–76.7 plants m−2), followed by MTR (28.7–36.3 plants m−2) and puddled rice (0.0–2.3 plants m−2). CTDSR in rotation with puddled rice (T6) also reflected lower density of sedges compared to continuous CT/ZT rice.
After seven years of experimentation (i.e., by the rainy season of 2016), infestation by E. crus-galli was higher under CT or ZT (5.0–9.3 plants m−2) compared to puddled conditions (2.3–5.0 plants m−2) (Fig. 1). Residue retention in ZTDSR resulted in the lowest density of E. crus-galli among all the non-puddled or ZT systems of rice establishment; however, the differences were not always significant. Inclusion of CTDSR in rotation with PMTR after four years (T6) did not allow buildup of E. crus-galli population compared to continuous CT/ZTDSR. Infestation with E. crus-galli in rice was 54% less in PTR-ZTW than PTR-CTW system; however, its infestation under both was very less (2.3–5.0 plants m−2).
Effect on weeds in wheat
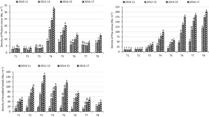
Infestation of Phalaris minor and Poa annua among grassy weeds; and Coronopus didymus, Anagallis arvensis, Melilotus indica, and Malva parviflora among broadleaf weeds were recorded across different plots. In 2010–11, P. minor infestation in ZT wheat was lower in sequence with ZT rice (2.7–4.0 plants m−2) than after non-puddled/puddled rice (6.0–8.7 plants m−2) (Fig. 2). During 2010–11, the infestation of P. minor in wheat was significantly less in ZTW grown in sequence with ZT-DSR along with residue. Infestation of this weed increased in ZTW when it was grown either in sequence with non-puddled DSR, MTR or PTR. In subsequent years, almost identical trend was found in case of P. minor population; however, its density increased compared to 2010–11 more particularly in the plots under ZTW grown in sequence with non-puddled DSR/MTR, and it was also still higher in CTW sequenced with PTR.
The difference became more pronounced with time, and in 2016–17, P. minor infestation was significantly higher in wheat plots which were in sequence with no-puddled MTR/DSR (20.3–32.7 plants m−2), followed by puddled rice (7.3-0.13.3 plants m−2) and ZT rice (2.0–2.24 plants m−2). CTDSR in rotation (just for a year) with puddled rice (T6) continued reflecting lower density of P. minor compared to continuous CT/ZT rice. ZT wheat had significantly lower P. minor infestation from the beginning itself and during 2016–17, ZTW had 3.0–7.3 plants m−2 compared to 12.7 plants m−2 in CT wheat.
Density of Poa annua was similar in ZTW grown in sequence with ZT-DSR (+ or − residue), ZT/non-puddled-MTR but it was significantly higher in ZTW grown in sequence with PTR (manual or MTR) and non-puddled DSR in 2010–11 (Fig. 2). During 2012–13, 2014–15 and 2016–17, the population of P. annua increased compared to 2010–11. Infestation of P. annua was more in ZTW or CTW grown in sequence with PTR, non- puddled MTR/DSR compared to ZT-DSR with or without residue. In 2010–11, emergence of Poa annua in wheat was significantly higher after puddled rice (46.0–51.3 plants m−2) than ZT/CT rice (11.3–31.3 plants m−2). The difference became more pronounced with time. In 2016–17, emergence of Poa annua in wheat was highest in plots following PTR (176.3–201.7 plants m−2), closely followed by CT rice (57.7–98.3 plants m−2) and ZT rice (11.3–20.3 plants m−2). Poa annua infestation in wheat was also lower following ZTDSR (11.3–13.0 plants m−2) relative to ZTMTR (36.7 plants m−2). In wheat following DSR, Poa annua was more abundant after CTDSR than ZTDSR.
Population of broadleaf weeds was not affected much by different CE methods during 2010–11. But their infestation increased in ZTW in sequence with PTR, non-puddled DSR/MTR, ZT-DSR without residue, and it was statistically lower in ZTW after ZT-DSR with residues, and CTW-PTR over the years. At the start of the experiment (2010–11), infestation by broadleaf weeds was similar across all establishment methods (Fig. 2). In 2016–17, there were more broadleaf weeds in wheat following MTR (74.0–117.3 plants m−2) than DSR (47.7–103.0 plants m−2). The lowest number of broadleaf weeds in wheat was recorded in sequence with PTR (6.19–8.66 plants m−2) and ZTDSR plus residues (6.98 plants m−2). In general, avoidance of puddling resulted in greater infestation by Phalaris minor and broadleaf weeds; while the reverse was true for Poa annua. ZT in wheat also encountered lower weed infestation than CT wheat. However, infestation of broadleaf weeds under PTR-ZTW was similar to PTR-CTW. CTDSR in rotation with puddled rice (T6) still reflected lower density of broadleaf weeds compared to continuous CT/ZT rice.
Effect on crops
Effect on rice crop
Over the years and in general, the differences in grain yield of rice under CTDSR (2.39–3.94 t ha−1) were non-significant compared to PTR (2.60–4.07 t ha−1) indicating its medium-term sustainability (Table 2). ZTDSR with or without residues also had at par grain yield to PTR, except minor variations in 2013 and 2015. ZTMTR or CTMTR (2.48–4.31 t ha−1) too had yields statistically similar (non-significant) to PTR; except that ZTMTR in 2011 and CTMTR in 2013 had lower yields than PTR. Relative yield difference of rice in ZTDSR with residue was non-significant to ZTDSR without residue. ZTDSR gave non-significantly/ similar yield to CTDSR except higher yield under CTDSR in 2011. The grain yield of rice in ZTMTR was also non-significant to CTMTR with minor variations. However, the yield trends under ZTMTR/CTMTR and PMTR were inconsistent.
Effect on wheat crop
Grain yields of wheat (5.03–6.90 t ha−1) following CT/ZT rice establishment were higher than puddled systems (4.52–6.37 t ha−1) over the years (Table 2). During 2012–13 to 2014–15, the grain yield of ZTW was higher or similar CTW each in sequence with PTR. Wheat yield increased by 0.4–0.6 t ha−1 when it was grown after CT or ZT rice as compared to PTR. Thus, the productivity of the RWCS was higher under non-puddled or ZT crop establishment methods compared with conventional PTR or CT wheat. It indicated the sustainability in terms of higher productivity of wheat grown after ZT/CT rice (DSR/MTR) vis-à-vis PTR, and also sustainable productivity of ZT wheat vis-à-vis CT wheat on a medium-term basis. Stop gap intervention of CTDSR in rotation with puddled rice (T6) for a year also improved grain yield of wheat compared to what was realized after PTR.
Relative yields
Relative yields of ZT wheat in sequence with ZTDSR (with or without residues) or ZTMTR were similar to ZT wheat after CTDSR/CTMTR, with few exceptions of lower yields after ZT rice in 2011–12 and 2012–13. The graphs plotted for relative yield of rice and wheat under ZTDSR(+ R)-ZTW and CTDSR-ZTW in comparison with PTR-ZTW indicated that relative yield of rice under ZT/CTDSR-ZTW system was initially similar to PTR-ZTW but then it showed slight declining trend with time (Fig. 3). However, relative yield of wheat remained higher under ZT/CTDSR-ZTW than PTR-ZTW over the years, which ultimately resulted in higher system yields.
Economics
Cost of cultivation
In rice, the average variable cost of cultivation under ZT/CT establishment methods ($ 417–491 ha−1) was lower than PTR ($ 555 ha−1) (Table 3). Cost of cultivation was lower under ZT ($ 417–471 ha−1) compared with CT rice ($ 448–491 ha−1) and DSR ($ 417–448 ha−1) compared with MTR ($ 471–491 ha−1). The major contributing factors to the higher cost of cultivation under PTR were preparatory tillage, seed/nursery and establishment, and irrigation compared to ZT/CTDSR or MTR. The cost of fertilizer was slightly higher under DSR than transplanted rice, and the cost of weed management was also higher under DSR ($53–65 ha−1) than PTR ($ 15 ha−1), and likewise ZT rice ($ 45–65 ha−1) than CT rice ($ 30–53 ha−1). Manual labor, a major factor to escalate cost of cultivation, was less in ZT/CTDSR (30–31%) and MTR (22%) than PTR.
In wheat, the average variable cost of cultivation under different rice system treatments was similar, except the cost was higher under CT wheat ($ 414 ha−1) than ZT wheat ($ 354 ha−1) mainly due to the cost incurred on preparatory tillage ($ 54 ha−1 vs. $ 0 ha−1), and interest accrued ($ 18 ha−1 vs. $ 15 ha−1). The other costs incurred on seed/ establishment ($ 57 ha−1), fertilizer ($ 70 ha−1), irrigation ($ 61 ha−1), weed management (26 ha−1), harvesting and threshing ($ 129 ha−1) were similar under different establishment methods.
Net returns
For rice, the net economic returns were invariably higher or statistically similar under ZT/CT rice establishment methods in comparison to PTR, with few exceptions (Table 4). This was primarily due to decreased cost of production as elaborated above (Table 3). The net returns from ZTDSR were also invariably similar to CTDSR (Table 4). The overall mean of net returns was also higher under ZTDSR/ZTMTR/CTDSR than PTR. PMTR was the least remunerative of all the establishment methods. Overall, ZT/CT rice system treatments particularly DSR were more remunerative.
The net returns in ZT wheat in sequence with ZT or CT rice were more than when it was grown in sequence with PTR or PMTR (Table 4). Further, ZT wheat was more remunerative than CT wheat. Economic viability of ZT wheat after ZT/CT rice, particularly after DSR, was clearly visible on medium-term basis.
Irrigation water input
On an average of three rainy seasons (2010 to 2012), the maximum irrigation water input was under puddled rice (132–135 cm) (Table 5). ZTDSR with residues had the lowest irrigation water input (102 cm) followed by ZTDSR without residue and CTDSR. There was 23% reduction in irrigation input under ZTDSR with residue and 18% under ZTDSR without residue or CTDSR as compared to PTR. The irrigation water productivity (27.5–29.9 kg ha cm−1) of ZTDSR with or without residue and CTDSR was also higher than that of PTR (23.7 kg ha cm−1).
Based on average of three winter seasons (2010–11 to 2012–13), the irrigation water input in wheat was similar under all the methods of crop establishment (38–41 cm) (Table 5). The irrigation water productivity of ZTW after ZT rice (DSR/MTR) (144.1–145.4 kg ha cm−1) was higher than after conventional till or puddled transplanted rice (PTR/MTR) (135.6–138.3 kg ha cm−1).
Effect on nematodes
Number of plant parasitic nematodes was lower under ZT/CTDSR (192–292 per 200 cc soil) as compared to PTR (414–456) (Table 6). Rice root knot nematodes were present only under PTR (96–104) and CTMTR (52), but no infestation of this pathogen was found under ZT/CTDSR systems. Whereas, saprozoic nematode population was more under ZT/CTDSR (904–1156) than PTR (492–666). These were higher under ZT systems and/ or with crop residues. Maximum infestation of root knot nematode in bio-assay studies was recorded under PTR (21–24 galls plant−1) than CTMTR (9) and ZT/CTDSR (0).
Discussion
Impact of planting methods on weed dynamics and nematodes
Rice
Weed intensity and diversity was higher under continuous ZT/CT rice compared to PTR on medium-term basis (7 years’ study). The findings reaffirm earlier reports largely based on short-term studies [23, 41,42,43,44,45,46,47,48]. This could be because weeds emerge simultaneously with crop seedlings in DSR, and grow more quickly in moist soil than in PTR [25], and there is no seedling size/heading advantage. Lower weed emergence under PTR could be due to combined effect of puddling and stagnating water. Intervention of CTDSR in rotation with puddled rice (T6) also did not allow build up of weeds compared to continuous CT/ZTDSR. An option for effective weed management could be through retention of wheat crop residue in ZTDSR as evidenced from this study. The benefits of residue retention for weed management have been well documented for various crops [32, 42, 49]. But, the availability of wheat residues and its economic cost could be a constraint in some situations (fodder scarcity areas), and therefore inclusion of herbicides as integrated weed management tool would be imperative. A wide range of pre- and post-emergence herbicides are currently available and can be used alone or in combination to effectively control weed emergence [41, 44, 45, 47, 50,51,52,53]. Besides this, integration of herbicides with manual or mechanical weeding in DSR and MTR, particularly under non-puddled situations, would provide long-term solutions for managing complex weed flora. However, the availability of new molecules, awareness about their proper use, and the development and inclusion of herbicide-tolerant rice cultivars could be more viable and integral strategies for achieving higher weed control efficacy through integrated weed management in DSR and could lead to its faster adoption.
Number of plant parasitic and root knot nematodes were lower under ZT/CTDSR as compared to PTR. Rice root knot nematode was recorded only under PTR and CTMTR, but no infestation under ZT/CTDSR systems. Whereas, saprozoic (favorable/ friendly) nematode population was more under ZT/CTDSR than PTR. These were higher under ZT systems and or with crop residues, probably due to presence of some or more crop residues under ZT systems. Maximum infestation of root knot nematode in bio-assay studies was also found under PTR compared to CT/ZT rice establishment methods, indicating DSR to be safe from nematodes even after seven years. This study ruled out the speculation that the nematode infestation increases under DSR systems or continuous ZT-RWCS. Contrarily, root-knot nematodes have also been reported to pose severe constrain when PTR was shifted with DSR in Philippines [54, 55].
Wheat
Broadleaf weed infestation of wheat was lowest in sequence with PTR and ZTDSR (with wheat residues) (as we also hypothesized in the present study). Avoidance of puddling resulted in higher infestation by Phalaris minor and broadleaf weeds in wheat; while, the reverse was true for Poa annua. This could be a cause of concern, as Phalaris minor infestation in wheat following rice is already a serious threat to wheat production in north western India. Therefore, rotating DSR with PTR intermittently could be important to keep a check on flaring up of this weed menace. Puddling facilitates water stagnation in the rice phase and this might be more detrimental to Phalaris minor seed longevity compared with the aerobic conditions in DSR, which could have resulted in its comparatively higher infestation in wheat grown in sequence with DSR than PTR. Infestation of P. minor in wheat was lower in ZTW than CTW in present study, which reaffirms the earlier reports [42, 56,57,58,59]. This might be because ZT in wheat could create unfavorable conditions for the emergence of P. minor. To mitigate this weed in future, there is a need to adopt ZT in wheat as part of an integrated weed management strategy. Reduced infestation of Poa annua in non-puddled rice situations realized in present study appeared favorable/ advantageous; however, this weed otherwise is comparatively less damaging than Phalaris minor.
Impact of planting methods on productivity and profitability
The grain yield of rice under non-puddled situations (DSR or MTR with and without residues) was statistically similar to PTR, with a few exceptions and minor variation over the years. A higher number of panicles in DSR relative to PTR might have compensated for lower 1000-grain weight and grains per panicle (data not given). Wheat yield increased by 0.4–0.6 t ha−1 when it was grown after CT/ZT rice than PTR. This was due to improved number of spikes, 1000-grain weight and grains per panicle. Higher spike density in wheat after CT/ZT rice systems could be due to higher tiller production (data not given). PTR has already been widely reported to have negative impacts (soil compaction) on subsequent crops like wheat in rotation [7, 8]. Increase in ZT wheat as compared to CT wheat, and wheat yield after DSR as compared to PTR is due to their positive impact on yield attributing characters due to favourable conditions [60].
Reduction in P. minor infestation, improved fertilizer utilization through better seed to soil contact, and congenial soil conditions in the root zone through residue retention in ZT could have favored the ZT wheat crop compared with the CT crop. An increase in the productivity of wheat in ZT compared to CT, from 1–15% in northwest to 9–36% in northeast India, has already been reported [61, 62]. Irrigation water productivity of DSR on an average of three years was also higher than PTR during 2010–12. While comparing direct seeding and transplanting methods on loamy sand soil at Ludhiana, it was found that water productivity varied from 0.36 to 0.46, i.e., 25% by adopting DSR with about 18% less irrigation water consumption and with comparable yield as compared to transplanted rice [63].
Relative yields of ZT wheat in sequence with ZTDSR (with or without residues) or ZTMTR were similar to ZT wheat after CTDSR/CTMTR, with few exceptions of lower yields after ZT rice in 2011–12 and 2012–13. The graphs plotted for relative yield of rice and wheat under ZTDSR (+ R)-ZTW and CTDSR-ZTW in comparison with PTR-ZTW, indicated that relative yield of rice under ZT/CTDSR-ZTW was initially similar to PTR-ZTW which showed slight declining trend with time. However, relative yield of wheat remained higher under ZT/CTDSR-ZTW than PTR-ZTW over the years, which overall resulted in higher system yields.
Compared with the traditional method of manual transplanting in puddled fields (PTR), the cost of cultivation in DSR was found to be reduced through input (irrigation water and cultivation) and labor savings (lack of nursery raising, puddling and transplanting), and likewise it reduced in non-puddled MTR (absence of puddling and manual transplanting). There was a 30–31% saving of labor in ZT/CTDSR and 22% in ZT/CTMTR as compared with PTR, in spite of labor being required for manual weeding in DSR. A reduction in total labor requirement under DSR compared to PTR has been reported elsewhere [17, 18]. The net returns from ZT/CT rice-based systems were also invariably higher than PTR, which is in conformity with earlier findings in Haryana, India [41, 44,45,46, 64, 65]. Present study reaffirmed that ZT wheat further added to the overall net returns over CT wheat. ZT wheat in the rice–wheat system has already been reported to be more productive, profitable and sustainable than CT Wheat [31, 33, 34, 49, 59, 66]. The present study clearly indicated that the productivity and profitability of ZT wheat was higher than that of CT wheat, and it was further improved when ZTW was grown in sequence with CT/ZT rice than PTR. It can therefore even help compensate for higher yields often reported in PTR than DSR.
System-based stability
The sustainability of the rice–wheat cropping system in India is in question, particularly in the northwest, due to reduction in the organic matter content of soil, depletion of water resources and deteriorating water quality (including ground water reservoirs), burning of residue, reduced productivity, unsatisfactory product quality, and environmental pollution. The results of the present investigation indicate that savings of water and labor could be achieved by switching over from traditional PTR to CT/ZTDSR. There was improvement in organic carbon under ZTW-ZTDSR/ MTR (0.41–0.45%) than ZTW- PTR (0.31–0.32%), and available phosphorus and potassium were also higher under ZTW-zero-till/ non-puddled methods of rice establishment than ZTW/CTW-puddled systems. Bulk density of soil at 0–5 cm depth was lower under ZTW-zero-till or non-puddled rice (1.41–1.44 g cc−1) than ZTW/CTW-puddled rice (1.55–1.56 g cc−1). DSR provides reduction in irrigation input due to avoidance of continuous flooding [37, 67]. Overall, ZT wheat in sequence with ZT/CT rice vis-à-vis PTR were realized more sustainable along with improved productivity and profitability of the system. Additionally, adverse environmental impacts are also reduced [7, 8]. Residue retention in ZTDSR improved water and crop productivity besides reducing weed pressure. Reduction in greenhouse gases and global warming potential leading to overall environmental protection and system sustainability has also been well documented from same ecology earlier also [68]. Similarly, retention of rice residues in wheat may also add to the benefits, which needs to be further confirmed in long-term studies on ZT-ZT rice–wheat system. Long-term studies are also required to optimize the periodicity of rotating PTR with DSR, if need be, for combating weeds (particularly expected problematic aerobic weeds weedy rice, and even wild rice), harnessing the envisaged full benefits of DSR and overall sustainability issues. However, based on present 7-year medium-term study and by taking relevant support from similar learnings from elsewhere, we can anticipate multifold benefits by adopting these system-based resource conserving technologies/ establishment methods at scale.
Conclusions
In India, the mindset of farmers is fast switching over from traditional, intensive wet tillage/puddling and resource inefficient crop establishment methods (PTR/CTW), to alternate resource conserving crop establishment methods (DSR/MTR/ZTW). In this context, the present medium-term (7 years) system-based study enables to draw important inferences with all positive notes regarding the impact of alternate planting methods on the productivity, profitability and stability of rice–wheat cropping system. ZT in wheat was reaffirmed to address many ongoing concerns with respect to weed dynamics, nematodes, soil health, productivity and profitability. In rice also, yield was maintained or improved simply by switching over from PTR to DSR/MTR in ZT/CT soil conditions besides attaining higher system productivity and farm income. The relative yields of ZT-wheat and DSR in RWCS were consistently higher during the study, which appear quite helpful in addressing the sustainability-related issues/concerns of the RWCS. These alternative establishment methods also significantly reduced the cost of cultivation resulting into higher profitability. Additionally, there was significant saving in labor, reduction in irrigation water input in DSR/MTR and also improvement in soil properties under CT/ZT situations compared to PTR, and these are important keys to address long-term sustainability of rice–wheat cropping system. However, the weed flora changed rapidly, becoming very complex in rice and also in wheat to some extent, once rice cultivation was switched from PTR to ZT/CT methods. Therefore, very effective integrated weed management strategies (including herbicides, herbicide tolerant competitive varieties and manual/mechanical methods) are pre-requisites for the success of non-puddled rice particularly in ecologies where exacerbated weed problems could jeopardize its long-term adoption. Other easy and possible option would be to retain residues in ZT systems and rotate DSR with PTR periodically to reverse the shift in weed flora along with harnessing the benefits of DSR in rice–wheat system; however, further research is required to optimize the scheduling of such rotation. On a positive note, the infestation of root knot nematode and plant parasitic nematodes in rice was lower under DSR than PTR. These findings will help bridge up some of the existing knowledge gaps and change mindset of researchers, policy makers and farmers for accelerated adoption of alternate planting methods in rice–wheat cropping system at scale. Further research efforts are required to coin/layer the potential benefits of short/medium high yielding rice varieties/hybrids and long duration high yielding wheat varieties along with improved planting methods and agronomic practices and generate evidence-based recommendations suited to different landscapes/agro-ecologies.
References
Mahajan AG, RD, (2009) The rice-wheat cropping system. In: Mahajan A, Gupta RD (eds) Integrated Nutrient Management (INM) in a Sustainable Rice-Wheat Cropping System. Springer, Dordrecht, pp 109–117
IASRI (2019) Agricultural Research Data Book. ICAR-IASRI, New Delhi, P 337
Ladha JK, Dawe D, Pathak H, Padre AT, Yadav RL, Singh B, Singh Y, Singh P, Kundu AL, Sakal R, Ram N, Regmi AP, Gami SK, Bhandari AL, Amin R, Yadav CR, Bhattarai EM, Das S, Aggarwal HP, Gupta RK, Hobbs PR (2003) How extensive are yield declines in long-term rice-wheat experiments in Asia? Field Crops Res 81:159–180
Pathak H, Ladha J, Aggarwal P, Peng S, Das S, Singh Y, Singh B, Kamra S, Mishra B, Sastri A, Aggarwal H, Das D, Gupta R (2003) Trends of climatic potential and on-farm yields of rice and wheat in the Indo-Gangetic Plains. Field Crops Res 80:223–234
Rodell M, Velicogna I, Famiglietti JS (2009) Satellite-based estimates of groundwater depletion in India. Nature 460:999-U980
Balloli SS, Ratan RK, Garg RN, Singh G, Krishnakumari M (2000) Soil physical and chemical environment influenced by duration of rice-wheat cropping system. J Indian Soc Soil Sci 48:75–78
Kumar V, Bellinder RR, Gupta RK, Malik RK, Brainard DC (2008) Role of herbicide- resistant rice in promoting resource conservation technologies in rice–wheat cropping systems of India: a review. Crop Prot 27:290–301
Pathak H, Tewari AN, Sankhyan S, Dubey DS, Mina U, Singh VK, Jain N, Bhatia A (2011) Direct-seeded rice: potential, performance and problems – a review. Curr Adv Agric Sci 3:77–88
Bell RW, Haque ME, Islam MA, Alam MK, Jahiruddin M (2017) Long-term impact of conservation agriculture in rice-based cropping systems. In: 7th World Congress on Conservation Agriculture, 1–4 August, 2017, Rosario, Argentina. pp 168
Sudhir-Yadav HE, Kukal SS, Gill G, Rangarajan R (2011) Effect of water management on dry seeded and puddled transplanted rice: Part 2: water balance and water productivity. Field Crops Res 120:123–132
Bhuiyan SI, Sattar MA, Khan MAK (1995) Improving water-use efficiency in rice irrigation through wet-seeding. Irrig Sci 16:1–8
Kumar V, Ladha JK (2011) Direct-seeding of rice: recent developments and future research needs. Adv Agron 111:297–413
Dawe D (2005) Increasing water productivity in rice based systems in Asia-past trends, current problems and future prospects. Plant Prod Sci 8:221–230
Ho Nai Kin, Romli Z (2002) Impact of direct seeding on rice cultivation: lessons from the Muda area of Malaysia. In: Pandey S, Mortimer M, Wade L, Tuong TP, Lopez K, Hardy B (Eds) Proceedings of the Direct Seeding: Research Issues and Opportunities, 25–28 January 2002, IRRI, Los Banos, Philippines/Bangkok. pp 383
Balasubramanian V, Hill JE (2000) Direct seeding of rice in Asia: emerging issues and strategic research needs for the 21st century. In: Pandey S, Mortimer M, Wade L, Tuong TP, Lopez K, Hardy B (Eds.), Proceedings of the Direct Seeding: Research Issues and Opportunities, 25–28 January 2000, IRRI, Los Banos, Philippines/Bangkok. pp 15–39
Tabbal DF, Bouman BAM, Bhuiyan SI, Sibayan EB, Sattar MA (2002) On farm strategies for reducing water input in irrigated rice: case studies in the Philippines. Agric Water Manage 56:93–112
Kumar V, Ladha JK, Gathala MK (2009) Direct drill-seeded rice: a need of the day. In: Annual Meeting of Agronomy Society of America, 1–5 November, 2009, Pittsburgh
Rashid MH, Alam MM, Khan MAH, Ladha JK (2009) Productivity and resource use of direct (drum)-seeded and transplanted rice in puddled soils in rice-rice and rice-wheat ecosystem. Field Crops Res 113:274–281
De D (1986) Technology development and the spread of direct seeded flooded rice in South-East Asia. Exp Agric 22:417–426
Pathak H, Saharawat YS, Gathala MK, Mohanty S, Ladha JK (2009) Simulating environmental impact of resource-conserving technologies in the rice-wheat system of the Indo-Gangetic Plains. In: Ladha JK et al. (Eds), Integrated Crop and Resource Management in the Rice-Wheat System of South Asia. IRRI, Los Banos, Philippines, pp 321–333
Giri GS (1998) Effect of rice and wheat establishment techniques on wheat grain yield. In: Hobbs PR, Bhandari Raj (Eds), Proceedings of Rice-wheat Research Project Workshop, India. pp 65–68
Singh S, Bhushan L, Ladha JK, Gupta RK, Rao AN, Sivaprasad B (2006) Weed management in dry-seeded rice (Oryza sativa L.) cultivated on furrow irrigated raised bed planting system. Crop Prot 25:487–495
Rao AN, Johnson DE, Sivaprasad B, Ladha JK, Mortimer AM (2007) Weed management in direct-seeded rice. Adv Agron 93:153–255
Singh S, Ladha JK, Gupta RK, Bhushan L, Rao AN, Sivaprasad B, Singh PP (2007) Evaluation of mulching, intercropping with Sesbania and herbicide use for weed management in dry-seeded rice (Oryza sativa L.). Crop Prot 26:518–524
Khaliq A, Matloob A (2011) Weed crop competition period in three fine rice cultivars under direct seeded rice culture. Pakistan J Weed Sci Res 17:229–243
Chauhan BS (2012) Weed ecology and weed management strategies for dry seeded rice in Asia. Weed Technol 26:1–13
Chauhan BS, Johnson DE (2011) Growth response of direct seeded rice to oxadiazon and bispyribac-sodium in aerobic and saturated soils. Weed Sci 59:119–122
Chauhan BS, Opeña J (2012) Effect of tillage systems and herbicides on weed emergence, weed growth, and grain yield in dry-seeded rice systems. Field Crops Res 137:56–69
Kamboj BR, Yadav DB, Yadav A, Goel NK, Gill G, Malik RK, Chauhan BS (2013) Mechanized transplanting of rice (Oryza sativa L.) in non-puddled and no-till conditions in the rice-wheat cropping system in Haryana, India. Am J Plant Sci 4:2409–2413
Malik RK., Kamboj B, Jat ML, Sidhu HS, Bana A, Singh V, Sharawat Y, Pundir A, Sahnawaz R, Anuradha T, Kumaran N, Gupta R (2011) No-till and Unpuddled Mechanical Transplanting of Rice. Cereal Systems Initiative for South Asia, New Delhi, India
Yadav A, Malik RK, Banga RS, Singh S, Chauhan BS, Yadav DB, Murty R, Malik RS (2002) Long-term effects of zero tillage on wheat in rice-wheat cropping system. International workshop on herbicide resistance management and zero tillage in rice-wheat cropping system, 4–6 March, 2002. Hisar, India, pp 158–161
Yadav A, Malik RK, Jaipal S, Singh S, Singh R, Ram K, Singh S (2005) Sustainability of long-term zero-tillage in wheat and its impact on the productivity of rice. In: Proceedings of Workshop on acceleration of resource conservation technology in rice-wheat systems of the Indo-Gangetic Plains, 1–2 June, 2005, Hisar, India, pp 23–31
Malik RK, Kumar V, Yadav A, McDonald A (2014) Conservation agriculture and weed management in South Asia: perspective and development. Indian J Weed Sci 46:31–35
Malik RK, Kumar V, Yadav A, McDonald A (2015) Weed Science and sustainable intensification of cropping systems in South Asia. In: Proceedings 25th Weed Science Society Conference on Weed Science for Sustainable Agriculture, Environment and Biodiversity (Eds A.N. Rao and N.T. Yaduraju), 13–16 October, 2015, Hyderabad, India. Vol I (Plenary & Lead Papers): 67–78
Jackson ML (1973) Soil Chemical Analysis. Prentice Hall, New Jersey, USA
Richards LA (1954) Diagnosis and improvement of saline and alkali soils. Hand Book No. 60, USDA, Washigton DC
Walkley AJ, Black CA (1934) Estimation of soil organic carbon by the chromic acid titration method. Soil Sci 37:29–38
Olsen SR, Cole CV, Watanable FS, Dean LA (1954) Estimation of available phosphorus in soils by extraction with sodium bicarbonate. Circular 939, USDA, Washington DC
Fisher RA (1958) Statistical Methods for Research Workers. Oliver and Boyd, Edinburgh, London
Sheoran OP, Tonk DS, Kaushik LS, Hasija RC, Pannu RS (1998) Statistical software package for agricultural research workers. In: DS Hooda, RC Hasija (Eds.) Recent Advances in Information Theory, Statistics & Computer Applications, Department of Mathematics & Statistics, CCS HAU, Hisar, pp 139–143
Kumar A, Dharam-Bir, Gill GS (2014) Changes in weed flora and its management in direct seeded rice in north western India. In: Weed Science Society of America & Canadian Weed Science Society Joint Annual Meet 2014, 3–6 February, 2014, Vancouver, BC, Canada. Abstract No. 338
Kumar V, Singh S, Chhokar RS, Malik RK, Brainard DC, Ladha JK (2013) Weed management strategies to reduce herbicide use in zero-till rice-wheat cropping systems of the Indo-Gangetic Plains. Weed Technol 27:241–254
Singh VP, Singh SP, Dhyani VC, Tripathi N, Banga A, Yadav VR (2013) Effect of establishment methods on shifting of weed flora in rice-wheat cropping system. In: Proceedings of 24th Asian-Pacific Weed Science Society Conference, 22–25 October, 2013, Bandung, Indonesia, pp 494
Yadav A, Dharam-Bir, Gill G, Kamboj BR, Dahiya S, Lathwal OP, Garg, R (2009) Scope of direct seeded rice in Haryana. In: Proceedings of National workshop on scope and problems of direct seeded rice, 16 September, 2009, Ludhiana, India, pp 26–37
Yadav A, Yadav DB (2010). Direct seeded rice: problems, prospects and the way forward. In: Proceedings of ISWS national symposium on integrated weed management in the era of climate change, 21–22 August, 2010, New Delhi, India, pp 10
Yadav DB, Yadav A, Bishnoi DK, Kamboj BR, Gill G (2016) Direct seeding as an alternate establishment method of rice and emerging issues in Indo-Gangetic plains of north-western India. In: 7th International Weed Science Congress, 19–25 June, 2016, Prague, Czech Republic, pp 32 (Abstract ID: 637)
Yadav DB, Yadav A, Kamboj BR, Dahiya SS, Gill G (2011) Direct seeded rice in Haryana and options for pre-emergence herbicides. Environ Ecol 29:1745–1751
Yadav DB, Yadav A, Malik RK, Gill G (2009b) Weed dynamics under different establishment techniques of direct seeding and transplanting of basmati rice. In: Abstracts of 4th World congress on conservation agriculture, 4–7 February, 2009, New Delhi, India, pp 122
Malik RK, Yadav A, Singh S, Malik RS, Balyan RS, Banga RS, Sardana PK, Jaipal S, Hobbs PR, Gill G, Singh S, Gupta RK, Bellinder R (2002) Herbicide Resistance Management and Evolution of Zero-tillage - A Success Story. Research Bulletin, CCS Haryana Agricultural University, Hisar, India, P 43
Yadav DB, Yadav A, Malik RK, Gill G (2011) Combination of bispyribac-sodium with azimsulfuron or pyrazosulfuron for control of complex weed flora in direct seeded rice. Environ Ecol 29:1840–1844
Yadav DB, Yadav A, Malik RK, Gill G (2011) Efficacy of azimsulfuron alone and as tank-mix with metsulfuron-methyl for weed control in wet direct seeded rice. Environ Ecol 29:1729–1735
Yadav DB, Yadav A, Malik RK, Gill G (2011) Evaluation of bispyribac in combination with other herbicides for post-emergence control of complex weed flora in direct seeded rice. Environ Ecol 29:1832–1836
Yadav DB, Yadav A, Malik RK, Gill G (2011) Optimization of dose and time of application of bispyribac-sodium for weed control in direct seeded rice. Environ Ecol 29:1736–1741
Parsad R (2011) Aerobic rice systems. Adv Agron 111:2017–2247
Prot JC, SorianoIRS MDM (1994) Major root parasitic nematodes associated with irrigated rice in the Philippines. Fund App Nemato 17:75–78
Franke AC, Singh S, McRoberts N, Nehra AS, Godara S, Malik RK, Marshall G (2007) Phalaris minor seedbank studies: longevity, seedling emergence and seed production as affected by tillage regime. Weed Res 47:73–83
Laxmi V, Gupta RK, Swarnalatha A, Perwaz S (2003) Environmental impact of improved technology - farm level survey and farmers’ perception on zero tillage (Case Study). Presented at Roles of Agriculture Workshop, 20–22 October, 2003, Rome, Italy
Singh S (2007) Role of management practices on control of isoproturon-resistant littleseed canary grass (Phalaris minor) in India. Weed Technol 21:339–346
Yadav A, Malik RK (2005) Herbicide resistant Phalaris minor in wheat – a sustainability issue. Resource Book, Department of Agronomy and Directorate of Extension Education, CCSHAU, Hisar, India, P 152
Tripathi SC, Chauhan DS (2001) Effect of tillage and fertilizer on productivity of wheat (Triticum aestivum) under dry seeded and transplanted rice conditions. Indian J Agron 46(1):107–111
Gautam US, Singh, SS, Kumar U, Pal AB (2002) Economics and dissemination of zero-tillage wheat under participatory research IVLP through TAR in Sone Canal Command, Bihar (India). In: Proceedings of International workshop on herbicide resistance management and zero-tillage in rice-wheat cropping system, 4–6 March, 2002, Hisar, India. pp 101–102
Malik RK, Yadav A, Gill GS, Sardana P, Gupta RK, Piggin C (2004) Evolution and acceleration of no-till farming in rice-wheat system of the Indo-Gangetic Plains. In: 4th International Crop Science Congress, 26 September - 1 October, 2004, Brisbane, Australia. pp 73
Gill MS, Kumar A, Kumar P (2006) Growth and yield of rice (Oryza sativa L.) cultivars under various methods and times of sowing. Indian J Agron 51:123–127
Yadav A, Dharam-Bir, Gill G, Malik RK, Kumar V, Singh S, Jat RK, Kumar P, Kamboj BR, Chauhan, BS (2014) Potentials of direct seeded rice with efficient weed management to sustain and improve productivity and profitability of rice-wheat cropping system in India. In: Proceedings of ISWS biennial conference on emerging challenges in weed management, 15–17 February, 2014, Jabalpur, India, pp 6 (L-6)
Yadav DB, Yadav A, Gill G (2015) Direct seeded rice in north-western India: shift in weed flora and its management. In: Proceedings of 25th Asian-pacific weed science society conference on weed science for sustainable agriculture, environment and biodiversity, 13–16 October, 2015, Hyderabad, India, pp 58
Malik RK, Yadav A (2008) Niche area project on resource conserving technologies. Group meeting presentation, 7 November, 2008, Tamilnadu Agricultural University, Coimbatore
Humphreys E, Kukal SS, Christen EW, Hira GS, Balwinder-Singh S-Y, Sharma RK (2010) Halting the ground water decline in north west India – Which crop technologies will be winners? Adv Agron 109:155–217
Kumar V, Jat HS, Sharma PC, Balwinder-Singh GMK, Malik RK, Kamboj BR, Yadav AK, Ladha JK, Raman A, Sharma DK, McDonald A (2018) Can productivity and profitability be enhanced in intensively managed cereal systems while reducing the environmental footprint of production? Assessing sustainable intensification options in the breadbasket of India. Agric Ecosyst Environ 252:132–147
Acknowledgements
This work was supported by the funding from Australian Centre for International Agricultural Research (Project number SMCN/2004/033, later on renumbered CSE/2004/033) through the University of Adelaide, Adelaide, Australia to the CCS Haryana Agricultural University, Hisar, India, which is thankfully acknowledged.
Author information
Authors and Affiliations
Corresponding author
Ethics declarations
Conflict of interest
The authors declare that they have no conflict of interest.
Additional information
Publisher's Note
Springer Nature remains neutral with regard to jurisdictional claims in published maps and institutional affiliations.
Rights and permissions
Open Access This article is licensed under a Creative Commons Attribution 4.0 International License, which permits use, sharing, adaptation, distribution and reproduction in any medium or format, as long as you give appropriate credit to the original author(s) and the source, provide a link to the Creative Commons licence, and indicate if changes were made. The images or other third party material in this article are included in the article's Creative Commons licence, unless indicated otherwise in a credit line to the material. If material is not included in the article's Creative Commons licence and your intended use is not permitted by statutory regulation or exceeds the permitted use, you will need to obtain permission directly from the copyright holder. To view a copy of this licence, visit http://creativecommons.org/licenses/by/4.0/.
About this article
Cite this article
Yadav, D.B., Yadav, A., Vats, A.K. et al. Direct seeded rice in sequence with zero-tillage wheat in north-western India: addressing system-based sustainability issues. SN Appl. Sci. 3, 844 (2021). https://doi.org/10.1007/s42452-021-04827-7
Received:
Accepted:
Published:
DOI: https://doi.org/10.1007/s42452-021-04827-7
Keywords
- Direct seeded rice
- Nematodes
- Productivity
- Sustainability
- Weeds
- Zero-tillage wheat


