Skip to main content

A GPS Data-Based Index to Determine the Level of Adherence to COVID-19 Lockdown Policies in India

Abstract

The growth of COVID-19 cases in India is scaling high over the past weeks despite stringent lockdown policies. This study introduces a GPS-based tool, i.e., lockdown breaching index (LBI), which helps to determine the extent of breaching activities during the lockdown period. It is evaluated using the community mobility reports. This index ranges between 0 and 100, which implies the extent of following the lockdown policies. A score of 0 indicates that civilians strictly adhered to the guidelines while a score of 100 points to complete violation. Technique for Order Preference by Similarity to the Ideal Solution (TOPSIS) is modified to compute the LBI. We considered fifteen states of India, where the spread of coronavirus is relatively dominant. A significant breaching activity is observed during the first phase of lockdown, and the intensity increased in the third and fourth phases of lockdown. Overall breaching activities are dominant in Bihar with LBI of 75.28. At the same time, it is observed that the majority of the people in Delhi adhered to the lockdown policies strictly, as reflected with an LBI score of 47.05, which is the lowest. Though an average rise of 3% breaching activities during the second phase of lockdown (L2.0) with reference to the first phase of lockdown (L1.0) is noticed in all the states, a decreasing trend is noticed in Delhi and Tamil Nadu. Since the beginning of third phase of lockdown L3.0, a significant rise in breaching activities is observed in every state considered for the analysis. The average LBI rise of 16.9% and 27.6% relative to L1.0 is observed at the end of L3.0 and L4.0, respectively. A positive spearman rank correlation of 0.88 is noticed between LBI and the cumulative confirmed cases. This correlation serves as evidence and enlightens the fact that the breaching activities could be one of the possible reasons that contributed to the rise in COVID-19 cases throughout lockdown.

Introduction

The outbreak of COVID-19 was first identified in the Hubei province of China, which later spread to various parts of the globe [1]. The World Health Organization (WHO) recognized it as a pandemic because of its footprint across the globe [2]. The study of Shereen et al. (2020) discussed the origin, transmission, and characteristics of this pandemic [3]. Meteorological parameters also influence the rate of transmission [4,5,6]. Intensive care units across the globe are being overwhelmed with affected individuals. This strain is expected to continue until the chain of transmission is terminated [7, 8]. Fever, cough, and shortness of breath are some of the common symptoms observed in the majority of the infected persons [9]. Due to the lack of vaccine and antiviral treatment, it has created much pressure on health care systems. Various nations started screening people entering their countries and quarantining those with flu symptoms in containment zones. Considering asymptomatic cases, the concept of home quarantine has also emerged. It is made mandatory to the citizens who traveled to the affected countries. Furthermore, various countries have enforced restrictions on their citizen’s movement as social distancing has been found to be an effective preventive measure to arrest the escalation of infections.

China is the first country to impose restrictions on the movement of people, which was confined to Wuhan in the initial stages [10]. This stipulation was later enforced in most places of Hubei province. The growth curve analysis performed by Lau et al. (2020) concludes that the stringent lockdown policies of China helped in controlling the spread of coronavirus (COVID-19) [11]. Likewise, restrictions were enforced for all the trips made by the civilians in France by limiting the distances and the travel time of essential trips. Italy and the UK also instituted such restrictions in various forms. In the USA, a national health emergency was declared [12]. Nearly 90% of the residents were kept under some form of lockdown to break the chain of transmission. Similarly, the government of India declared a nationwide lockdown for 21 days, which was later extended in three additional phases with several relaxations to resume the economic activity. A study by Gupta et al. (2020) determined that the enforcement of lockdown in India reduced the COVID-19 transmission by 30% [13].

A study by Hale et al. (2020) proposed a stringency indexFootnote 1 to quantify the governments’ responses on a scale of 0–100 by considering the parameters reflecting containment policies [14]. The scale of 100 indicates a higher level of stringency, and 0 represents an absence of policy implementation. The stringency index of India is 100 during the first phase of lockdown, whereas it is low in other countries. From this observation, it can be inferred that the strict lockdown policies are formulated in India. Unfortunately, despite such harsh regulations, there is an upsurge in the total number of COVID-19 cases. The reasons for such unprecedented rise have not been discussed in any of the past research works. This rise could be due to the violation of lockdown policies. Examples of such violations include either not embracing or enforcing stay-at-home orders, social distancing rules, or not wearing personal protection equipment (PPEs). The mass movement of migrant workers, religious congregations, and relaxations to access essential goods also contributes to such an increase in cases. In India, the intensity of this mobility varies from state to state, and it would be difficult to understand to what extent the citizens followed the lockdown policies. Thus, to address this problem and to have a quantitative measure that takes into account the pre-lockdown situation as a reference is essential.

Herein, the lockdown breaching index (LBI) is proposed to quantify the extent to which the civilians followed the stringent lockdown policies. The data compiled from the Google community mobility report is the primary data used in computing the LBI. Fifteen states of India are considered, and the day to day variation in LBI is evaluated to examine the variation in trends quantitatively. Particular emphasis has been made to study the LBI trends during each lockdown periods (since lockdown is implemented in India in four phases). Further, the spearman rank correlation between LBI and the cumulative confirmed cases is examined, and a mathematical model is developed to understand the relation between the LBI, time (days since the inception of lockdown), and confirmed cumulative cases. Additionally, efforts have been made to comment on the reasons responsible for the rise in cases. The evaluated LBI for each of the states will undoubtedly help the state administrative bodies to take precautionary measures. Furthermore, it also helps to assess the extent of breaching, which will consequently help in revising the relaxation rules.

Materials and Methods

Study Area

This study focuses on 15 affected states of India, the most populous democracy in the world. The intensity of cases in the selected states is relatively high compared with other states at the time of analysis. The selected states include Kerala, where the transmission has first started in India. Though the cumulative cases in this state are significantly high in the initial phases, a declining trend is observed in the subsequent days. However, this state is considered in this research work to examine if the termination of coronavirus transmission is due to low breaching activities. The spatial distribution of all the selected states is shown in Fig. 1.

Fig. 1
figure 1

Spatial distribution of confirmed COVID-19 cases in selected states

Lockdown Duration and Confirmed Cumulative Cases

The nationwide lockdown was imposed in India on March 24, 2020, for 21 days. Subsequently, the lockdown period was extended until May 3, 2020, with several conditional relaxations. This second phase of lockdown is referred to as lockdown 2.0. Later on, the lockdown was extended to two additional phases, i.e., May 4, 2020–May 17, 2020 (lockdown 3.0) and May 18, 2020–May 31, 2020 (lockdown 4.0). However, relaxations were given by classifying regions of the nation into red, green, and orange zones. Lockdown policies are still applicable to containment zones until June 30, 2020 (lockdown 5.0).

The data regarding confirmed cases at various periods (pre- and post-lockdown) is obtained from the ministry of health and family welfare [15]. The obtained data is categorized as per the duration of lockdowns (L), i.e., L1.0–L4.0, as shown in Fig.2.

Fig. 2
figure 2

Cumulative confirmed cases before lockdown and at the end of each lockdown phases

Mobility Trends During the Lockdown Duration

The primary data essential to compute LBI is compiled from the Google community report of India. The day-wise mobility report presents the variation in trips made to the different places by taking the baseline period (January 3, 2020–February 6, 2020) as reference. The various places considered include retail and recreation, groceries and pharmacies, parks, transit stations, workplaces, and residential [16]. The collected mobility trends at the time of analysis show the variation between February 15, 2020 and May 25, 2020. However, the data between March 24, 2020 and May 25, 2020 is considered for this study. For better visualization and understanding, a sample dataset corresponding to Bihar is shown in Fig. 3. The equivalent dataset for the rest of the 14 states is also available but is not presented. However, it is made available.Footnote 2

Fig. 3
figure 3

Mobility trends reported for various places in Bihar

Method for Estimating LBI

Examining the relationship between breaching activities and cumulative cases by considering multiple categories of trips as the independent variables is a complex task since there is no specific trend (example Fig. 3). In this regard, the TOPSIS multi-criteria technique is used to determine LBI that represents all types of breaching activities during lockdown duration. The reference to this assessment is an ideal region where there is no movement. The evaluated LBI ranges from 0 to 100. The score of 0 indicates that civilians strictly followed lockdown rules. In contrast, the score of 100 implies a complete violation of the imposed policies. The framework involved in evaluating LBI is shown in Fig. 4 from which it is apparent that the analysis starts with the collection of Google community mobility reports.

Fig. 4
figure 4

Schematic illustration of the steps involved in evaluating LBI

As shown in Fig. 4, the collected mobility data is categorized into pre-lockdown and post-lockdown datasets. The post-lockdown database is used in evaluating the proposed metric. Since public transportation stopped operating in India after lockdown, the variation of mobility patterns to transit stations is excluded while evaluating LBI as apparent from Fig. 4. The Technique for Order Preference by Similarity to the Ideal Solution (TOPSIS) [17] is used to evaluate the proposed parameter, and the procedure involved is discussed below.

  • Step-1: determination of criteria and its importance

The criteria for the evaluation of considered states are determined. For this current study, the different category of trips is chosen as criteria, i.e., retail and recreation (C1), grocery and pharmacies (C2), parks (C3), workplace (C4), and residential (C5). The first four criteria (C1–C4) are the minimization variables, while the last (C5) is a maximization variable. A lower value of mobility to retail and recreation, grocery and pharmacy, parks, and workplace indicates that breaching activities are minimal. On the contrary, the higher value of residential attributes indicates minimum breaching activities. Since mobility to any place except being in residence is considered to be a breaching activity, equal weights are assigned to all the criteria (W1 = W2 = W3 = W4 = W5 = 0.2)

  • Step-2: developing the decision matrix

The attributes of variation in mobility are compiled to develop the decision matrix. General representation of the decision matrix is presented mathematically using Eq. 1:

$$ M=\left(\begin{array}{ccccc}{x}_{ir}& {x}_{ig}& {x}_{ip}& {x}_{iw}& {x}_{ih}\\ {}{x}_{nr}& {x}_{ng}& {x}_{np}& {x}_{nw}& {x}_{nh}\\ {}{x}_{1r}& {x}_{1g}& {x}_{1p}& {x}_{1w}& {x}_{1h}\\ {}{x}_{2r}& {x}_{2g}& {x}_{2p}& {x}_{2w}& {x}_{2h}\\ {}:& :& :& :& :\\ {}:& :& :& :& :\\ {}{x}_{tr}& {x}_{tg}& {x}_{tp}& {x}_{tw}& {x}_{th}\end{array}\right) $$
(1)

where

M:

is the decision matrix, and t is the total number of states considered for analysis.

Suffixes:

i” and “n” indicate the attributes of the ideal and nadir solutions respectively.

xtr:

indicates the percentage variation of trips to retail and recreation places in a state “t” compared with the base line period as published in the Google community mobility reports for a specified day.

xtg:

indicates the percentage variation of trips to grocery and pharmacies units in a state t compared with the base line period as published in the Google community mobility reports for a specified day.

xtp:

indicates the percentage variation of trips to parks in a state t compared with the baseline period as published in the Google community mobility reports for a specified day.

xtw:

indicates the percentage variation of trips to the workplace in a state t compared with the baseline period as published in the Google community mobility reports for a specified day.

xth:

indicates the percentage increase in time spent at residential units in a state t compared with the baseline period as published in the Google community mobility reports for a specified day.

  • Step-3: normalization of decision matrix and determination of weighted normalized matrix

The normalized decision matrix X(=[rjk]) is obtained using Eq. 2. The developed decision matrix helps in the relative comparison of each state with the ideal alternative.

$$ {\boldsymbol{r}}_{\boldsymbol{j}\boldsymbol{k}}=\left(\frac{{\boldsymbol{x}}_{\boldsymbol{j}\boldsymbol{k}}}{\sqrt{\sum_{\boldsymbol{j}=\mathbf{1}}^{\boldsymbol{t}}{\boldsymbol{x}}_{\boldsymbol{j}\boldsymbol{k}}^{\mathbf{2}}}}\right) $$
(2)

where rjk is the normalized attribute, j = 1,2,3, …..t (refers to a state), k = 1,2,3,4,5 (refers to each type of trip).

Subsequently, the weighted normalized matrix is obtained by multiplying the developed normalized matrix with the weighted vector Wjk.

  • Step 4: determining the ideal and nadir points

The fundamental principle of the TOPSIS technique is to compare each of the considered alternatives with the ideal alternative. The superior and inferior attributes in each of the criteria are grouped and are collectively referred to as ideal and nadir points, respectively. In the context of this current study, two hypothetical regions are considered, one being an ideal and the other is nadir point. The attributes of ideal and nadir points are shown below:

$$ {\displaystyle \begin{array}{l} Ideal=\left(-100,-100,-100,-100,100\right)\\ {} Nadir=\left(0,0,0,0,0\right)\end{array}} $$
  • Step-5: determining the Euclidean distance

The Euclidean distances of each alternative to the ideal and nadir points are computed using Eqs. 3 and 4, respectively:

$$ {D}_j^{ideal}={\left\{{\sum}_{k=1}^5{\left({x}_{jk}-{x}_{ik}^{+}\right)}^2\right\}}^{0.5}\kern1.00em j=1,2,3,\dots .t $$
(3)
$$ {D}_j^{nadir}={\left\{{\sum}_{k=1}^5{\left({x}_{jk}-{x}_{nk}^{-}\right)}^2\right\}}^{0.5}\kern1.00em j=1,2,3,\dots .t $$
(4)

where

\( {D}_j^{ideal} \):

is the Euclidean distance between state j and ideal solution

\( {D}_j^{nadir} \):

is the Euclidean distance between state j and nadir solution

\( {x}_{ik}^{+} \):

refers to attributes of the ideal solution corresponding to each type of trip

\( {x}_{nk}^{-} \):

refers to attributes of nadir solution corresponding to each type of trip

xjk:

indicates the attributes of state j corresponding to trip k

  • Step 6: determining the lockdown breaching index

The lockdown breaching index determines the extent of breaching activities in a state. It is evaluated using Eq. 5:

$$ {LBI}_j=\left(\frac{D_j^{ideal}}{D_j^{nadir}}\right)\times 100\kern1.00em j=1,2,3\dots .t $$
(5)

If the evaluated LBI is 100, it indicates the scenario where citizens did not follow the lockdown policies. In contrast, a score of 0 refers to the condition where individuals strictly adhered to the policies.

Results

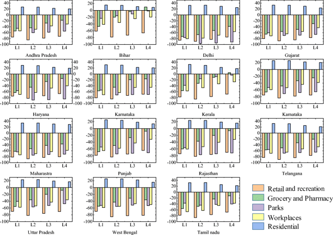
Subplots of Fig. 5 show the average variation in the mobility pattern with respect to each criteria (C1–C5) in all the selected states during each of the lockdown periods (L1.0–L4.0). The first four criteria (C1–C4) since it represents the decrease in trips with reference to the baseline period, a negative sign is associated with each attribute, as evident from Fig. 5. While being in residence is also a measure of adhering to lockdown policy, the increase in time spent is captured as a positive value.

Fig. 5
figure 5

Mean variation in trips to various places during each phase of lockdown corresponding to each of the states

The trips made to retail and recreational places in all the states are comparably lower than to the other category of places (C2–C4). However, trips made to the retail and recreational places during L2.0 has significantly decreased by 11.4% compared with trips made in L1.0. A similar trend is observed in the majority of the states over time. Delhi, Gujarat, Haryana, Karnataka, Kerala, Madhya Pradesh, Maharashtra, Punjab, Rajasthan, and Tamil Nadu are exceptions where these visits increased.

On average, in all states, an increase of 25.5% in trips to groceries and pharmacies during L2.0 compared with L1.0 is noticed. Subsequently, it later increased to 54% and 72% during the L3.0 and L4.0 periods, respectively. Mean variation in trips made to parks during the lockdown 2.0 is reduced by 28.7% (except in Kerala and Bihar), Further a decrease of 26.4% and 20.3% during L3.0 and L4.0, respectively, with reference to L1.0. The scenario in West Bengal is slightly different, where a slight increment of 1.2% in the trips made during L2.0 is noticed and then followed a decreasing trend. The trend in variation of trips to workplaces is observed to be similar, as observed in the case of groceries and pharmacies. The mean increase in trips is 9.4%, 28.2%, and 38.5% with respect to L1.0, in the period of L2.0, L3.0, and L4.0, respectively. In contrast to the trend noticed in the case of workplaces, the time spent by the civilians at their respective residences started declining as the lockdown period extended, which is obvious. However, the trend in Delhi, Madhya Pradesh, Tamil Nadu, and Uttar Pradesh during L2.0 is an exception where there is a mean rise of 1.0% in the time spent at home.

The evaluated day-wise LBI corresponding to each selected state using the proposed methodology (TOPSIS) is shown in Fig. 6.

Fig. 6
figure 6

a Transients of LBI amongst the considered states during each of the lockdown phases. b Rise in LBI during L2.0, L3.0, and L4.0 compared with L1.0 in the considered states

There is a significant increase in breaching activities in all the considered states. The subplots of Fig. 6a represent the variation of LBI in each of the states during successive lockdown phases. The evaluated LBI is with reference to the ideal situation where citizens strictly adhered to lockdown policies. Values close to 0 indicate negligible breaching activities, while the higher magnitude is proportionate with the intensity of breaching.

The evaluated LBI fields are observed to be relatively high on the weekends, as can be seen as little spikes. These spikes do not reflect the actual breaching activities on Sundays. Since, in general, the variation in trips is relatively low, which, when compared with the ideal solution, gives a high offset value, which contributes to the spikes. Thus, caution should be exercised in dealing with the data on Sundays. An LBI variation of nearly 12% on Sundays compared with the other days of the week is noticed. Such variation gradually decreased as the week progressed.

The mean LBI of all the considered states is 53.21, which reflects notable mobility within all the lockdown periods. Figure 6b depicts the percentage rise of breaching activities in terms of LBI with respect to L1.0 for all the states. Though an average rise of 3% breaching activities with respect to L1.0 is noticed in all the states, a decreasing trend is noticed in Delhi and Tamil Nadu. The breaching activities in Kerala are intense, with a rise of 14% compared with L1.0. Since the beginning of L3.0, a significant rise in breaching activities is observed in every state considered for the analysis. The average rise of 16.9% and 27.6% is observed at the end of L3.0 and L4.0, respectively.

Consistently, the breaching activities in Bihar are noticed to be very high in every lockdown phase while the lowest activities are noticed in Delhi, the capital of India where a substantial difference of 37.5% between the two is observed. Figure 7 presents the mean LBI of considered states computed by considering the day-wise statistics, as shown in Fig. 6a. The intensity of breaching activities in Andhra Pradesh, Rajasthan, Tamil Nadu, and Punjab is almost equal, and the LBI amongst the rest of the states varied significantly, as shown in the table, inset in Fig. 7.

Fig. 7
figure 7

Mean LBI of each state during the lockdown period (March 24, 2020–May 25, 2020)

(The numerical values of LBI for all the states is presented in the table inset in Fig. 7)

It is anticipated that there exists a correlation between LBI and the total number of cases. Therefore, an attempt is made to statistically verify this hypothesis. The null hypothesis is that there exists no correlation between LBI and the total number of cumulative cases. In contrast, the alternative hypothesis states that there is a correlation between LBI and the cumulative number of cases.

As per the considered problem, the size of the dataset is 54 (n = 54) which is a large sample dataset because of which we have used test statistic and we considered the level of significance as 0.01

Null hypothesis:

H0 : ρ = 0

Alternative hypothesis:

H1 : ρ > 0

Level of significance:

α = 0.01.

Critical region:

ie rs > 0.317

Computation: spearman’s correlation coefficient:

rs = 0.88

Since the computed Spearman’s correlation coefficient rs = 0.88 lies in the critical region ( rs > 0.317), the null hypothesis is rejected. Also, P value is computed using SPSS SoftwareFootnote 3® and is found to be 0.00001. Therefore, it is affirmed that there exists a correlation between LBI and the cumulative confirmed cases providing an evidence for our hypothesis.

A good correlation between mean LBI of considered states, and cumulative confirmed cases is observed except in the states of Delhi, Maharastra, and Gujarat. The correlation between LBI and total confirmed cases is 0.88, which confirms the strong interrelation between LBI and the number of cases. The relation between cumulative confirmed cases, LBI, and time (days passed since the inception of lockdown) is developed using two mathematical models. Model 1 aids in computing the LBI by considering the time as the independent variable, and model 2 helps to determine the cases by considering the estimated LBI as the independent variable. The developed mathematical models are shown as Eqs. 7 and 8, and the trend is shown in Fig. 8a and b respectively. It has to be noted that since the LBI related to weekends are outliers, as evident from Fig. 6a, they are exempted from modeling the relation between the considered variables. To develop the relationship between the two variables, i.e., “LBI” and “time,” the criterion used is a sigmoidal growth model based on the similar study of Aferni (2020) and Dutra (2020) [18, 19]. Further, we have chosen a specific trend, i.e., Morgan-Mercer-Flodin (MMF) model over other sigmoidal models as it resulted a realistic time frame (223 days since lockdown) for attaining upper asymptote (peak LBI value, i.e., 100). In contrast, unrealistic time frame to attain upper asymptote is observed in other types of sigmoidal models. Therefore, the MMF model, as shown in Eq. 7, is chosen as the best model in context to the current study. Since a good correlation (rs = 0.88) is observed between LBI and cases, a similar model is used to develop the relation between LBI and cases as shown in Eq. 8:

$$ \mathrm{LBI}=\frac{ab+c{\left(\mathrm{days}\right)}^f}{b+{\left(\mathrm{days}\right)}^f}\kern1.00em \left({\mathrm{R}}^2=0.95\right) $$
(7)

where a = 52 (LBI at time t = 0, i.e., on the day of lockdown); b = 14.48 × 107 (parameter that governs point of inflection); c = 100 (upper asymptote, i.e., max possible value of LBI); f = 3.86 (growth rate); days = total number of days since the inception of lockdown

$$ \mathrm{cases}=\frac{pq+r{\left(\mathrm{LBI}\right)}^s}{q+{\left(\mathrm{LBI}\right)}^s}\kern1.00em \left({\mathrm{R}}^2=0.92\right) $$
(8)

where p < 0 (since the cumulative number of cases on the day just before lockdown cannot be negative, it can be treated as 0 which is justifiable); b = 2.8 × 102 (parameter that governs point of inflection); r = 375.2 (Upper asymptote of cases in hundreds on the day when LBI reaches a maximum, i.e., 100); s = 0.89 (growth rate), and LBI is lockdown breaching index.

Fig. 8
figure 8

a The relation between LBI and time. b Relation between LBI and the cumulative number of cases

Though the correlation between LBI and cases is evident from the Spearman’s rank correlation as discussed above, the rate at which cases will increase with the rise in LBI remains unmapped, and hence, Eqs. 7 and 8 are estimated. It has to be noted that due to lack of information regarding the upper asymptote, it is considered that the lockdown (all restrictions) will be lifted after November 1, 2020; thereby, it is expected that LBI reaches to a maximum of 100 on November 1, 2020. Deviation in this based on the policies of Indian Government, the estimated coefficients are expected to vary. However, the developed relations will help to analyze if people are cautious. The coefficients of Eq. 8 are also expected to vary as the dataset is varying dynamically.

Discussions

Google community mobility reports are being updated and released at regular intervals by monitoring the activity of individuals in various countries. These reports present the mobility trends to various places such as groceries and pharmacies. The data is made available since February 15, 2020, for all the nations. However, interpreting the effect of lockdown using such data is complex since the lockdown period of each county is different. Therefore, we need a value that represents the mobility activity accounting for all categories of places, which includes time spent by an individual in their residences.

The variation in values reported by Google can be influenced by relaxations or enforcement of lockdown policies. There is no consistency in the trend corresponding to any category of trips amongst all the states (example of Bihar is shown in Fig. 3). Hence, using multiple attributes of Google community mobility report directly to predict the extent of the breaching activities during lockdowns and to compare the level of adherence to policies in each state is complex and may not always result in drawing meaningful conclusions. Therefore, we need an index that helps to easily analyze the relation between breaching activities, increasing confirmed cumulative cases and other influencing parameters. Thus, there is a great need for a parameter that cumulatively takes into account all attributes of community mobility report and gives an output index. This index corresponds to the overall mobility of people on a score of 0–100. One of the novel contributions of this work is the rigorous analysis of mobility patterns in India during the lockdown periods, which is not addressed in the past research works.

Our study suggests that there is a strong positive correlation between increasing confirmed cases and breaching activities in the majority of the states. It is found that the number of trips with respect to the baseline period is relatively low in L2.0 compared to L1.0. The trips made to groceries and pharmacies increased over the lockdown periods as they are essential for survival. The exemption granted for procuring essentials is one of the influencing factors that contributed to the rise in trips under this category. Further, since a brief 4-h prior notice was given to the citizens before imposing nation-wide lockdown, most of the people were not prepared. This unpreparedness forced many to access the facilities for their basic needs during L1.0. Additionally, it took some time for people to get adopted to the lockdown policies and movement restrictions. The relaxations given to access workplaces is reflected in the decreasing trend in the time spent by individuals in their respective home and increasing trips to workplaces.

The level of adherence is encouraging during L2.0. However, there are substantial breaching activities in the subsequent lockdown periods, especially the rise in mobility after the end of 2.0. The uncertainty over the duration of lockdown and resumption of industries have in fact led to the migration of workers from their places of employment to their respective hometowns. Certainly, since this movement of migration happened during lockdown, it is anticipated to be one of the possible reasons for the increase in breaching activities. During this migration, Google community mobility reports only capture the data on time spent at residence but does not capture the trips made to various locations other than the categories considered in this paper. However, there could be minor deviation between the calculated LBI and the actual breaching as the en route journey is not taken into consideration. Once the laborers reach their destination, there is all possibility that they visit the nearest groceries to collect essential goods and food. Thus, the data collected reflects in partiality the mobility of these workers but may not account for the time spent at residence. During the journey especially when they are not visiting any of the places that are included in the calculation of mobility, the mobility data might not represent the true picture. But, since it is expected that this migration involved a very low percentage of population which is insignificant in comparison with the very large 1.3 billion population of India. Therefore, this small error might not largely affect the assumption and data presented in this paper. Thus, the inter-state movement which is in very small numbers would not affect the data presented, and hence, it is not considered while computing LBI. Besides the movement of migration workers, some of the organizations allowed employees to access the workplaces during L2.0, which is another possible reason that increased trips and is also reflected in the statistics of LBI.

Ideally, if all the citizens adhered to the lockdown policies, mobility to all categories of places should have decreased undoubtedly. However, expectations are not reflected in community mobility trends. In view of examined mobility trends related to the selected states, as shown in Fig .5, it can be stated that breaching activities took place in every state, but the intensity of breaching is different.

Overall, the breaching activities during the lockdown period are relatively high in Bihar while the lowest is observed in Delhi. Though the national lockdown policies are common amongst all the states, a notable difference of 37% is observed between Delhi and Bihar. Nearly 33% of the population in Bihar is under the poverty line,Footnote 4 which led most of the young population to migrate for livelihood. Loss of income and uncertainty of the future propelled them to come back to their residences. Though there were many restrictions, in the beginning, special busses were arranged due to the outcry of migrants. These activities collectively increased the breaching activities in Bihar, which is evident from the findings (refer Fig. 7). Lack of awareness, which is a consequence of the low literacy rate in Bihar, could also be the possible reason for the mobility during the lockdown period. Despite Kerala being one of the states with a high literacy rate,Footnote 5 this state followed Bihar in the hierarchy of LBI, which is an exception. Relaxations that are given by Kerala state governments by allowing the mobility of private vehicles could be the possible reason for such mobility.

It is anticipated that there should be a relation between breaching activities and confirmed positive cases. This correlation could be a critical reason that led to the spike in coronavirus cases, especially after lockdown 1.0. To test this hypothesis, empirically, Spearman’s rank correlation test was conducted by considering the day-wise mean LBI of all the considered states and the cumulative confirmed cases. It resulted in a positive correlation of 0.88, which proved the hypothesis.

If breaching activities were to continue in the same rate at which it is raising especially after L2.0 while the lockdown policies with several relaxations were in effect, it would have led to complete breaching within 130 days from March 24, 2020 (the day when the lockdown was enforced). However, since the lockdown is lifted in the majority of the places since June 1, 2020, the movement of people is not in control. The ease of restrictions in the movement, permitting workplaces to resume operations, allowing the retail units to function, resuming railways, flights, and busses, will stimulate the movement. Eventually, the total number of confirmed cases shall drastically increase. The findings of this study help the decision-maker to (1) become aware of the extent of breaching despite lockdown, (2) understand the effect of breaching activities, and (3) revise the policies to control breaching activities which consequently contains the spread. Such studies are the need of the hour in India. The observed breaching activities measured in terms of LBI during the lockdown period could be one of the possible reasons that ascribed to the rise in COVID-19 confirmed cases.

Conclusion

This study intends to develop a tool that determines the level of adherence to the lockdown policies. The data compiled from the Google community mobility report is the primary data used in computing the LBI. Fifteen states of India are considered, and the day-to-day variation in LBI is evaluated to examine the variation in trends quantitatively. Findings reveal that the trips made to retail and recreational units in all the states are comparably lower than to the other category of places (C2–C4). An average LBI rise of 9.4%, 28.2%, and 38.5% with respect to L1.0, during the L2.0, L3.0, and L4.0 periods, is observed respectively amongst the considered states. Overall, the breaching activities during the lockdown period are relatively high in Bihar while the lowest is observed in Delhi. Though the national lockdown policies are common amongst all the states, a notable difference of 37% is observed between Delhi and Bihar. Given the relaxations to access workplaces, trips being made raised, which is also evident in the fall of time spent by the civilians at their respective residences. However, the trend in Delhi, Madhya Pradesh, Tamil Nadu, and Uttar Pradesh during L2.0 is an exception where there is a mean rise of 1.0% in the time spent at home. Results indicated that there is a positive correlation of 0.88 between LBI and the number of confirmed coronavirus cases. Since the mobility up surged in recent times with the relaxations in lockdown policies, it is anticipated that the total number of cases may arise in the coming days.

Notes

  1. https://ourworldindata.org/grapher/covid-stringency-index?tab=chart

  2. https://github.com/harishpuppala43/lockdown-breching-index

  3. SPSS Software® is a commercial software package used for statistical analysis (https://www.ibm.com/in-en/analytics/spss-statistics-software)

  4. SDGs India Index, 31 December 2019 (https://sdgindiaindex.niti.gov.in/)

  5. NSS 75th Round (2019) (http://www.mospi.gov.in)

References

  1. Velavan TP, Meyer CG (2020) The COVID-19 epidemic. Tropical Med Int Health 25(3):278–280

    Article  Google Scholar 

  2. Muhareb R, Giacaman R (2020) Tracking COVID-19 responsibly. Lancet. https://doi.org/10.1016/S0140-6736(20)30693-0

  3. Shereen MA, Khan S, Kazmi A, Bashir N, Siddique R (2020) COVID-19 infection: origin, transmission, and characteristics of human coronaviruses. J Adv Res 24:91–98

    Article  Google Scholar 

  4. Ma Y, Zhao Y, Liu J, He X, Wang B, Fu S et al (2020) Effects of temperature variation and humidity on the death of COVID-19 in Wuhan, China. Sci Total Environ 724:138226. https://doi.org/10.1016/j.scitotenv.2020.138226

  5. Wu Y, Jing W, Liu J, Ma Q, Yuan J, Wang Y et al (2020) Effects of temperature and humidity on the daily new cases and new deaths of COVID-19 in 166 countries. Sci Total Environ 729:139051. https://doi.org/10.1016/j.scitotenv.2020.139051

  6. Qi H, Xiao S, Shi R, Ward MP, Chen Y, Tu W et al (2020) COVID-19 transmission in Mainland China is associated with temperature and humidity: a time-series analysis. Sci Total Environ 728:138778. https://doi.org/10.1016/j.scitotenv.2020.138778

  7. Briz-Redón Á, Serrano-Aroca Á (2020) A spatio-temporal analysis for exploring the effect of temperature on COVID-19 early evolution in Spain. Sci Total Environ 728:138811. https://doi.org/10.1016/j.scitotenv.2020.138811

  8. Elavarasan RM, Pugazhendhi R (2020) Restructured society and environment: a review on potential technological strategies to control the COVID-19 pandemic. Sci Total Environ 725:138858. https://doi.org/10.1016/j.scitotenv.2020.138858

  9. Tosepu R, Gunawan J, Effendy DS, Lestari H, Bahar H, Asfian P (2020) Correlation between weather and Covid-19 pandemic in Jakarta, Indonesia. Sci Total Environ 725:138436. https://doi.org/10.1016/j.scitotenv.2020.138436

  10. Bao R, Zhang A (2020) Does lockdown reduce air pollution? Evidence from 44 cities in northern China. Sci Total Environ 731:139052. https://doi.org/10.1016/j.scitotenv.2020.139052

  11. Lau H, Khosrawipour V, Kocbach P, Mikolajczyk A, Schubert J, Bania J, Khosrawipour T (2020) The positive impact of lockdown in Wuhan on containing the COVID-19 outbreak in China. J Travel Med 27(3):taaa037

    Article  Google Scholar 

  12. Chowell G, Mizumoto K (2020) The COVID-19 pandemic in the USA: what might we expect? Lancet 395(10230):1093–1094

    Article  Google Scholar 

  13. Gupta M, Mohanta SS, Rao A, Parameswaran GG, Agarwal M, Arora M et al (2020) Transmission dynamics of the COVID-19 epidemic in India and modelling optimal lockdown exit strategies. medRxiv

  14. Hale T, Webster S, Petherick A, Phillips T, Kira B (2020) Oxford covid-19 government response tracker. Blavatnik School of Government. https://www.bsg.ox.ac.uk/research/research-projects/coronavirus-government-response-tracker

  15. MoHFW (2020) Ministry of Health and Family Welfare. https://main.mohfw.gov.in/. Accessed 28 May 2020

  16. Google LLC Google COVID-19 Community Mobility Reports (2020). Accessed 28 May 2020

  17. Hwang CL, Yoon K (1981) Methods for multiple attribute decision making. In: Multiple attribute decision making. Springer, Berlin, Heidelberg, pp 58–191

    Chapter  Google Scholar 

  18. El Aferni A, Guettari M, Tajouri T (2020) Mathematical model of Boltzmann’s sigmoidal equation applicable to the spreading of the coronavirus (Covid-19) waves. Environ Sci Pollut Res. https://doi.org/10.1007/s11356-020-11188-y

  19. Dutra CM (2020) Non-linear fitting of sigmoidal growth curves to predict a maximum limit to the total number of COVID-19 cases in the United States. medRxiv. https://doi.org/10.1101/2020.04.22.20074898

Download references

Author information

Affiliations

Authors

Corresponding author

Correspondence to Amarnath Bheemaraju.

Ethics declarations

Conflict of Interest

The authors declare that they have no conflict of interest.

Additional information

Publisher’s Note

Springer Nature remains neutral with regard to jurisdictional claims in published maps and institutional affiliations.

Rights and permissions

Reprints and Permissions

About this article

Verify currency and authenticity via CrossMark

Cite this article

Puppala, H., Bheemaraju, A. & Asthana, R. A GPS Data-Based Index to Determine the Level of Adherence to COVID-19 Lockdown Policies in India. J Healthc Inform Res 5, 151–167 (2021). https://doi.org/10.1007/s41666-020-00086-0

Download citation

  • Received:

  • Revised:

  • Accepted:

  • Published:

  • Issue Date:

  • DOI: https://doi.org/10.1007/s41666-020-00086-0

Keywords

  • Pre-lockdown period
  • Post-lockdown period
  • Lockdown breaching index (LBI)
  • Multi-criteria decision making technique
  • TOPSIS
  • COVID-19