Abstract
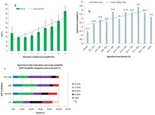
Agroforestry has gained attention because of its diverse roles ranging from direct economic to sustainable environment. The present study is an attempt to understand the land potentiality of Afghanistan to scale agroforestry restoration planning in the country. The potential agroforestry suitable areas were achieved through the Geographical Information System modeling approach. The study found that 13.2% of the geographical area of the country was under agriculture. Approximately, one-fourth of the total geographical area of the country is useful in various diversified agroforestry formats because of the sound agroforestry suitability percent. The total agriculture landscape (1% to 50%) grid was identified as equivalent to 32 million hectares (49% of total geographical area). About 53% of these lands were found medium to very high suitable for agroforestry purposes and the remaining 47% of the agriculture landscape showed low agroforestry suitable percent. The full-scale implementation of an agroforestry restoration blueprint needs adequate funds and appropriate planning at the country level that will serve many of the SDG goals for socioeconomic-stressed Afghan people which will provide them food and nutrient security, livelihood, and eliminate poverty, enhance biodiversity, and mitigate the impact of climate change.
This is a preview of subscription content, access via your institution.






Data Availability
The datasets in this study are available from the corresponding author on reasonable request.
References
Acquah S, Ward FA (2017) Water policy interventions for food security in Afghanistan. Int J Water Resour Dev. https://doi.org/10.1080/07900627.2017.1399108
Ahmed M, Suphachalasai S (2014) Assessing the costs of climate change and adaptation in South Asia. Mandaluyong City, Philippines: Asian Development Bank. https://www.preventionweb.net/files/38999_assessingcostsclimatechangeandadapt.pdf. Accessed 20 March 2021
Ahmad F, Goparaju L, Qayum A (2017) FAO guidelines and geospatial application for agroforestry suitability mapping: case study of Ranchi, Jharkhand state of India. Agrofor Syst. https://doi.org/10.1007/s10457-017-0145-y
Ahmad F, Uddin MM, Goparaju L (2019) Agroforestry suitability mapping of India: geospatial approach based on FAO guidelines. Agroforest Syst 93:1319–1336. https://doi.org/10.1007/s10457-018-0233-7
Ahmad F, Uddin MM, Goparaju L, Rizvi J, Biradar C (2020) Quantification of the land potential for scaling agroforestry in South Asia. KN – J Cartogr Geogr Inf 70:71–89. https://doi.org/10.1007/s42489-020-00045-0
Ahmad F, Uddin MM, Goparaju L et al (2021) Tree suitability modeling and mapping in Nepal: a geospatial approach to scaling agroforestry. Model Earth Syst Environ 7:169–179. https://doi.org/10.1007/s40808-020-00922-7
Ali M, Weinbaum MG, Dupree L, Allchin FR, Petrov VP, Dupree NH (2021) "Afghanistan". Encyclopedia Britannica, 16 Aug. 2021. https://www.britannica.com/place/Afghanistan. Accessed 9 Sept 2021
Anjelica T (2020) A new strategy for Central Asia. TheHill. as Afghan President Ashraf Ghani has noted, Afghanistan is itself a Central Asian country. https://thehill.com/opinion/international/483511-a-new-strategy-for-central-asia/. Accessed 15 March 2021
Ansari MM, Gua C, Shaikh MS et al (2020) Considering the uncertainty of hydrothermal wind and solar-based DG. Alex Eng J. https://doi.org/10.1016/j.aej.2020.07.026
ASY (2019) Afghanistan statistical yearbook. https://rise.esmap.org/data/files/library/afghanistan/Electricity%20Access/Afghanistan_Statistical-Yearbook-2018-19_compressed.pdf. Accessed 10 June 2021
Beck HE, Zimmermann NE, McVicar TR, Vergopolan NBA, Wood EF (2018) Present and future Köppen-Geiger climate classification maps at 1-km resolution". Sci Data 5:180214. https://doi.org/10.1038/sdata.2018.214
CIA (1991) Factbook—area: 41. CIA. 26 November 1991. Archived from the original on 31 January 2014. https://www.cia.gov/the-world-factbook/countries/afghanistan/. Accessed 27 March 2021
Dollinger J, Jose S (2018) Agroforestry for soil health agroforestry systems. Agrofor Syst 92:213–219. https://doi.org/10.1007/s10457-018-0223-9
Ellis EA, Bentrup G, Schoeneberger MM (2004) Computer-based tools for decision support in agroforestry: current state and future needs. Agrofor Syst 61(1):401–421. https://doi.org/10.1023/B:AGFO.0000029015.64463.65
FAO (1976) A framework for land evaluation. Soils Bull. 32, Food and Agriculture Organization of the United Nations, Rome, Italy
FAO (2010) Global forest resources assessment. FAO forestry paper 163, Rome, 2010
FAO (2017) Agroforestry for landscape restoration: Exploring the potential of agroforestry to enhance the sustainability and resilienceof degradedlandscapes. Rome. https://doi.org/10.4060/i7374e
Fick SE, Hijmans RJ (2017) WorldClim 2: new 1-km spatial resolution climate surfaces for global land areas. Int J Climatol 37(12):4302–4315
Finlayson R (2019) Restoring land with agroforestry: new guide published. https://www.worldagroforestry.org/blog/2019/10/01/restoring-land-agroforestry-new-guide-published. Accessed 27 March 2021
Fischer G, Nachtergaele FO, Prieler S, Teixeira E, Toth G, van Velthuizen H, Verelst L, Wiberg D (2012) Global agro-ecological zones (GAEZ v3.0)- model documentation. IIASA, Laxenburg
Gangadharappa NR, Shivamurthy M, Ganesamoorthi S (2003) Agroforestry—a viable alternative for social, economic and ecological sustainability. https://www.fao.org/3/XII/0051-B5.htm. Accessed 4 Sept 2019
Gerassisa S, Albuquerque MTD, Roque N, Ribeiro S, Taboada J, Ribeiro MM (2021) Future habitat suitability for species under climate change—lessons learned from the strawberry tree case study. For Ecol Manage 491:119150. https://doi.org/10.1016/j.foreco.2021.119150
Gladstone C (2001) Afghanistan revisited. Nova Publishers, Hauppauge, p 121
Goparaju L, Ahmad F, Uddin M, Rizvi J (2020) Agroforestry: an effective multi-dimensional mechanism for achieving sustainable development goals. Ecol Quest 31(3):63–71. https://doi.org/10.12775/EQ.2020.023
Goswami BN, Venugopal V, Sengupta D, Madhusoodanan MS, Xavier PK (2006) Increasing trend of extreme rain events over India in a warming environment. Science 314:1442–1445
Hansen MC, Potapov PV, Moore R, Hancher M, Turubanova SA, Tyukavina A, Thau D, Stehman SV, Goetz SJ, Loveland TR, Kommareddy A, Egorov A, Chini L, Justice CO, Townshend JRG (2013) High-resolution global maps of 21st-century forest cover change. Science 342:850–853
Hassan M, Shaikh MS, Jadoon HUK et al (2020) Dynamic modeling and vector control of AC induction traction motor in china railway. Sukkur IBA J Emerg Technol. https://doi.org/10.30537/sjet.v3i2.622
Kaur S, Kaur H (2017) Climate change begs for policy initiatives in South Asia. https://www.eastasiaforum.org/2017/08/26/climatechange-begs-for-policy-initiatives-in-south-asia/. Accessed 10 Oct 2018
Lal M, Cubasch U, Voss R, Waszkewitz J (1995) Effect of transient increases in greenhouse gases and sulphate aerosols on monsoon climate. Curr Sci 69(9):752–763
Leakey RRB (2017) Definition of agroforestry revisited. In: Multifunctional agriculture—achieving sustainable development in Africa, RRB Leakey. Academic Press, San Diego, pp 5–6
LL (2021) Land links. https://www.land-links.org/country-profile/afghanistan/#:~:text=Land-,LAND%20USE,rivers%20shores%20and%20rocky%20areas. Accessed 20 May 2021
Mahaqi A (2021) Traditional water management systems in Afghanistan; lessons for the future. Arab J Geosci. https://doi.org/10.21203/rs.3.rs-219040/v1
MAIL (2019) Ministry of Agriculture, Irrigation and Livestock, Afghanistan: annual report.
Mandal VP, Rehman S, Ahmed R et al (2020) Land suitability assessment for optimal cropping sequences in Katihar district of Bihar, India using GIS and AHP. Spat Inf Res 28:589–599. https://doi.org/10.1007/s41324-020-00315-z
Nair PKR, Garrity D (2012) Agroforestry—the future of global land use. Springer, Berlin. https://doi.org/10.1007/978-94-007-4676-3
Oli BN, Treue T, Larsen HO (2015) Socio-economic determinants of growing trees on farms in the middle hills of Nepal. Agrofor Syst 89:765–777. https://doi.org/10.1007/s10457-015-9810-1
Pinho RC, Miller RP, Alfaia SS (2012) Agroforestry and the improvement of soil fertility: a view from Amazonia. Appl Environ Soil Sci. https://doi.org/10.1155/2012/616383
Qadir A, Talukdar NR, Uddin MM, Ahmad F, Goparaju L (2021) Predicting forest fire using multispectral satellite measurements in Nepal. Remote Sens Appl: Soc Environ 23:100539. https://doi.org/10.1016/j.rsase.2021.100539
Qayum A, Ahmad F, Arya R et al (2020) (2020) Predictive modeling of forest fire using geospatial tools and strategic allocation of resources: eForestFire. Stoch Environ Res Risk Assess 34:2259–2275. https://doi.org/10.1007/s00477-020-01872-3
Ramanathan V, Chung C, Kim D, Bettge T, Buja L, Kiehl JT, Washington WM, Fu Q, Sikka DR, Wild M (2005) Atmospheric brown clouds: impacts on South Asian climate and hydrological cycle. Proc Natl Acad Sci 102:5326–5333
Rana S, Rana H, Shrestha K, Sujakhu S, Ranjitkar S (2018) Determining bioclimatic space of Himalayan alder for agroforestry systems in Nepal. Plant Divers 40:1–18. https://doi.org/10.1016/j.pld.2017.11.002
Reddy GPO (2018) Geospatial technologies in land resources mapping, monitoring, and management: an overview. In: Reddy G, Singh S (eds) Geospatial technologies in land resources mapping, monitoring and management. Geotechnologies and the environment, vol 21. Springer, Cham. https://doi.org/10.1007/978-3-319-78711-4_1
Reppin S, Kuyah S, Neergaard A, Oelofse M, Rosenstock S (2019) Contribution of agroforestry to climate change mitigation and livelihoods in Western Kenya. Agrofor Syst 94:203–220. https://doi.org/10.1007/s10457-019-00383-7.01234
Shaikh MS, Hua C, Jatoi MA, Ansari MM, Qader AA (2021a) Application of grey wolf optimisation algorithm in parameter calculation of overhead transmission line system. IET Sci Meas Technol 15(2):218–231. https://doi.org/10.1049/smt2.12023
Shaikh MS, Hua C, Hassan M et al (2021b) Optimal parameter estimation of overhead transmission line considering different bundle conductors with the uncertainty of load modeling. Optim Control Appl Methods. https://doi.org/10.1002/oca.2772
Shaikh MS, Hua C, Raj S et al (2021c) Optimal parameter estimation of 1-phase and 3-phase transmission line for various bundle conductor’s using modified whale optimization algorithm. Int J Electr Power Energy Syst. https://doi.org/10.1016/j.ijepes.2021.107893
Talukdar NR, Choudhary P, Ahmad F et al (2020) Habitat suitability of the Asiatic elephant in the trans-boundary Patharia Hills Reserve Forest, northeast India. Model Earth Syst Environ 6:1951–1961
Thorlakson T, Neufeldt H (2012) Reducing subsistence farmers’ vulnerability to climate change: evaluating the potential contributions of agroforestry in western Kenya. Agric Food Secur 1:15. https://doi.org/10.1186/2048-7010-1-15
Torquebiau E, Berry D, Caron P, Grosclaude JY (2016) New research perspectives to address climate challenges facing agriculture worldwide. In: Torquebiau E (ed) Climate change and agriculture worldwide. Springer, Dordrecht, pp 337–348
Trabucco A, Zomer RJ (2009) Global aridity index (global-aridity) and global potential evapo-transpiration (global-PET) geospatial database. CGIAR Consortium for spatial information. CGIAR-CSI GeoPortal. https://cgiarcsi.community/data/global-aridity-and-pet-database/. Accessed 15 March 2021
Uhl W (2006) An overview of ground water resources and challenges. Ground Water 44(5):626–627. https://doi.org/10.1111/j.1745-6584.2006.00251.x
Whitehead K (2014) Afghanistan. Mason Crest, United States. https://archive.org/details/afghanistanthegr00kimw. Accessed 27 April 2021
World Bank (2011) Understanding gender in agricultural value chain: the cases of grapes/raisins, almonds, and saffron in Afghanistan. World Bank, Washington, DC
World Bank (2014) Islamic Republic of Afghanistan Agricultural Sector review: revitalizing agriculture for economic growth, job creation and food security. Report no: AUS9779
Yadav S, Bhattacharya P, Areendran G et al (2021) Predicting impact of climate change on geographical distribution of major NTFP species in the Central India Region. Model Earth Syst Environ 8:449–468. https://doi.org/10.1007/s40808-020-01074-4
Funding
The funder had no role in study design, data collection, and analysis, decision to publish, or preparation of the manuscript.
Author information
Authors and Affiliations
Corresponding author
Ethics declarations
Conflict of interest
On behalf of all authors, the corresponding author states that there is no conflict of interest.
Additional information
Publisher's Note
Springer Nature remains neutral with regard to jurisdictional claims in published maps and institutional affiliations.
Supplementary Information
Below is the link to the electronic supplementary material.
Rights and permissions
Springer Nature or its licensor holds exclusive rights to this article under a publishing agreement with the author(s) or other rightsholder(s); author self-archiving of the accepted manuscript version of this article is solely governed by the terms of such publishing agreement and applicable law.
About this article
Cite this article
Ahmad, F., Talukdar, N.R., Goparaju, L. et al. Satellite-Based GIS Evaluation of Land to Scale Agroforestry Restoration Planning in Afghanistan. Biophys Econ Sust 7, 8 (2022). https://doi.org/10.1007/s41247-022-00104-2
Received:
Revised:
Accepted:
Published:
DOI: https://doi.org/10.1007/s41247-022-00104-2
Keywords
- Afghanistan
- GIS modeling
- Land potentiality
- Policy & planning