Fig. 10
From: Deriving EROI for Thirty Large Oil Companies Using the CO2 Proxy from 1999 to 2018

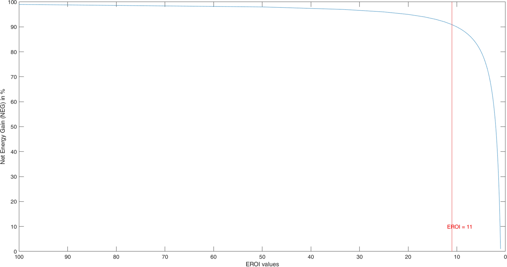
Relationship between EROI and NEG (Euan Mearns diagram, who called it the energy cliff)
From: Deriving EROI for Thirty Large Oil Companies Using the CO2 Proxy from 1999 to 2018

Relationship between EROI and NEG (Euan Mearns diagram, who called it the energy cliff)