Fig. 1
From: A restricted latent class model with polytomous attributes and respondent-level covariates

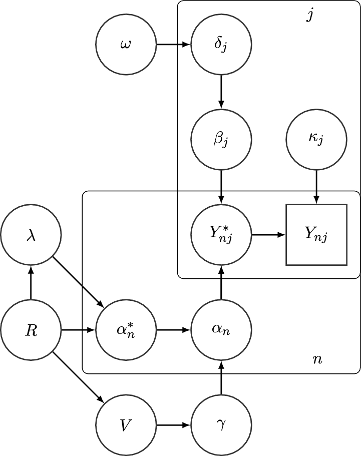
Directed graphical model (for alt text, see Supplementary Material D)
From: A restricted latent class model with polytomous attributes and respondent-level covariates

Directed graphical model (for alt text, see Supplementary Material D)