Skip to main content

Identification of key genes of papillary thyroid cancer using integrated bioinformatics analysis

Abstract

Objective

To identify novel clinically relevant genes in papillary thyroid carcinoma from public databases.

Methods

Four original microarray datasets, GSE3678, GSE3467, GSE33630 and GSE58545, were downloaded. Differentially expressed genes (DEGs) were filtered from integrated data. Gene ontology (GO) and Kyoto Encyclopedia of Genes and Genomes (KEGG) pathway enrichment analyses were performed, followed by protein–protein interaction (PPI) network construction. The CentiScape pug-in was performed to scale degree. The genes at the top of the degree distribution (≥ 95% percentile) in the significantly perturbed networks were defined as central genes. UALCAN and The Cancer Genome Atlas Clinical Explorer were used to verify clinically relevant genes and perform survival analysis.

Result

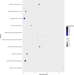
225 commonly changed DEGs (111 up-regulated and 114 down-regulated) were identified. The DEGs were classified into three groups by GO terms. KEGG pathway enrichment analysis showed DEGs mainly enriched in the PI3K–Akt signaling pathway, pathways in cancer, focal adhesion and proteoglycans in cancer. DEGs’ protein–protein interaction (PPI) network complex was developed; six central genes (BCL2, CCND1, FN1, IRS1, COL1A1, CXCL12) were identified. Among them, BCL2, CCND1 and COL1A1 were identified as clinically relevant genes.

Conclusion

BCL2, CCND1 and COL1A1 may be key genes for papillary thyroid carcinoma. Further molecular biological experiments are required to confirm the function of the identified genes.

This is a preview of subscription content, access via your institution.

Fig. 1
Fig. 2
Fig. 3
Fig. 4
Fig. 5

References

  1. Carling T, Udelsman R (2014) Thyroid cancer. Annu Rev Med 65:125–137. https://doi.org/10.1146/annurev-med-061512-105739

    CAS  Article  PubMed  Google Scholar 

  2. Howlader NNA, Krapcho M, Miller D, Bishop K, Kosary CL, Yu M, Ruhl J, Tatalovich Z, Mariotto A, Lewis DR, Chen HS, Feuer EJ, Cronin KA (2017) SEER cancer statistics review, 1975–2014, National Cancer Institute. https://seer.cancer.gov/csr/1975_2014/, based on November 2016 SEER data submission

  3. Grant CS (2014) Papillary thyroid cancer: strategies for optimal individualized surgical management. Clin Ther 36(7):1117–1126. https://doi.org/10.1016/j.clinthera.2014.03.016

    Article  PubMed  Google Scholar 

  4. Tufano RP, Teixeira GV, Bishop J, Carson KA, Xing M (2012) BRAF mutation in papillary thyroid cancer and its value in tailoring initial treatment: a systematic review and meta-analysis. Medicine (Baltimore) 91(5):274–286. https://doi.org/10.1097/MD.0b013e31826a9c71

    CAS  Article  Google Scholar 

  5. Xing M (2005) BRAF mutation in thyroid cancer. Endocr Relat Cancer 12(2):245–262. https://doi.org/10.1677/erc.1.0978

    CAS  Article  PubMed  Google Scholar 

  6. Lopes JP, Fonseca E (2011) BRAF gene mutation in the natural history of papillary thyroid carcinoma: diagnostic and prognostic implications. Acta Med Port 24(Suppl 4):855–868

    CAS  PubMed  Google Scholar 

  7. Gautier L, Cope L, Bolstad BM, Irizarry RA (2004) affy–analysis of Affymetrix GeneChip data at the probe level. Bioinformatics 20(3):307–315. https://doi.org/10.1093/bioinformatics/btg405

    CAS  Article  PubMed  Google Scholar 

  8. Ritchie ME, Phipson B, Wu D, Hu Y, Law CW, Shi W, Smyth GK (2015) limma powers differential expression analyses for RNA-sequencing and microarray studies. Nucleic Acids Res 43(7):e47. https://doi.org/10.1093/nar/gkv007

    CAS  Article  PubMed  PubMed Central  Google Scholar 

  9. Dennis G Jr, Sherman BT, Hosack DA, Yang J, Gao W, Lane HC, Lempicki RA (2003) DAVID: database for annotation, visualization, and integrated discovery. Genome Biol 4(5):P3

    Article  PubMed Central  Google Scholar 

  10. Kanehisa M, Furumichi M, Tanabe M, Sato Y, Morishima K (2017) KEGG: new perspectives on genomes, pathways, diseases and drugs. Nucleic Acids Res 45(D1):D353–D361. https://doi.org/10.1093/nar/gkw1092

    CAS  Article  PubMed  Google Scholar 

  11. Szklarczyk D, Morris JH, Cook H, Kuhn M, Wyder S, Simonovic M, Santos A, Doncheva NT, Roth A, Bork P, Jensen LJ, von Mering C (2017) The STRING database in 2017: quality-controlled protein–protein association networks, made broadly accessible. Nucleic Acids Res 45(D1):D362–D368. https://doi.org/10.1093/nar/gkw937

    CAS  Article  PubMed  Google Scholar 

  12. Scardoni G, Tosadori G, Faizan M, Spoto F, Fabbri F, Laudanna C (2014) Biological network analysis with CentiScaPe: centralities and experimental dataset integration. F1000Res 3:139. https://doi.org/10.12688/f1000research.4477.2

  13. Chandrashekar DS, Bashel B, Balasubramanya SAH, Creighton CJ, Ponce-Rodriguez I, Chakravarthi B, Varambally S (2017) UALCAN: a portal for facilitating tumor subgroup gene expression and survival analyses. Neoplasia 19(8):649–658. https://doi.org/10.1016/j.neo.2017.05.002

    CAS  Article  PubMed  PubMed Central  Google Scholar 

  14. Lee H, Palm J, Grimes SM, Ji HP (2015) The Cancer Genome Atlas Clinical Explorer: a web and mobile interface for identifying clinical-genomic driver associations. Genome Med 7:112. https://doi.org/10.1186/s13073-015-0226-3

    CAS  Article  PubMed  PubMed Central  Google Scholar 

  15. Qu T, Li YP, Li XH, Chen Y (2016) Identification of potential biomarkers and drugs for papillary thyroid cancer based on gene expression profile analysis. Mol Med Rep 14(6):5041–5048. https://doi.org/10.3892/mmr.2016.5855

    CAS  Article  PubMed  PubMed Central  Google Scholar 

  16. Yu J, Mai W, Cui Y, Kong L (2016) Key genes and pathways predicted in papillary thyroid carcinoma based on bioinformatics analysis. J Endocrinol Investig 39(11):1285–1293

    CAS  Article  Google Scholar 

  17. Cancer Genome Atlas Research N (2014) Integrated genomic characterization of papillary thyroid carcinoma. Cell 159(3):676–690. https://doi.org/10.1016/j.cell.2014.09.050

    CAS  Article  Google Scholar 

  18. Costa AM, Herrero A, Fresno MF, Heymann J, Alvarez JA, Cameselle-Teijeiro J, Garcia-Rostan G (2008) BRAF mutation associated with other genetic events identifies a subset of aggressive papillary thyroid carcinoma. Clin Endocrinol (Oxf) 68(4):618–634. https://doi.org/10.1111/j.1365-2265.2007.03077.x

    CAS  Article  Google Scholar 

  19. Guerra A, Zeppa P, Bifulco M, Vitale M (2014) Concomitant BRAF(V600E) mutation and RET/PTC rearrangement is a frequent occurrence in papillary thyroid carcinoma. Thyroid 24(2):254–259. https://doi.org/10.1089/thy.2013.0235

    CAS  Article  PubMed  Google Scholar 

  20. Charles RP, Silva J, Iezza G, Phillips WA, McMahon M (2014) Activating BRAF and PIK3CA mutations cooperate to promote anaplastic thyroid carcinogenesis. Mol Cancer Res 12(7):979–986. https://doi.org/10.1158/1541-7786.MCR-14-0158-T

    CAS  Article  PubMed  PubMed Central  Google Scholar 

  21. Ricarte-Filho JC, Ryder M, Chitale DA, Rivera M, Heguy A, Ladanyi M, Janakiraman M, Solit D, Knauf JA, Tuttle RM, Ghossein RA, Fagin JA (2009) Mutational profile of advanced primary and metastatic radioactive iodine-refractory thyroid cancers reveals distinct pathogenetic roles for BRAF, PIK3CA, and AKT1. Cancer Res 69(11):4885–4893. https://doi.org/10.1158/0008-5472.CAN-09-0727

    CAS  Article  PubMed  PubMed Central  Google Scholar 

  22. Radu TG, Mogoanta L, Busuioc CJ, Stanescu C, Grosu F (2015) Histological and immunohistochemical aspects of papillary thyroid cancer. Rom J Morphol Embryol 56(2 Suppl):789–795

    PubMed  PubMed Central  Google Scholar 

  23. Min XS, Huang P, Liu X, Dong C, Jiang XL, Yuan ZT, Mao LF, Chang S (2015) Bioinformatics analyses of significant prognostic risk markers for thyroid papillary carcinoma. Tumour Biol 36(10):7457–7463. https://doi.org/10.1007/s13277-015-3410-6

    CAS  Article  PubMed  PubMed Central  Google Scholar 

  24. Wang YX, Zhao L, Wang XY, Liu CM, Yu SG (2012) Role of Caspase 8, Caspase 9 and Bcl-2 polymorphisms in papillary thyroid carcinoma risk in Han Chinese population. Med Oncol 29(4):2445–2451. https://doi.org/10.1007/s12032-011-0121-8

    CAS  Article  PubMed  PubMed Central  Google Scholar 

  25. Huang CY, Tsai CW, Hsu CM, Chang WS, Shui HA, Bau DT (2015) The significant association of CCND1 genotypes with colorectal cancer in Taiwan. Tumour Biol 36(8):6533–6540. https://doi.org/10.1007/s13277-015-3347-9

    CAS  Article  PubMed  PubMed Central  Google Scholar 

  26. Kuo HW, Huang CY, Fu CK, Liao CH, Hsieh YH, Hsu CM, Tsai CW, Chang WS, Bau DT (2014) The significant association of CCND1 genotypes with gastric cancer in Taiwan. Anticancer Res 34(9):4963–4968

    CAS  PubMed  PubMed Central  Google Scholar 

  27. Seiler R, Thalmann GN, Rotzer D, Perren A, Fleischmann A (2014) CCND1/CyclinD1 status in metastasizing bladder cancer: a prognosticator and predictor of chemotherapeutic response. Mod Pathol 27(1):87–95. https://doi.org/10.1038/modpathol.2013.125

    CAS  Article  PubMed  PubMed Central  Google Scholar 

  28. Li J, Luo F, Zhang H, Li L, Xu Y (2014) The CCND1 G870A polymorphism and susceptibility to bladder cancer. Tumour Biol 35(1):171–177. https://doi.org/10.1007/s13277-013-1021-7

    CAS  Article  PubMed  PubMed Central  Google Scholar 

  29. Aytekin T, Aytekin A, Maralcan G, Gokalp MA, Ozen D, Borazan E, Yilmaz L (2014) A cyclin D1 (CCND1) gene polymorphism contributes to susceptibility to papillary thyroid cancer in the Turkish population. Asian Pac J Cancer Prev 15(17):7181–7185

    Article  PubMed Central  Google Scholar 

  30. Li J, Ding Y, Li A (2016) Identification of COL1A1 and COL1A2 as candidate prognostic factors in gastric cancer. World J Surg Oncol 14(1):297. https://doi.org/10.1186/s12957-016-1056-5

    Article  PubMed  PubMed Central  Google Scholar 

  31. Ibanez de Caceres I, Dulaimi E, Hoffman AM, Al-Saleem T, Uzzo RG, Cairns P (2006) Identification of novel target genes by an epigenetic reactivation screen of renal cancer. Cancer Res 66(10):5021–5028. https://doi.org/10.1158/0008-5472.CAN-05-3365

    CAS  Article  PubMed  Google Scholar 

Download references

Author information

Affiliations

Authors

Corresponding author

Correspondence to W. Liang.

Ethics declarations

Conflict of interest

On behalf of all authors, the corresponding author states that there is no conflict of interest.

Ethical approval

This research did not involve human participants or animals. Data were collected from public databases.

Informed consent

Informed consent was not needed.

Rights and permissions

Reprints and Permissions

About this article

Verify currency and authenticity via CrossMark

Cite this article

Liang, W., Sun, F. Identification of key genes of papillary thyroid cancer using integrated bioinformatics analysis. J Endocrinol Invest 41, 1237–1245 (2018). https://doi.org/10.1007/s40618-018-0859-3

Download citation

  • Received:

  • Accepted:

  • Published:

  • Issue Date:

  • DOI: https://doi.org/10.1007/s40618-018-0859-3

Keywords

  • Papillary thyroid cancer
  • Key genes
  • Bioinformatics analysis