Skip to main content

Utility of baseline serum phosphorus levels for predicting remission in acromegaly patients

Abstract

Purpose

High GH and IGF I levels increase tubular phosphate reabsorption in patients with acromegaly. We aimed to investigate the utility of serum phosphorus levels as an indicator for predicting chance of remission in acromegaly patients.

Design

Fifty-one patients (n: 51; F: 24, M: 27) with diagnosis of acromegaly were included in the study. Plasma IGF-1, Phosphorus (P) and nadir GH levels on oral glucose tolerance test (OGTT) at the time of diagnosis were analysed retrospectively. Patients were classified into two groups according to their plasma P levels; P ≤ 4.5 mg/dl (Group-1, n: 23, 45.1%), P > 4.5 mg/dl (Group-2, n: 28, 54.9%). Two groups were compared according to remission status; remission (n: 27) and non-remission (n: 24). Remission was defined with absence of clinical symptoms, normal plasma IGF-1 (adjusted for age and gender) and GH levels (<1 mcg/dl) at least 3 months after initial treatment.

Results

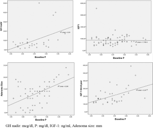
Serum P levels decreased significantly after treatment in both groups (p < 0.001). There was a significant correlation between baseline phosphorus levels and remission rates, nadir GH in OGTT, pituitary adenoma size and Ki-67 scores (p = 0.001, r: −0.51; p = 0.01, r: 0.44; p = 0.001, r: 0.52; p = 0.02, r: 0.71, respectively). Mean baseline P levels were significantly higher in patients with non-remission (4.8 vs 4.2, P < 0.001). Logistic regression analysis did not reveal an independent effect on remission with any of these risk factors.

Conclusion

High serum P levels may be an indicator for a low likelihood of onset of remission in acromegaly patients. Further studies with wider spectrum are needed to make specific suggestions.

This is a preview of subscription content, access via your institution.

Fig. 1
Fig. 2

References

  1. Melmed SS (2006) Medical progress: acromegaly. N Engl J Med 355:2558–2573

    CAS  Article  PubMed  Google Scholar 

  2. Chanson P, Salenave S (2008) Acromegaly. Orphanet J Rare Dis 3:17

    Article  PubMed  PubMed Central  Google Scholar 

  3. Takamoto S, Tsuchiya H, Onishi T (1985) Changes in calcium homeostasis in acromegaly treated by pituitary adenomectomy. J Clin Endocrinol Metab 61:7–11

    CAS  Article  PubMed  Google Scholar 

  4. Menaa C, Vrtovsnik F, Friedlander G (1995) Insulin-like growth factor I, a unique calcium-dependent stimulator of 1.25-dihydroxyvitamin D3 production. Studies in cultured mouse kidney cells. J Biol Chem 270:25461–25467

    CAS  Article  PubMed  Google Scholar 

  5. Corvilain J, Abramow M, Bergans A (1962) Some effects of human growth hormone on renal hemodynamics and on tubular phosphate transport in man. J Clin Invest 41:1230–1235

    CAS  Article  PubMed  PubMed Central  Google Scholar 

  6. Quigley R, Baum M (1991) Effects of growth hormone and insulin like growth factor I on rabbit proximal convoluted tubule transport. J Clin Invest 88:368–374

    CAS  Article  PubMed  PubMed Central  Google Scholar 

  7. Mori R, Inoshita N, Takahashi-Fujigasaki J (2013) Clinicopathological features of growth hormone-producing pituitary adenomas in 242 acromegaly patients: classification according to hormone production and cytokeratin distribution, ISRN. Endocrinol 2013:723432. doi:10.1155/2013/723432

    Google Scholar 

  8. Sievers C, Baur DM, Schwanke A (2015) Prediction of therapy response in acromegalic patients. Pitutary 18:916–923

  9. Resmini E, Minuto F, Colao A et al (2009) Secondary diabetes associated with principal endocrinopathies: the impact of new treatment modalities. Acta Diabetol 46:85–95

    CAS  Article  PubMed  Google Scholar 

  10. Lederer E (2014) Regulation of serum phosphate. J Physiol 592(18):3985–3995

    CAS  Article  PubMed  PubMed Central  Google Scholar 

  11. Droste M, Domberg J, Buchfelderet al M (2014) Therapy of acromegalic patients exacerbated by concomitant type 2 diabetes requires higher pegvisomant doses to normalise IGF1 levels. Eur J Endocrinol 17:159–168

    Google Scholar 

  12. Lund B, Eskildsen PC, Lund B (1981) Calcium and vitamin D metabolism in acromegaly. Acta Endocrinol (Copenh) 96:444–450

    CAS  PubMed  Google Scholar 

  13. Camanni F, Massara F, Losana O, Molinatti GM (1968) Increased renal tubular reabsorption of phosphorus in acromegaly. J Clin Endocrinol Metab 28(7):999–1005

    CAS  Article  PubMed  Google Scholar 

  14. Tonelli M, Sacks F, Pfeffer M (2005) Cholesterol and recurrent events trial investigators. Relation between serum phosphate level and cardiovascular event rate in people with coronary disease. Circulation 112:2627–2633

    CAS  Article  PubMed  Google Scholar 

  15. Foley RN (2009) Phosphate levels and cardiovascular disease in the general population Clin Am Soc Nephrol 4:1136–1139.

  16. Van der Meer IM, Middelkoop BJC, Boeke AJP, Lips P (2011) Prevalence of vitamin D deficiency among Turkish, Moroccan, Indian and sub-Sahara African populations in Europe and their countries of origin: an overview. Osteoporos Int 22(4):1009–1021

    CAS  Article  PubMed  Google Scholar 

  17. Shimada T, Kakitani M, Yamazaki Y (2004) Targeted ablation of FGF23 demonstrates an essential physiological role of FGF23 in phosphate and vitamin D metabolism. J Clin Invest 113:561–568

    CAS  Article  PubMed  PubMed Central  Google Scholar 

  18. Ito N, Fukumoto S, Taguchi M (2007) Fibroblast growth factor (FGF)23 in patients with acromegaly. Endocr J 54:481–484

    CAS  Article  PubMed  Google Scholar 

  19. Quarles LD (2008) Endocrine functions of bone in mineral metabolism regulation. J Clin Invest 118:3820–3828

    CAS  Article  PubMed  PubMed Central  Google Scholar 

  20. Sze L, Bernays RL, Zwimpfer C (2012) Excessively high soluble Klotho in patients with acromegaly. J Intern Med 272:93–97

  21. Jawiarczyk-Przybyłowska A, Halupczok-Zyla J, Bolanowski M (2016) Soluble α-Klotho—a new marker of acromegaly? Endokrynol Pol 67:390–396

    PubMed  Google Scholar 

  22. Parkinson C, Ryder WD, Trainer PJ et al (2001) The relationship between serum GH and serum IGF-I in acromegaly is gender specific. J Clin Endocrinol Metab 86:5240–5244

    CAS  Article  PubMed  Google Scholar 

  23. Bianda T, Hussain MA, Glatz Y (1997) Effects of short-term insulin-like growth factor-I or growth hormone treatment on bone turnover, renal phosphate reabsorption and 1,25 dihydroxyvitamin D production in healthy man. J Intern Med 241:143–150

    CAS  Article  PubMed  Google Scholar 

  24. Kamenický P, Blanchard A, Gauci C (2012) Pathophysiology of renal calcium handling in acromegaly: what lies behind hypercalciuria. J Clin Endocrinol Metab 97:2124–2133

    Article  PubMed  Google Scholar 

  25. Kurosu H, Ogawa Y, Miyosh M (2006) Regulation of fibroblast growth factor-23 signaling by klotho. J Biol Chem 281:6120–6123

    CAS  Article  PubMed  PubMed Central  Google Scholar 

  26. Bhayana S, Booth GL, Asaet al SL (2005) The implication of somatotroph adenoma phenotype to somatostatin analog responsiveness in acromegaly. J Clin Endocrinol Metab 90:6290–6295

    CAS  Article  PubMed  Google Scholar 

  27. Turner HE, Wass JA et al (1999) Are markers of proliferation valuable in the histological assessment of pituitary tumours. Pituitary 1:147–151

    CAS  Article  PubMed  Google Scholar 

  28. Thapar K, Kovacset al K (1996) BW Scheithauer. Proliferative activity and invasiveness among pituitary adenomas and carcinomas: an analysis using the MIB-1 antibody. Neurosurgery 38:99–106

    CAS  Article  PubMed  Google Scholar 

  29. DeLellis RA, Lloyd RV, Heitz PU (2004) World Health Organization classification of tumors: tumors of endocrine organs. IARC Press, Lyon, France

    Google Scholar 

  30. Pokrajac A, Frystyk J, Flyvbjerg A, Trainer PJ (2009) Pituitary-independent effect of octreotide on IGF1 generation. Eur J Endocrinol 160:543–548

    CAS  Article  PubMed  Google Scholar 

Download references

Acknowledgements

The authors are grateful to Professor Nese Colak Ozbey from Istanbul University, Istanbul Medical Faculty, Department of Internal Medicine, Division of Endocrinology and Metabolism Disorders for review of this article.

Author information

Affiliations

Authors

Corresponding author

Correspondence to G. Y. Yalin.

Ethics declarations

Funding

This research did not receive any specific grant from funding agencies in the public, commercial, or not-for-profit sectors.

Conflict of interest

The authors declare that they have no conflict of interest.

Ethical approval

This study was approved by the Ethics Committee of Istanbul University Istanbul Medical Faculty, and all procedures were performed in accordance with the Declaration of Helsinki.

Informed consent

Informed consent was obtained from all individuals included in the study.

Rights and permissions

Reprints and Permissions

About this article

Verify currency and authenticity via CrossMark

Cite this article

Yalin, G.Y., Tanrikulu, S., Gul, N. et al. Utility of baseline serum phosphorus levels for predicting remission in acromegaly patients. J Endocrinol Invest 40, 867–874 (2017). https://doi.org/10.1007/s40618-017-0657-3

Download citation

  • Received:

  • Accepted:

  • Published:

  • Issue Date:

  • DOI: https://doi.org/10.1007/s40618-017-0657-3

Keywords

  • Acromegaly
  • Phosphorus
  • IGF-1
  • Remission