Abstract
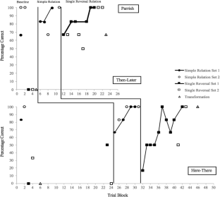
The present study demonstrates the utility of relational training for teaching Then-Later and Here-There deictic relations for two children with autism. Mutually entailed single-reversal relations, transfers of stimulus function, and transformations of stimulus function were also evaluated for each participant. The methods were adapted from the PEAK-T curriculum. Results for both participants support the utility of relational training for teaching children with autism basic perspective-taking skills. Both participants were able to generalize the perspective-taking skills to novel sets of stimuli, and demonstrate mutually entailed responding during single-reversal tasks. Both participants were also able to demonstrate transformations of stimulus function for both Then-Later and Here-There deictic relations.
This is a preview of subscription content, access via your institution.


References
American Psychiatric Association. (2013). Diagnostic and statistical manual of mental disorders: DSM-5. Washington, D.C.: American Psychiatric Association.
Barnes-Holmes, Y., McHugh, L., & Barnes-Holmes, D. (2004). Perspective-taking and theory of mind: A relational frame account. The Behavior Analyst Today, 5, 15–25. https://doi.org/10.1037/h0100133.
Baron-Cohen, S., Leslie, A. M., & Frith, U. (1985). Does the autistic child have a “theory of mind”? Cognition, 21, 37–46. https://doi.org/10.1016/0010-0277(85)90022-8.
Belisle, J., Dixon, M. R., Stanley, C. R., Munoz, B., & Daar, J. H. (2016). Teaching foundational perspective-taking skills to children with autism using the PEAK-T curriculum: Single-reversal “I–You” deictic frames. Journal of Applied Behavior Analysis, 49, 965–969. https://doi.org/10.1002/jaba.324.
Dixon, M. R. (2016). PEAK relational training system: Transformation module. Carbondale, IL: Shawnee Scientific Press.
Dixon, M. R., Speelman, R. C., Rowsey, K. E., & Belisle, J. (2016). Derived rule-following and transformation of stimulus functions in a children’s game: An application of PEAK-E with children with developmental disabilities. Journal of Contextual Behavioral Sciences. https://doi.org/10.1016/j.jcbs.2016.05.002.
Dougher, M. J., Augusten, E., Markham, M. R., Greenway, D. E., & Wulfert, E. (1994). The transfer of respondent eliciting and extinction functions through stimulus equivalence classes. Journal of the Experimental Analysis of Behavior, 62, 331–351. https://doi.org/10.1901/jeab.1994.62-331.
Dymond, S., & Rehfeldt, R. A. (2000). Understanding complex behavior: the transformation of stimulus functions. The Behavior Analyst, 23, 239–254. https://doi.org/10.1007/BF03392013.
Gilroy, S. P., Lorah, E. R., Dodge, J., & Fiorello, C. (2015). Establishing deictic repertoires in autism. Research in Autism Spectrum Disorders, 19, 82–92. https://doi.org/10.1016/j.rasd.2015.04.004.
Hayes, S. C., Barnes-Holmes, D., & Roche, B. (2001). Relational frame theory: A post-Skinnerian account of human language and cognition. New York, NY: Kluwer Academic/Plenum.
Jackson, M. L., Mendoza, D. R., & Adams, A. N. (2014). Teaching a deictic relational repertoire to children with autism. The Psychological Record, 64, 791–802. https://doi.org/10.1007/s40732-014-0078-z.
Lovett, S., & Rehfeldt, R. A. (2014). An evaluation of multiple exemplar instruction to teach perspective-taking skills to adolescents with Asperger syndrome. Behavioral Development Bulletin, 19, 22–36. https://doi.org/10.1037/h0100575.
O’hora, D., Pelaez, M., & Barnes-Holmes, D. (2005). Derived relational responding and performance on verbal subtests of the WAIS-III. The Psychological Record, 55, 155–175. https://doi.org/10.1007/BF03395504.
Premack, D., & Woodruff, G. (1978). Does the chimpanzee have a theory of mind? Behavioral and Brain Sciences, 1, 515–526. https://doi.org/10.1017/S0140525X00076512.
Rehfeldt, R. A., Dillen, J. E., Ziomek, M. M., & Kowalchuk, R. K. (2007). Assessing relational learning deficits in perspective-taking in children with high-functioning autism spectrum disorder. The Psychological Rcord, 57, 23–47. https://doi.org/10.1007/BF03395563.
Weil, T. M., Hayes, S. C., & Capurro, P. (2011). Establishing a deictic relational repertoire in young children. The Psychological Record, 61, 371–339. https://doi.org/10.1007/BF03395767.
Author information
Authors and Affiliations
Corresponding author
Ethics declarations
Ethical Approval
All procedures performed in this study which involved human participants were in accordance with the ethical standards of the institution and/or national research committee and with the 1964 Helsinki declaration and its later amendments or comparable ethical standards.
Informed Consent
Informed consent was obtained for participation in this research.
Disclosure
The last author receives small royalties from sales of the PEAK curriculum.
Additional information
Highlights
1. Children with autism were taught perspective-taking skills.
2. Following training, skills transformed to new tasks.
3. Relational frames were established in the participants.
4. Implications for treating children with autism are provided.
Rights and permissions
About this article
Cite this article
Barron, B.F., Verkuylen, L., Belisle, J. et al. Teaching “Then-Later” and “Here-There” Relations to Children with Autism: an Evaluation of Single Reversals and Transformation of Stimulus Function. Behav Analysis Practice 12, 167–175 (2019). https://doi.org/10.1007/s40617-018-0216-1
Published:
Issue Date:
DOI: https://doi.org/10.1007/s40617-018-0216-1
Keywords
- Autism
- Transformation of stimulus function
- Perspective taking
- Relational frame theory