Abstract
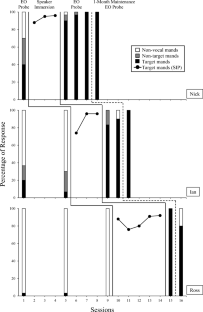
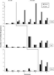
A goal of behavior-analytic interventions is to produce behavior that is maintained under naturalistic conditions. In this experiment, we studied the effects of a speaker immersion protocol (SIP) on the number of speaker responses (tacts and mands) emitted by 3 preschool students under naturalistic, not directly targeted, conditions. During the SIP, the researchers provided 100 daily opportunities for the participants to emit mands using the target mand form by contriving establishing operations (EOs) throughout the school day. The effects of the intervention were evaluated using a multiple-probe design by measuring target mands during EO probe sessions and the number of mands and tacts emitted during noninstructional-setting probe sessions. The researchers found that the SIP produced increases in both targeted and generalized verbal behavior.


References
Albers, A., & Greer, R. D. (1991). Is the three-term contingency trial a predictor of effective instruction? Journal of Behavioral Education, 1, 337–354. https://doi.org/10.1007/BF00947188.
Green, G. (2001). Behavior analytic instruction for learners with autism: Advances in stimulus control technology. Focus on Autism and Other Developmental Disabilities, 16, 72–85. https://doi.org/10.1177/108835760101600203.
Greer, R. D., & Ross, D. E. (2008). Verbal behavior analysis: Inducing and expanding new verbal capabilities in children with language delays. New York, NY: Pearson Education.
Grunsell, J., & Carter, M. (2002). The behavior chain interruption strategy: Generalization to out-of-routine contexts. Education & Training in Mental Retardation & Developmental Disabilities, 37, 378–390.
Hall, G., & Sundberg, M. L. (1987). Teaching mands by manipulating conditioned establishing operations. The Analysis of Verbal Behavior, 5, 41–53. https://doi.org/10.1007/BF03392819.
Haq, S. S., Kodak, T., Kurtz-Nelson, E., Porritt, M., Rush, K., & Cariveau, T. (2015). Comparing the effects of massed and distributed practice on skill acquisition for children with autism. Journal of Applied Behavior Analysis, 48, 454–459. https://doi.org/10.1002/jaba.213.
Horner, R. D., & Baer, D. M. (1978). Multiple probe technique: A variation of the multiple baseline. Journal of Applied Behavior Analysis, 11, 189–196. https://doi.org/10.1901/jaba.1978.11-189.
Horner, R. H., Carr, E. G., Halle, J., McGee, G., Odom, S., & Wolery, M. (2005). The use of single-subject research to identify evidence-based practice in special education. Exceptional Children, 71, 165–179. https://doi.org/10.1177/001440290507100203.
Ingham, P., & Greer, R. D. (1992). Changes in student and teacher responses in observed and generalized settings as a function of supervisor observations of teachers. Journal of Applied Behavior Analysis, 25, 153–164. https://doi.org/10.1901/jaba.1992.25-153.
Laraway, S., Snycerski, S., Michael, J., & Poling, A. (2003). Motivating operations and terms to describe them: Some further refinements. Journal of Applied Behavior Analysis, 36, 407–414. https://doi.org/10.1901/jaba.2003.36-407.
Maffei, J., Singer-Dudek, S., & Keohone, D. (2014). The effects of the establishment of adult faces and/or voices as conditioned reinforcers for children with ASD and related disorders. Acta de Investigacion Psicologia, 4, 1621–1641. https://doi.org/10.1016/S2007-4719(14)70970-6.
Michael, J. (1993). Establishing operations. The Behavior Analyst, 16, 191–206. https://doi.org/10.1007/BF03392623.
Pistoljevic, N., Cahill, C., & Casarini, F. (2010). Effects of a speaker immersion procedure on the production of verbal operants. The Journal of Speech and Language Pathology: Applied Behavior Analysis, 5, 191–206. https://doi.org/10.1037/h0100273.
Ross, D. E., Nuzzolo, R., Stolfi, L., & Natarelli, S. (2006). Effects of speaker immersion on independent speaker behavior of preschool children with verbal delays. Journal of Early and Intensive Behavior Intervention, 3, 135. https://doi.org/10.1037/h0100327.
Skinner, B. F. (1957). Verbal behavior. Acton, MA: Copley Publishing Group and the B. F. Skinner Foundation. https://doi.org/10.1037/11256-000.
Williams, G., & Greer, R. D. (1993). A comparison of verbal-behavior and linguistic-communication curricula for training developmentally delayed adolescents to acquire and maintain vocal speech. Behaviorology, 1, 31–46.
Author information
Authors and Affiliations
Corresponding author
Ethics declarations
Conflict of Interest
All three authors claim no conflict of interest.
Ethical Approval
The school’s institutional review board deemed this research as exempt educational research.
Informed Consent
Each participant’s parent consented to the dissemination of data collected during regular educational activities.
Additional information
Publisher’s Note
Springer Nature remains neutral with regard to jurisdictional claims in published maps and institutional affiliations.
Electronic supplementary material
ESM 1
(PDF 29 kb)
Rights and permissions
About this article
Cite this article
Naresh, A., Short, M.K. & Fienup, D.M. Generalized Verbal Behavior Increases Following a Speaker Immersion Intervention. Analysis Verbal Behav 36, 308–317 (2020). https://doi.org/10.1007/s40616-020-00133-2
Published:
Issue Date:
DOI: https://doi.org/10.1007/s40616-020-00133-2