Skip to main content

Comparison of visceral, general and central obesity indices in the prediction of metabolic syndrome in maintenance hemodialysis patients

Abstract

Purpose

We aimed to compare the predictive ability of the anthropometric indices reflecting general, central and visceral obesity for identification of metabolic syndrome (MetS) in maintenance hemodialysis (MHD) patients.

Methods

A multicenter, cross-sectional study that consisted of 1603 adult MHD patients (54.6 ± 16 years) was conducted in Guizhou Province, Southwest China. Eight anthropometric obesity indexes including body mass index (BMI), waist circumference (WC), waist-height ratio (WHtR), conicity index (Ci) and visceral adiposity index (VAI), lipid accumulation product (LAP), a body shape index (ABSI) and body roundness index (BRI) were recorded. MetS was defined based on the criteria of the International Diabetes Federation. Participants were categorized into four groups according to quartiles of different obesity indices. Binary logistic regression analyses were used to evaluate the associations between the eight obesity parameters and MetS. Receiver operator curve (ROC) analyses were used to identify the best predictor of MetS.

Results

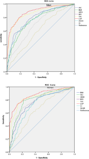
The eight anthropometric obesity indexes were independently associated with MetS risk, even after adjustment for age, sex, educational status and history of smoking. The ROC analysis revealed that all the eight obesity indices included in the study were able to discriminate MetS [all area under the ROC curves (AUCs) > 0.6, P < 0.05]. LAP showed the highest AUC and according to the maximum Youden indexes, the cut off values for men and women were 27.29 and 36.45, respectively. The AUCs of LAP, VAI, ABSI, BRI, WC, WHtR, Ci and BMI were 0.88, 0.87, 0.60, 0.78, 0.79, 0.78, 0.69 and 0.76 for men, and 0.87, 0.85, 0.65, 0.79, 0.81, 0.79, 0.73 and 0.76 for women, respectively. There was no significant difference in the AUC value between LAP and VAI, BRI/WHtR and BMI in men and between BRI/WHtR and BMI in women. The AUC value for WHtR was equal to that for BRI in identifying MetS.

Conclusions

Visceral obesity marker LAP followed by VAI was the most effective predictor of MetS while ABSI followed by CI was the weakest indicator for the screening of MetS in MHD patients. BRI could be an alternative obesity measure to WHtR in assessment of MetS. LAP may be a simple and useful screening tool to identify individuals at high risk of MetS particularly in middle-aged and elderly Chinese MHD patients.

Level of evidence

Level V, descriptive study.

This is a preview of subscription content, access via your institution.

Fig. 1

References

  1. Oda E (2012) Metabolic syndrome: its history, mechanisms, and limitations. Acta Diabetol 49(2):89–95. https://doi.org/10.1007/s00592-011-0309-6

    CAS  Article  PubMed  Google Scholar 

  2. Li R, Li W, Lun Z, Zhang H, Sun Z et al (2016) Prevalence of metabolic syndrome in Mainland China: a meta-analysis of published studies. BMC Public Health 16:296. https://doi.org/10.1186/s12889-016-2870-y

    CAS  Article  PubMed  PubMed Central  Google Scholar 

  3. Duong TV, Wong TC, Chen HH, Chen TW, Chen TH et al (2018) The cut-off values of dietary energy intake for determining metabolic syndrome in hemodialysis patients: a clinical cross-sectional study. PLoS One 13(3):e0193742. https://doi.org/10.1371/journal.pone.0193742

    CAS  Article  PubMed  PubMed Central  Google Scholar 

  4. Sanguankeo A, Upala S (2018) Metabolic syndrome increases mortality risk in dialysis patients: a systematic review and meta-analysis. Int J Endocrinol Metab 16(2):e61201. https://doi.org/10.5812/ijem.61201

    Article  PubMed  PubMed Central  Google Scholar 

  5. Nevill AM, Stewart AD, Olds T, Duncan MJ (2018) A new waist-to-height ratio predicts abdominal adiposity in adults. Res Sports Med. https://doi.org/10.1080/15438627.2018.1502183

    Article  PubMed  Google Scholar 

  6. Mamtani MR, Kulkarni HR (2005) Predictive performance of anthropometric indexes of central obesity for the risk of type 2 diabetes. Arch Med Res 36(5):581–589. https://doi.org/10.1016/j.arcmed.2005.03.049

    Article  PubMed  Google Scholar 

  7. Borel AL, Nazare JA, Smith J, Aschner P, Barter P et al (2015) Visceral, subcutaneous abdominal adiposity and liver fat content distribution in normal glucose tolerance, impaired fasting glucose and/or impaired glucose tolerance. Int J Obes (Lond) 39(3):495–501. https://doi.org/10.1038/ijo.2014.163

    CAS  Article  Google Scholar 

  8. Shah RV, Murthy VL, Abbasi SA, Blankstein R, Kwong RY et al (2014) Visceral adiposity and the risk of metabolic syndrome across body mass index: the MESA Study. JACC Cardiovasc Imaging 7(12):1221–1235. https://doi.org/10.1016/j.jcmg.2014.07.017

    Article  PubMed  PubMed Central  Google Scholar 

  9. Cornier MA, Despres JP, Davis N, Grossniklaus DA, Klein S et al (2011) Assessing adiposity: a scientific statement from the American Heart Association. Circulation 124(18):1996–2019. https://doi.org/10.1161/CIR.0b013e318233bc6a

    Article  PubMed  Google Scholar 

  10. Roriz AK, Passos LC, de Oliveira CC, Eickemberg M, Moreira Pde A et al (2014) Evaluation of the accuracy of anthropometric clinical indicators of visceral fat in adults and elderly. PLoS One 9(7):e103499. https://doi.org/10.1371/journal.pone.0103499

    CAS  Article  PubMed  PubMed Central  Google Scholar 

  11. Amato MC, Giordano C, Galia M, Criscimanna A, Vitabile S et al (2010) Visceral Adiposity Index: a reliable indicator of visceral fat function associated with cardiometabolic risk. Diabetes Care 33(4):920–922. https://doi.org/10.2337/dc09-1825

    Article  PubMed  PubMed Central  Google Scholar 

  12. Thomas DM, Bredlau C, Bosy-Westphal A, Mueller M, Shen W et al (2013) Relationships between body roundness with body fat and visceral adipose tissue emerging from a new geometrical model. Obesity (Silver Spring) 21(11):2264–2271. https://doi.org/10.1002/oby.20408

    Article  Google Scholar 

  13. Krakauer NY, Krakauer JC (2012) A new body shape index predicts mortality hazard independently of body mass index. PLoS One 7(7):e39504. https://doi.org/10.1371/journal.pone.0039504

    CAS  Article  PubMed  PubMed Central  Google Scholar 

  14. Wang H, Liu A, Zhao T, Gong X, Pang T et al (2017) Comparison of anthropometric indices for predicting the risk of metabolic syndrome and its components in Chinese adults: a prospective, longitudinal study. BMJ Open 7(9):e016062. https://doi.org/10.1136/bmjopen-2017-016062

    Article  PubMed  PubMed Central  Google Scholar 

  15. Perona JS, Schmidt-RioValle J, Rueda-Medina B, Correa-Rodriguez M, Gonzalez-Jimenez E (2017) Waist circumference shows the highest predictive value for metabolic syndrome, and waist-to-hip ratio for its components, in Spanish adolescents. Nutr Res 45:38–45. https://doi.org/10.1016/j.nutres.2017.06.007

    CAS  Article  PubMed  Google Scholar 

  16. Zhou C, Peng H, Yuan J, Lin X, Zha Y et al (2018) Visceral, general, abdominal adiposity and atherogenic index of plasma in relatively lean hemodialysis patients. BMC Nephrol 19(1):206. https://doi.org/10.1186/s12882-018-0996-0

    CAS  Article  PubMed  PubMed Central  Google Scholar 

  17. El Said HW, Mohamed OM, El Said TW, El Serwi AB (2017) Central obesity and risks of cardiovascular events and mortality in prevalent hemodialysis patients. Int Urol Nephrol 49(7):1251–1260. https://doi.org/10.1007/s11255-017-1568-0

    Article  PubMed  Google Scholar 

  18. Marcadenti A, Fuchs FD, Moreira LB, Gus M, Fuchs SC (2017) Adiposity phenotypes are associated with type-2 diabetes: LAP index, body adiposity index, and neck circumference. Atherosclerosis 266:145–150. https://doi.org/10.1016/j.atherosclerosis.2017.09.022

    CAS  Article  PubMed  Google Scholar 

  19. Alberti KG, Zimmet P, Shaw J (2006) Metabolic syndrome–a new world-wide definition. A Consensus Statement from the International Diabetes Federation. Diabet Med 23(5):469–480. https://doi.org/10.1111/j.1464-5491.2006.01858.x

    CAS  Article  PubMed  Google Scholar 

  20. DeLong ER, DeLong DM, Clarke-Pearson DL (1988) Comparing the areas under two or more correlated receiver operating characteristic curves: a nonparametric approach. Biometrics 44(3):837–845

    CAS  Article  Google Scholar 

  21. Bhat MA, Laway BA, Shah ZA, Wani AI, Mubarik I (2015) Insulin resistance, metabolic syndrome and chronic low grade inflammation in Sheehan’s syndrome on standard replacement therapy: a case control study. Pituitary 18(3):312–318. https://doi.org/10.1007/s11102-014-0575-8

    Article  PubMed  Google Scholar 

  22. Guo SX, Zhang XH, Zhang JY, He J, Yan YZ et al (2016) Visceral adiposity and anthropometric indicators as screening tools of metabolic syndrome among low income rural adults in Xinjiang. Sci Rep 6:36091. https://doi.org/10.1038/srep36091

    CAS  Article  PubMed  PubMed Central  Google Scholar 

  23. Nascimento-Ferreira MV, Rendo-Urteaga T, Vilanova-Campelo RC, Carvalho HB, da Paz Oliveira G et al (2017) The lipid accumulation product is a powerful tool to predict metabolic syndrome in undiagnosed Brazilian adults. Clin Nutr 36(6):1693–1700. https://doi.org/10.1016/j.clnu.2016.12.020

    CAS  Article  PubMed  Google Scholar 

  24. Blaak E (2001) Gender differences in fat metabolism. Curr Opin Clin Nutr Metab Care 4(6):499–502

    CAS  Article  Google Scholar 

  25. Dai D, Chang Y, Chen Y, Chen S, Yu S et al (2016) Visceral adiposity index and lipid accumulation product index: two alternate body indices to identify chronic kidney disease among the rural population in Northeast China. Int J Environ Res Public Health 13(12)

    Article  Google Scholar 

  26. Motamed N, Khonsari MR, Rabiee B, Ajdarkosh H, Hemasi GR et al (2017) Discriminatory ability of visceral adiposity index (VAI) in diagnosis of metabolic syndrome: a population based study. Exp Clin Endocrinol Diabetes 125(3):202–207. https://doi.org/10.1055/s-0042-119032

    CAS  Article  PubMed  Google Scholar 

  27. (2016) Indirect measure of visceral adiposity ‘A Body Shape Index’ (ABSI) is associated with arterial stiffness in patients with type 2 diabetes. 4(1):e000188. https://doi.org/10.1136/bmjdrc-2015-000188

    Article  Google Scholar 

  28. Chang Y, Guo X, Li T, Li S, Guo J et al (2016) A body shape index and body roundness index: two new body indices to identify left ventricular hypertrophy among rural populations in Northeast China. Heart Lung Circ 25(4):358–364. https://doi.org/10.1016/j.hlc.2015.08.009

    Article  PubMed  Google Scholar 

  29. Haghighatdoost F, Sarrafzadegan N, Mohammadifard N, Asgary S, Boshtam M et al (2014) Assessing body shape index as a risk predictor for cardiovascular diseases and metabolic syndrome among Iranian adults. Nutrition 30(6):636–644. https://doi.org/10.1016/j.nut.2013.10.021

    Article  PubMed  Google Scholar 

  30. Katsuki A, Sumida Y, Urakawa H, Gabazza EC, Murashima S et al (2003) Increased visceral fat and serum levels of triglyceride are associated with insulin resistance in Japanese metabolically obese, normal weight subjects with normal glucose tolerance. Diabetes Care 26(8):2341–2344

    CAS  Article  Google Scholar 

  31. Soleimani M (2015) Insulin resistance and hypertension: new insights. Kidney Int 87(3):497–499. https://doi.org/10.1038/ki.2014.392

    CAS  Article  PubMed  Google Scholar 

  32. Sarafidis PA, Persu A, Agarwal R, Burnier M, de Leeuw P et al (2017) Hypertension in dialysis patients: a consensus document by the European Renal and Cardiovascular Medicine (EURECA-m) working group of the European Renal Association—European Dialysis and Transplant Association (ERA-EDTA) and the Hypertension and the Kidney working group of the European Society of Hypertension (ESH). J Hypertens 35(4):657–676. https://doi.org/10.1097/HJH.0000000000001283

    CAS  Article  PubMed  Google Scholar 

Download references

Acknowledgements

This study was supported by the following Science Foundation: (1) Qian Ke Co LH characters [2016]7151 from Guizhou science and technology plan project; (2) GZSYQN (2016)11.

Author information

Affiliations

Authors

Contributions

CZ and LZ contributed to the design, analysis, and interpretation of the data and drafted the manuscript; YZ provided guidance in the writing of this paper; JY, XT and YP contributed to the acquisition of the data.

Corresponding author

Correspondence to Yan Zha.

Ethics declarations

Conflict of interest

We declare that we do not have any commercial or associative interest that represents a conflict of interest in connection with the work submitted.

Ethical statement

Ethics Committee of The People’ s Hospital of Guizhou province approved the study. This study was performed fulfilling the principles of Helsinki Declaration.

Informed consent

Informed consent was obtained from all participants included in the study.

Additional information

Publisher’s Note

Springer Nature remains neutral with regard to jurisdictional claims in published maps and institutional affiliations.

Rights and permissions

Reprints and Permissions

About this article

Verify currency and authenticity via CrossMark

Cite this article

Zhou, C., Zhan, L., Yuan, J. et al. Comparison of visceral, general and central obesity indices in the prediction of metabolic syndrome in maintenance hemodialysis patients. Eat Weight Disord 25, 727–734 (2020). https://doi.org/10.1007/s40519-019-00678-9

Download citation

  • Received:

  • Accepted:

  • Published:

  • Issue Date:

  • DOI: https://doi.org/10.1007/s40519-019-00678-9

Keywords

  • Metabolic syndrome
  • Hemodialysis
  • Obesity