Abstract
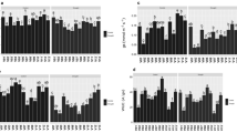
Leymus chinensis is a perennial rhizome grass that has diverse environmental adaptations. Late embryogenesis-abundant (LEA) proteins play important roles in abiotic stress response processes involved in the protection of macromolecules and cellular structures. Here, 22 LcLEA genes were identified using transcriptome data and classified into six groups based on phylogenetic analyses. The conserved motifs varied among the different protein groups. Among the dehydrin (DHN) group, four LcDHNs contained Y-, K- and S-segments, one LcDHN contained S- and K-segments, and one LcDHN contained only K-segments. Expression profiles indicated that 21 LcLEAs had altered expression levels in response to water-deficit stress, and the six LcDHNs were remarkably induced by drought treatments, with higher transcript accumulations in root than in shoot, implying that the LcDHN genes play important roles in L. chinensis defenses against water-deficit conditions. These results provide valuable information on LcLEAs’ roles in functional response mechanisms to water-deficit stress and indicate their potential applications in improving drought stress tolerance in L. chinensis.




Similar content being viewed by others
Explore related subjects
Discover the latest articles and news from researchers in related subjects, suggested using machine learning.References
Ahuja I, de Vos RCH, Bones AM, Hall RD (2010) Plant molecular stress responses face climate change. Trends Plant Sci 15:664–674
Bai Y, Han X, Wu J, Chen Z, Li L (2004) Ecosystem stability and compensatory effects in the Inner Mongolia grassland. Nature 431:181–184
Bailey TL, Elkan C (1994) Fitting a mixture model by expectation maximization to discover motifs in biopolymers. Proc Int Conf Intell Syst Mol Biol 2:28–36
Bao F, Du D, An Y, Yang W, Wang J, Cheng T, Zhang Q (2017) Overexpression of Prunus mume dehydrin genes in tobacco enhances tolerance to cold and drought. Front Plant Sci 8:151
Battaglia M, Olvera-Carrillo Y, Garciarrubio A, Campos F, Covarrubias AA (2008) The enigmatic LEA proteins and other hydrophilins. Plant Physiol 148:6–24
Bies-Etheve N, Gaubier-Comella P, Debures A, Lasserre E, Jobet E, Raynal M, Cooke R, Delseny M (2008) Inventory, evolution and expression profiling diversity of the LEA (late embryogenesis abundant) protein gene family in Arabidopsis thaliana. Plant Mol Biol 67:107–124
Campo S, Baldrich P, Messeguer J, Lalanne E, Coca M, San Segundo B (2014) Overexpression of a calcium-dependent protein kinase confers salt and drought tolerance in rice by preventing membrane lipid peroxidation. Plant Physiol 165:688–704
Chen S, Huang X, Yan X, Liang Y, Wang Y, Li X, Peng X, Ma X, Zhang L, Cai Y, Ma T, Cheng L, Qi D, Zheng H, Yang X, Liu G (2013) Transcriptome analysis in sheepgrass (Leymus chinensis): a dominant perennial grass of the Eurasian Steppe. PLoS ONE 8:e67974
Chen Y, Li C, Zhang B, Yi J, Yang Y, Kong C, Lei C, Gong M (2019) The Role of the late embryogenesis-abundant (LEA) protein family in development and the abiotic stress response: a comprehensive expression analysis of potato (Solanum tuberosum). Genes (Basel) 10:148
Choi DW, Zhu B, Close TJ (1999) The barley (Hordeum vulgare L.) dehydrin multigene family: sequences, allele types, chromosome assignments, and expression characteristics of 11 Dhn genes of cv Dicktoo. Theor Appl Genet 98:1234–1247
Du D, Zhang Q, Cheng T, Pan H, Yang W, Sun L (2013) Genome-wide identification and analysis of late embryogenesis abundant (LEA) genes in Prunus mume. Mol Biol Rep 40:1937–1946
Galau GA, Hughes DW, Dure L 3rd (1986) Abscisic acid induction of cloned cotton late embryogenesis-abundant (Lea) mRNAs. Plant Mol Biol 7:155–170
Gang C, Zhang Y, Guo L, Gao X, Peng S, Chen M, Wen Z (2019) Drought-induced carbon and water use efficiency responses in dryland vegetation of Northern China. Front Plant Sci 10:224
Gao Q, Li X, Jia J, Zhao P, Liu P, Liu Z, Ge L, Chen S, Qi D, Deng B, Lee BH, Liu G, Cheng L (2015) Overexpression of a novel cold-responsive transcript factor LcFIN1 from sheepgrass enhances tolerance to low temperature stress in transgenic plants. Plant Biotechnol J 14:861–874
Graether SP, Boddington KF (2014) Disorder and function: a review of the dehydrin protein family. Front Plant Sci 5:576
Halder T, Upadhyaya G, Ray S (2017) YSK2 type dehydrin (SbDhn1) from Sorghum bicolor showed improved protection under high temperature and osmotic stress condition. Front Plant Sci 8:918
Hara M (2010) The multifunctionality of dehydrins: an overview. Plant Signal Behav 5:503–508
Huang Z, Zhong XJ, He J, Jin SH, Guo HD, Yu XF, Zhou YJ, Li X, Ma MD, Chen QB, Long H (2016) Genome-wide identification, characterization, and stress-responsive expression profiling of genes encoding LEA (late embryogenesis abundant) proteins in Moso bamboo (Phyllostachys edulis). PLoS ONE 11:e0165953
Hundertmark M, Hincha DK (2008) LEA (Late Embryogenesis Abundant) proteins and their encoding genes in Arabidopsis thaliana. BMC Genom 9:118
Kang L, Han X, Zhang Z, Sun OJ (2007) Grassland ecosystems in China: review of current knowledge and research advancement. Philos Trans R Soc Lond B Biol Sci 362:997–1008
Kosova K, Vitamvas P, Prasil IT (2014) Wheat and barley dehydrins under cold, drought, and salinity—what can LEA-II proteins tell us about plant stress response? Front Plant Sci 5:343
Lan T, Gao J, Zeng QY (2013) Genome-wide analysis of the LEA (late embryogenesis abundant) protein gene family in Populus trichocarpa. Tree Genet Genom 9:253–264
Lim J, Lim CW, Lee SC (2018) The pepper late embryogenesis abundant protein, CaDIL1, positively regulates drought tolerance and ABA signaling. Front Plant Sci 9:1301
Liu H, Yu CY, Li HX, Ouyang B, Wang TT, Zhang JH, Wang X, Ye ZB (2015) Overexpression of ShDHN, a dehydrin gene from Solanum habrochaites enhances tolerance to multiple abiotic stresses in tomato. Plant Sci 231:198–211
Livak KJ, Schmittgen TD (2001) Analysis of relative gene expression data using real-time quantitative PCR and the 2(T)(-Delta Delta C) method. Methods 25:402–408
Magwanga RO, Lu P, Kirungu JN, Dong Q, Hu Y, Zhou Z, Cai X, Wang X, Hou Y, Wang K, Liu F (2018a) Cotton late embryogenesis abundant (LEA2) genes promote root growth and confer drought stress tolerance in transgenic Arabidopsis thaliana. G3 (Bethesda) 8:2781–2803
Magwanga RO, Lu P, Kirungu JN, Lu H, Wang X, Cai X, Zhou Z, Zhang Z, Salih H, Wang K, Liu F (2018b) Characterization of the late embryogenesis abundant (LEA) proteins family and their role in drought stress tolerance in upland cotton. BMC Genet 19:6
Muvunyi BP, Yan Q, Wu F, Min X, Yan ZZ, Kanzana G, Wang Y, Zhang J (2018) Mining late embryogenesis abundant (LEA) family genes in Cleistogenes songorica, a xerophyte perennial desert plant. Int J Mol Sci 19:3430
Nagaraju M, Kumar SA, Reddy PS, Kumar A, Rao DM, Kavi Kishor PB (2019) Genome-scale identification, classification, and tissue specific expression analysis of late embryogenesis abundant (LEA) genes under abiotic stress conditions in Sorghum bicolor L. PLoS ONE 14:e0209980
Olvera-Carrillo Y, Campos F, Reyes JL, Garciarrubio A, Covarrubias AA (2010) Functional analysis of the group 4 late embryogenesis abundant proteins reveals their relevance in the adaptive response during water deficit in arabidopsis. Plant Physiol 154:373–390
Pedrosa AM, Martins Cde P, Goncalves LP, Costa MG (2015) Late embryogenesis abundant (LEA) constitutes a large and diverse family of proteins involved in development and abiotic stress responses in sweet orange (Citrus sinensis L. Osb.). PLoS One 10:e0145785
Peng X, Ma X, Fan W, Su M, Cheng L, Alam I, Lee BH, Qi D, Shen S, Liu G (2011) Improved drought and salt tolerance of Arabidopsis thaliana by transgenic expression of a novel DREB gene from Leymus chinensis. Plant Cell Rep 30:1493–1502
Perdiguero P, Barbero MC, Cervera MT, Soto A, Collada C (2012) Novel conserved segments are associated with differential expression patterns for Pinaceae dehydrins. Planta 236:1863–1874
Tamura K, Stecher G, Peterson D, Filipski A, Kumar S (2013) MEGA6: molecular evolutionary genetics analysis version 6.0. Mol Biol Evol 30:2725–2729
VanBuren R, Man Wai C, Pardo J, Giarola V, Ambrosini S, Song X, Bartels D (2018) Desiccation tolerance evolved through gene duplication and network rewiring in lindernia. Plant Cell 30:2943–2958
Wan D, Wan Y, Hou X, Ren W, Ding Y, Sa R (2015) De novo assembly and transcriptomic profiling of the grazing response in Stipa grandis. PLoS ONE 10:e0122641
Wan YQ, Zhang J, Hou XY, Wang ZL, Ma YB, Wan QH, Wan DL (2018) Cloning of LcDHN3 in Leymus chinensis and its expression under abiotic stresses. Acta Bot Boreal Qccidentalia Sin 38:1598–1604
Wang XS, Zhu HB, Jin GL, Liu HL, Wu WR, Zhu J (2007) Genome-scale identification and analysis of LEA genes in rice (Oryza sativa L.). Plant Sci 172:414–420
Wang RZ, Chen L, Bai YG, Xiao CW (2008) Seasonal dynamics in resource partitioning to growth and storage in response to drought in a perennial rhizomatous grass, Leymus chinensis. J Plant Growth Regul 27:39–48
Wang L, Li X, Chen S, Liu G (2009) Enhanced drought tolerance in transgenic Leymus chinensis plants with constitutively expressed wheat TaLEA3. Biotechnol Lett 31:313–319
Wang W, Gao T, Chen J, Yang J, Huang H, Yu Y (2019) The late embryogenesis abundant gene family in tea plant (Camellia sinensis): genome-wide characterization and expression analysis in response to cold and dehydration stress. Plant Physiol Biochem 135:277–286
Wu C, Hu W, Yan Y, Tie W, Ding Z, Guo J, He G (2018) The late embryogenesis abundant protein family in cassava (Manihot esculenta Crantz): genome-wide characterization and expression during abiotic stress. Molecules 23:1196
Xu ZZ, Zhou GS (2006) Combined effects of water stress and high temperature on photosynthesis, nitrogen metabolism and lipid peroxidation of a perennial grass Leymus chinensis. Planta 224:1080–1090
Xu Z, Zhou G, Shimizu H (2010) Plant responses to drought and rewatering. Plant Signal Behav 5:649–654
Yang J, Zhao S, Zhao B, Li C (2018) Overexpression of TaLEA3 induces rapid stomatal closure under drought stress in Phellodendron amurense Rupr. Plant Sci 277:100–109
Zhai J, Dong Y, Sun Y, Wang Q, Wang N, Wang F, Liu W, Li X, Chen H, Yao N, Guan L, Chen K, Cui X, Yang M, Li H (2014) Discovery and analysis of microRNAs in Leymus chinensis under saline-alkali and drought stress using high-throughput sequencing. PLoS ONE 9:e105417
Zhou W, Huang L, Yang H, Ju W, Yue T (2019) Interannual variation in grassland net ecosystem productivity and its coupling relation to climatic factors in China. Environ Geochem Health 41:1583–1597
Acknowledgements
We thank Lesley Benyon, Ph.D., from Liwen Bianji, Edanz Group China (www.liwenbianji.cn/ac), for editing the English text of a draft of this manuscript. This work was supported by the Special Fund of State Key Laboratory of Simulation and Regulation of Water Cycle in River Basin, China Institute of Water Resources and Hydropower Research (No. SKL2018ZY01), the Inner Mongolia Autonomous Science and Technology Plan Project (Nos. 2019GG009 and 2019ZD008), and the Central Public-interest Scientific Institution Basal Research Fund.
Author information
Authors and Affiliations
Contributions
DW, HL and YD conceived and designed the experiments. DW, YW and XF performed the experiments. XF and YW analyzed the data. DW drafted the manuscript. All authors read and approved the final manuscript.
Corresponding authors
Additional information
Publisher's Note
Springer Nature remains neutral with regard to jurisdictional claims in published maps and institutional affiliations.
Electronic supplementary material
Below is the link to the electronic supplementary material.
Online Resource 1
Heatmap analysis of LcLEA expression profiles under water-deficit conditions. The expression levels of 22 LcLEAs were assessed by qRT-PCR, and LcACTIN was used as a reference gene. The heatmap was generated using 2−ΔCT-based expression values (PDF 20 kb)
Rights and permissions
About this article
Cite this article
Wan, D., Feng, X., Wan, Y. et al. Responses of late embryogenesis-abundant genes in Leymus chinensis to water deficit. Braz. J. Bot 43, 469–479 (2020). https://doi.org/10.1007/s40415-020-00633-4
Received:
Revised:
Accepted:
Published:
Issue Date:
DOI: https://doi.org/10.1007/s40415-020-00633-4


