Abstract
Introduction
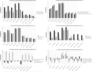
Peripheral and aortic systolic blood pressure (pSBP and aoSBP) were measured using different methodological and calibration approaches to analyze the association and agreement between pSBP and/or aoSBP, and the association of pSBP and aoSBP with left ventricle (LV) and atrium (LA) structural–functional characteristics.
Methods
In healthy subjects (n = 269, age: 9–85 years; n = 147, age < 24 years) LV and LA parameters were echocardiography-derived. pSBP and aoSBP were obtained by brachial sub-diastolic (Mobil-O-Graph®) and supra-systolic oscillometry (Arteriograph®) and aortic diameter waveform re-calibration (RCD; ultrasonography), using three calibration schemes: systo-diastolic (SD), calculated mean (CM), and oscillometric mean (OscM).
Results
Always pSBP and aoSBP were positively associated; aoSBP obtained with the Mobil-O-Graph® and calibrated to CM or OscM were the ones that showed the lowest levels of association with the remaining forms of aoSBP and pSBP. Bland-Altman related mean errors varied noticeably (e.g. − 27, − 23, − 17, − 12 or 8 mmHg when aoSBP obtained with MOG (OscM) was compared with data from other methodological and calibration schemes). The aoSBP data obtained with Mobil-O-Graph® (calibration: CM and OscM) showed the highest levels of association with cardiac structural characteristics. aoSBP values obtained calibrating to OscM were higher than those obtained calibrating to SD or CM.
Conclusions
aoSBP obtained with Mobil-O-Graph® and calibrated to CM or OscM showed (1) lower association with other forms of aoSBP and pSBP determination and (2) higher levels of association with LV and LA structural characteristics. Differences in aoSBP data between approaches were more sensitive to the calibration method than to the device used.




References
Papaioannou TG, Karageorgopoulou TD, Sergentanis TN, Protogerou AD, Psaltopoulou T, Sharman JE, Weber T, et al. Accuracy of commercial devices and methods for noninvasive estimation of aortic systolic blood pressure a systematic review and meta-analysis of invasive validation studies. J Hypertens. 2016;34(7):1237–48.
Hope SA, Meredith IT, Cameron JD. Effect of non-invasive calibration of radial waveforms on error in transfer-function-derived central aortic waveform characteristics. Clin Sci (Lond). 2004;107:205–11.
Papaioannou TG, Lekakis JP, Karatzis EN, Papamichael CM, Stamatelopoulos KS, Protogerou AD, Mavrikakis M, et al. Transmission of calibration errors (input) by generalized transfer functions to the aortic pressures (output) at different hemodynamic states. Int J Cardiol. 2006;110:46–52.
Nakagomi A, Okada S, Shoji T, Kobayashi Y. Crucial effect of calibration methods on the association between central pulsatile indices and coronary atherosclerosis. Am J Hypertens. 2017;30:24–7.
Weber T, Wassertheurer S, Rammer M, Maurer E, Hametner B, Mayer CC, Kropf J, et al. Validation of a brachial cuff-based method for estimating central systolic blood pressure. Hypertension. 2011;58(5):825–32.
Wassertheurer S, Hametner B, Mayer CC, Hafez A, Negishi K, Papaioannou TG, Protogerou AD, et al. Aortic systolic pressure derived with different calibration methods: associations to brachial systolic pressure in the general population. Blood Press Monit. 2018;23(3):134–40.
Negishi K, Yang H, Wang Y, Nolan MT, Negishi T, Pathan F, Marwick TH, et al. Importance of calibration method in central blood pressure for cardiac structural abnormalities. Am J Hypertens. 2016;29(9):1070–6.
Agnoletti D, Zhang Y, Salvi P, Borghi C, Topouchian J, Safar ME, Blacher J. Pulse pressure amplification, pressure waveform calibration and clinical applications. Atherosclerosis. 2012;224(1):108–12.
Kollias A, Lagou S, Zeniodi ME, Boubouchairopoulou N, Stergiou GS. Association of central versus brachial blood pressure with target-organ damage: systematic review and meta-analysis. Hypertension. 2016;67(1):183–90.
Mitchell GF. Does measurement of central blood pressure have treatment consequences in the clinical praxis? Curr Hypertens Rep. 2015;17(8):66.
Protogerou AD, Argyris AA, Papaioannou TG, Kollias GE, Konstantonis GD, Nasothimiou E, Achimastos A, et al. Left-ventricular hypertrophy is associated better with 24-h aortic pressure than 24-h brachial pressure in hypertensive patients: the SAFAR study. J Hypertens. 2014;32:1805–14.
Wassertheurer S, Baumann M. Assessment of systolic aortic pressure and its association to all-cause mortality critically depends on waveform calibration. J Hypertens. 2015;33:1884–8.
Diaz A, Zócalo Y, Bia D. Reference intervals and percentile curves of echocardiographic left ventricular mass, relative wall thickness and ejection fraction in healthy children and adolescents. Pediatr Cardiol. 2018;40(2):283–301.
Díaz A, Zócalo Y, Bia D, Sabino F, Rodríguez V, Cabrera FIscher EI. Reference intervals of aortic pulse wave velocity assessed with an oscillometric device in healthy children and adolescents from Argentina. Clin Exp Hypertens. 2019;41(2):101–12.
Díaz A, Zócalo Y. Bia D Normal percentile curves for left atrial size in healthy children and adolescents. Echocardiography. 2019;36(4):770–82.
WHO global recommendations on physical activity for health. World Health Organization. 2010. https://www.who.int/dietphysicalactivity/factsheet_recommendation/en. Accessed 1 Sept 2019.
Lurbe E, Agabiti-Rosei E, Cruickshank JK, Dominiczak A, Erdine S, Hirth A, Invitti C, et al. European Society of Hypertension guidelines for the management of high blood pressure in children and adolescents. J Hypertens. 2016;34(10):1887–920.
Whelton PK, Carey RM, Aronow WS, Casey DE Jr, Collins KJ, Dennison Himmelfarb C, De Palma SM, et al. 2017 ACC/AHA/AAPA/ABC/ACPM/AGS/APhA/ASH/ASPC/NMA/PCNA guideline for the prevention, detection, evaluation, and management of high blood pressure in adults: a report of the American College of Cardiology/American Heart Association Task Force on clinical practice guidelines. Hypertension. 2018;71(6):e13–115.
Laurent S, Cockcroft J, Van Bortel L, Boutouyrie P, Giannattasio C, Hayoz D, Pannier B, et al. European network for non-invasive investigation of large arteries Expert consensus document on arterial stiffness: methodological issues and clinical applications. Eur Heart J. 2006;27:2588–605.
Lopez L, Colan SD, Frommelt PC, Ensing GJ, Kendall K, Younoszai AK, Lai WW, et al. Recommendations for quantification methods during the performance of a pediatric echocardiogram: a report from the Pediatric Measurements Writing Group of the American Society of Echocardiography Pediatric and Congenital Heart Disease Council. J Am SocEchocardiogr. 2010;23(5):465–95.
Lang RM, Badano LP, Mor-Avi V, Afilalo J, Armstrong A, Ernande L, Flachskampf FA, et al. Recommendations for cardiac chamber quantification by echocardiography in adults: an update from the American Society of Echocardiography and the European Association of Cardiovascular Imaging. Eur Heart J Cardiovasc Imaging. 2015;16(3):233–70.
Sharman JE, Avolio AP, Baulmann J, Benetos A, Blacher J, Blizzard CL, Boutouyrie P, et al. Validation of non-invasive central blood pressure devices: ARTERY Society task force consensus statement on protocol standardization. Eur Heart J. 2017;38(37):2805–12.
Devereux RB, Alonso DR, Lutas EM, Gottlieb GJ, Campo E, Sachs I, Reichek N. Echocardiographic assessment of left ventricular hypertrophy: comparison to necropsy findings. Am J Cardiol. 1986;57:450–8.
Weiss W, Gohlisch C, Harsch-Gladisch C, Tölle M, Zidek W, van der Giet M. Oscillometric estimation of central blood pressure: validation of the Mobil-O-Graph in comparison with the SphygmoCor device. Blood Press Monit. 2012;17(3):128–31.
Horvath IG, Nemeth A, Lenkey Z, Alessandri N, Tufano F, Kis P, Gazner B, et al. Invasive validation of a new oscillometric device (Arteriograph) for measuring augmentation index, central blood pressure and aortic pulse wave velocity. J Hypertens. 2010;28(10):2068–75.
Zahnd G, Kapellas K, van Hattem M, van Dijk A, Sérusclat A, Moulin P, van der Lugt A, et al. A fully-automatic method to segment the carotid artery layers in ultrasound imaging—application to quantify the compression-decompression pattern of the intima-media complex during the cardiac cycle. Ultrasound Med Biol. 2017;43(1):239–57.
Vermeersch SJ, Rietzschel ER, De Buyzere ML, De Bacquer D, De Backer G, Van Bortel LM, Gillebert TC, et al. Determining carotid artery pressure from scaled diameter waveforms: comparison and validation of calibration techniques in 2026 subjects. Physiol Meas. 2008;29(11):1267–80.
Zócalo Y, Bia D, Armentano RL, González-Moreno J, Varela G, Calleriza F, Reyes-Caorsi W. Resynchronization improves heart-arterial coupling reducing arterial load determinants. Europace. 2013;15(4):554–65.
Diedenhofen B, Musch J. cocor: a comprehensive solution for the statistical comparison of correlations. PLoS One. 2015;10(3):e0121945.
WHO. http://www.searo.who.int/entity/child_adolescent/topics/adolescent_health/en/. Accessed 2 Sept 2019.
Sawyer SM, Azzopardi PS, Wickremarathne D, Patton GC. The age of adolescence. Lancet Child Adolesc Health. 2018;2(3):223–8.
Lu MJ, Zhong WH, Liu YX, Miao HZ, Li YC, Ji MH. Sample size for assessing agreement between two methods of measurement by Bland-Altman method. Int J Biostat. 2016. https://doi.org/10.1515/ijb-2015-0039.
Smulyan H, Sheehe PR, Safar ME. A preliminary evaluation of the mean arterial pressure as measured by cuff oscillometry. Am J Hypertens. 2008;21:166–71.
Wassertheurer S, Hametner B, Sharman J, Weber T. Systolic blood pressure amplification and waveform calibration. Hypertens Res. 2017;40(5):518.
Nakagomi A, Okada S, Shoji T, Kobayashi Y. Comparison of invasive and brachial cuff-based noninvasive measurements for the assessment of blood pressure amplification. Hypertens Res. 2017;40(3):237–42.
Pucci G, Cheriyan J, Hubsch A, Hickson SS, Gajendragadkar PR, Watson T, O’Sullivan M, et al. Evaluation of the Vicorder, a novel cuff-based device for the noninvasive estimation of central blood pressure. J Hypertens. 2013;31(1):77–85.
Yano Y, Lloyd-Jones DM. Isolated systolic hypertension in young and middle-aged adults. Curr Hypertens Rep. 2016;18:78.
Author information
Authors and Affiliations
Corresponding author
Ethics declarations
Conflict of interest
The authors report no conflicts of interest attached to this work.
Ethical approval
All procedures agreed with the Declaration of Helsinki. The study protocol was approved by Institutional Ethic Committee.
Informed consent
Written informed consent was obtained in all subjects.
Electronic supplementary material
Below is the link to the electronic supplementary material.
Rights and permissions
About this article
Cite this article
Díaz, A., Bia, D. & Zócalo, Y. Impact of Methodological and Calibration Approach on the Association of Central and Peripheral Systolic Blood Pressure with Cardiac Structure and Function in Children, Adolescents and Adults. High Blood Press Cardiovasc Prev 26, 509–534 (2019). https://doi.org/10.1007/s40292-019-00346-0
Received:
Accepted:
Published:
Issue Date:
DOI: https://doi.org/10.1007/s40292-019-00346-0