Abstract
Objectives
The purpose of this study was to determine sex differences in recovery trajectories of assessments for sport-related concussion using Concussion Assessment, Research and Education (CARE) Consortium data.
Methods
National Collegiate Athletic Association athletes (N = 906; 61% female) from sex-comparable sports completed a pre-season baseline assessment and post-sport-related concussion assessments within 6 h of injury, 24–48 h, when they initiated their return to play progression, when they were cleared for unrestricted return to play, and 6 months post-injury. Assessments included the Standardized Assessment of Concussion, Balance Error Scoring System, Brief Symptom Inventory-18, Immediate Post-concussion Assessment and Cognitive Testing (ImPACT), Sport Concussion Assessment Tool-3 symptom evaluation, Clinical Reaction Time, King–Devick test, Vestibular Ocular Motor Screen, 12-item Short-Form Health Survey, Hospital Anxiety and Depression Scale, and Satisfaction with Life Scale.
Results
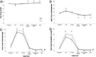
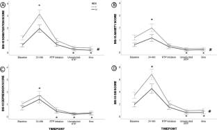
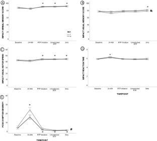
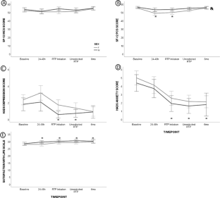
Only the Vestibular Ocular Motor Screen Total Symptom Score at the 24–48 h timepoint (p = 0.005) was statistically significantly different between sexes. Specifically, female athletes (mean = 60.2, 95% confidence interval [CI] 51.5–70.4) had higher Vestibular Ocular Motor Screen Total Symptom Scores than male athletes (mean = 36.9, 95% CI 27.6–49.3), but this difference resolved by the time of return-to-play initiation (female athletes, mean = 1.8, 95% CI 1.1–2.9; male athletes, mean = 4.1, 95% CI 1.5–10.9).
Conclusions
Sport-related concussion recovery trajectories for most assessments were similar for female and male National Collegiate Athletic Association athletes except for Vestibular Ocular Motor Screen symptoms within 48 h of sport-related concussion, which was greater in female athletes. Female athletes had a greater symptom burden across all timepoints, suggesting that cross-sectional observations may indicate sex differences despite similar recovery trajectories.





Similar content being viewed by others
References
Pierpoint LA, Collins C. Epidemiology of sport-related concussion. Clin Sports Med. 2021;40:1–18.
Lin CY, Casey E, Herman DC, et al. Sex differences in common sports injuries. PM R. 2018;10:1073–82.
Cheng J, Ammerman B, Santiago K, et al. Sex-based differences in the incidence of sports-related concussion: systematic review and meta-analysis. Sports Health. 2019;11:486–91.
Master CL, Katz BP, Arbogast KB, et al. Differences in sport-related concussion for female and male athletes in comparable collegiate sports: a study from the NCAA-DoD Concussion Assessment, Research and Education (CARE) Consortium. Br J Sports Med. 2021;55:1387–94.
Henry LC, Elbin RJ, Collins MW, et al. Examining recovery trajectories after sport-related concussion with a multimodal clinical assessment approach. Neurosurgery. 2016;78:232–41.
Baker JG, Leddy JJ, Darling SR, et al. Gender differences in recovery from sports-related concussion in adolescents. Clin Pediatr. 2016;55:771–5.
Covassin T, Elbin RJ, Bleecker A, et al. Are there differences in neurocognitive function and symptoms between male and female soccer players after concussions? Am J Sports Med. 2013;41:2890–5.
Covassin T, Swanik CB, Sachs ML. Epidemiological considerations of concussions among intercollegiate athletes. Appl Neuropsychol. 2003;10:12–22.
Kerr ZY, Zuckerman SL, Wasserman EB, et al. Factors associated with post-concussion syndrome in high school student-athletes. J Sci Med Sport. 2018;21:447–52.
Black AM, Sergio LE, Macpherson AK. The epidemiology of concussions: number and nature of concussions and time to recovery among female and male Canadian varsity athletes 2008 to 2011. Clin J Sport Med. 2017;27:52–6.
Mihalik JP, Ondrak KS, Guskiewicz KM, et al. The effects of menstrual cycle phase on clinical measures of concussion in healthy college-aged females. J Sci Med Sport. 2009;12:383–7.
Snook ML, Henry LC, Sanfilippo JS, et al. Association of concussion with abnormal menstrual patterns in adolescent and young women. JAMA Pediatr. 2017;171:879–86.
Wallace J, Covassin T, Beidler E. Sex differences in high school athletes’ knowledge of sport-related concussion symptoms and reporting behaviors. J Athl Train. 2017;52:682–8.
Brown DA, Elsass JA, Miller AJ, et al. Differences in symptom reporting between males and females at baseline and after a sports-related concussion: a systematic review and meta-analysis. Sports Med. 2015;45:1027–40.
Caccese JB, Buckley TA, Tierney RT, et al. Head and neck size and neck strength predict linear and rotational acceleration during purposeful soccer heading. Sports Biomech. 2018;17:462–76.
Putukian M, Riegler K, Amalfe S, et al. Preinjury and postinjury factors that predict sports-related concussion and clinical recovery time. Clin J Sport Med. 2021;31:15–22.
McCrory P, Meeuwisse W, Dvorak J, et al. Consensus statement on concussion in sport: the 5th International Conference on Concussion in Sport held in Berlin, October 2016. Br J Sports Med. 2017;51:838–47.
Broglio SP, Cantu RC, Gioia GA, et al. National Athletic Trainers’ Association position statement: management of sport concussion. J Athl Train. 2014;49:245–65.
Harmon KG, Clugston JR, Dec K, et al. American Medical Society for Sports Medicine position statement on concussion in sport. Br J Sports Med. 2019;53:213–25.
D’Lauro C, Jones ER, Swope LM, et al. Under-representation of female athletes in research informing influential concussion consensus and position statements: an evidence review and synthesis. Br J Sports Med. 2022;56:981–7.
Broglio SP, McCrea M, McAllister T, et al. A national study on the effects of concussion in collegiate athletes and US Military Service Academy members: the NCAA-DoD Concussion Assessment, Research and Education (CARE) Consortium structure and methods. Sports Med. 2017;47:1437–51.
Putukian M, D’Alonzo BA, Campbell-McGovern CS, et al. The Ivy League-Big Ten Epidemiology of Concussion Study: a report on methods and first findings. Am J Sports Med. 2019;47:1236–47.
Carney N, Ghajar J, Jagoda A, et al. Concussion guidelines step 1: systematic review of prevalent indicators. Neurosurgery. 2014;75:S3-15.
McCrea M. Standardized mental status assessment of sports concussion. Clin J Sport Med. 2001;11:176–81.
Finnoff JT, Peterson VJ, Hollman JH, et al. Intrarater and interrater reliability of the Balance Error Scoring System (BESS). PM R. 2009;1:50–4.
Caccese JB, Iverson GL, Hunzinger KJ, et al. Factors associated with symptom reporting in US Service Academy cadets and NCAA student athletes without concussion: findings from the CARE Consortium. Sports Med. 2021;51:1087–105.
Meachen S, Hanks RA, Millis SR, et al. The reliability and validity of the brief symptom inventory-18 in persons with traumatic brain injury. Arch Phys Med Rehabil. 2008;89:958–65.
Houck ZM, Asken BM, Bauer RM, et al. Multivariate base rates of low scores and reliable decline on ImPACT in healthy collegiate athletes using Care Consortium norms. J Int Neuropsychol Soc. 2019;25:961–71.
Caccese JB, Eckner JT, Franco-MacKendrick L, et al. Clinical reaction-time performance factors in healthy collegiate athletes. J Athl Train. 2020;55:601–7.
Caccese JB, Eckner JT, Franco-MacKendrick L, et al. Interpreting clinical reaction time change and recovery after concussion: a baseline versus norm-based cutoff score comparison. J Athl Train. 2021;56(8):851–9.
Chrisman S, Harmon KG, Schmidt JD, et al. Impact of factors that affect reading skill level on King–Devick baseline performance time. Ann Biomed Eng. 2019;47:2122–7.
Clugston JR, Houck ZM, Asken BM, et al. Relationship between the King–Devick test and commonly used concussion tests at baseline. J Athl Train. 2019;54:1247–53.
Ferris LM, Kontos AP, Eagle SR, et al. Utility of VOMS, SCAT3, and ImPACT baseline evaluations for acute concussion identification in collegiate athletes: findings from the NCAA-DoD Concussion Assessment, Research and Education (CARE) Consortium. Am J Sports Med. 2022;50:1106–19.
Ware JE Jr, Kosinski M, Keller SD. A 12-Item Short-Form Health Survey: construction of scales and preliminary tests of reliability and validity. Med Care. 1996;34:220–33.
Sigurdardottir S, Andelic N, Roe C, et al. Post-concussion symptoms after traumatic brain injury at 3 and 12 months post-injury: a prospective study. Brain Inj. 2009;23:489–97.
Pavot W, Diener ED, Colvin CR, et al. Further validation of the Satisfaction with Life Scale: evidence for the cross-method convergence of well-being measures. J Pers Assess. 1991;57:149–61.
Bretzin AC, Esopenko C, D’Alonzo BA, et al. Clinical recovery timelines after sport-related concussion in men’s and women’s collegiate sports. J Athl Train. 2022;57:678–87.
D’Alonzo BA, Bretzin AC, Wiebe DJ. The role of reported affective symptoms and anxiety in recovery trajectories after sport-related concussion. Am J Sports Med. 2022;50:2258–70.
Broshek DK, Kaushik T, Freeman JR, et al. Sex differences in outcome following sports-related concussion. J Neurosurg. 2005;102:856–63.
Schneider KJ, Emery CA, Kang J, et al. Examining Sport Concussion Assessment Tool ratings for male and female youth hockey players with and without a history of concussion. Br J Sports Med. 2010;44:1112–7.
Covassin T, Savage JL, Bretzin AC, et al. Sex differences in sport-related concussion long-term outcomes. Int J Psychophysiol. 2018;132:9–13.
Covassin T, Elbin RJ, Harris W, et al. The role of age and sex in symptoms, neurocognitive performance, and postural stability in athletes after concussion. Am J Sports Med. 2012;40:1303–12.
Chiang Colvin A, Mullen J, Lovell MR, et al. The role of concussion history and gender in recovery from soccer-related concussion. Am J Sports Med. 2009;37:1699–704.
Zuckerman SL, Solomon GS, Forbes JA, et al. Response to acute concussive injury in soccer players: is gender a modifying factor? J Neurosurg Pediatr. 2012;10:504–10.
Sufrinko AM, Mucha A, Covassin T, et al. Sex differences in vestibular/ocular and neurocognitive outcomes following sport-related concussion. Clin J Sport Med. 2017;27:133.
Pearce KL, Sufrinko A, Lau BC, et al. Near point of convergence after a sport-related concussion: measurement reliability and relationship to neurocognitive impairment and symptoms. Am J Sports Med. 2015;43:3055–61.
Patricios JS, Davis GA, Ahmed OH, et al. Introducing the sport concussion office assessment tool 6 (SCOAT6). Br J Sports Med. 2023;57(11):648–50.
Covassin T, Elbin RJ III, Larson E, et al. Sex and age differences in depression and baseline sport-related concussion neurocognitive performance and symptoms. Clin J Sport Med. 2012;22:98–104.
Cottle JE, Hall EE, Patel K, et al. Concussion baseline testing: preexisting factors, symptoms, and neurocognitive performance. J Athl Train. 2017;52:77–81.
Covassin T, Swanik CB, Sachs M, et al. Sex differences in baseline neuropsychological function and concussion symptoms of collegiate athletes. Br J Sports Med. 2006;40:923–7.
Lewis RS, Kamptner NL. Sex differences in spatial task performance of patients with and without unilateral cerebral lesions. Brain Cogn. 1987;6:142–52.
Beatty WW, Mold JW, Gontkovsky ST. RBANS performance: influences of sex and education. J Clin Exp Neuropsychol. 2003;25:1065–9.
Acknowledgements
CARE Consortium Investigators Include: April Hoy, MS, ATC, CSCS (Azusa Pacific University); Justus D. Ortega, PhD (California State Polytechnic University, Humboldt); Nicholas Port, PhD (Indiana University); Patrick G. O’Donnell, MHA, MBA (UMass Memorial Health); Christopher D’Lauro, PhD (United States Air Force Academy); Kenneth L. Cameron, PhD, MPH, ATC (US Military Academy); Joshua T. Goldman, MD, MBA (University of California, Los Angeles); Holly J. Benjamin, MD (University of Chicago); Thomas W. Kaminski, PhD, ATC (University of Delaware); Julianne Schmidt, PhD, ATC (University of Georgia); Michael Collins, PhD (University of Pittsburgh Medical Center); Jeffrey J. Bazarian, MD, MPH (University of Rochester); Stefan Duma, PhD (Virginia Tech).
Author information
Authors and Affiliations
Consortia
Corresponding author
Ethics declarations
Funding
Data collection and sharing for this project was conducted with support from the National Collegiate Athletic Association (NCAA) and the Department of Defense (DOD). The US Army Medical Research Acquisition Activity, 820 Chandler Street, Fort Detrick MD 21702-5014, USA is the awarding and administering acquisition office. This work was supported by the Office of the Assistant Secretary of Defense for Health Affairs, through the Combat Casualty Care Research Program, endorsed by the Department of Defense, through the Joint Program Committee 6/Combat Casualty Care Research Program—Psychological Health and Traumatic Brain Injury Program under Award No. W81XWH1420151. Opinions, interpretations, conclusions, and recommendations are those of the authors and are not necessarily endorsed by the Department of Defense.
Conflict of interest
James R. Clugston receives research support from the National Football League. Margot Putukian is the Chief Medical Officer for Major League Soccer, Senior Advisor National Football League Head, Neck & Spine Committee, Football Association Research Task Force, Concussion in Sport Group Expert Group, and the National Operating Committee on Standards for Athletic Equipment Scientific Advisory Committee. Steven P. Broglio has current or past research funding from the National Institutes of Health, Centers for Disease Control and Prevention, Department of Defense—USA Medical Research Acquisition Activity, NCAA, National Athletic Trainers’ Association Foundation, National Football League, Under Armour, GE, Simbex, and ElmindA. He has consulted for US Soccer, US Cycling, University of Calgary SHRed Concussions external advisory board, and medico-legal litigation. He is a co-author of “Biomechanics of Injury (3rd edition)” and has a patent on “Brain Metabolism Monitoring Through CCO Measurements Using All-Fiber-Integrated Super-Continuum Source” (U.S. 11,529,091 B2). Thomas W. McAllister receives grant support for concussion research studies from the NCAA, the US DOD, and the National Institutes of Health. He also receives royalties for a traumatic brain injury textbook from American Psychiatric Association Publishing, Inc. Michael McCrea receives research funding to the Medical College of Wisconsin from the National Institutes of Health, Department of Veterans Affairs, Centers for Disease Control and Prevention, DOD, NCAA, National Football League, and Abbott Laboratories. He receives book royalties from Oxford University Press. He serves as a clinical consultant to Milwaukee Bucks, Milwaukee Brewers, and Green Bay Packers, and is Co-Director of the NFL Neuropsychology Consultants without compensation. He serves as a consultant for Neurotrauma Sciences, Inc.
Ethics approval
The local institutional review board at each of the performance sites and the US Army Medical Research and Materiel Command Human Research Protection Office reviewed and approved all study procedures.
Consent to participate
Participants provided written informed consent prior to participation.
Consent for publication
See Consent to participate.
Author contributions
JBC designed and conceptualized the secondary analyses, analyzed the data, and drafted and revised the manuscript for intellectual content. CLM led the CARE sex differences working group, designed and conceptualized these secondary analyses, and revised the manuscript for intellectual content. TAB, SPDC, JRC, JTE, EE, SH, TNH, DJ, LAK, TDL, LBL, JMc, AKM AEM, SMP, MP, PRR, and AS designed and conceptualized the secondary analyses and revised the manuscript for intellectual content. SPB, TWMc, MMc, and PFP designed and conceptualized the overall CARE Consortium study and revised the manuscript for intellectual content. CE designed and conceptualized the secondary analyses, and drafted and revised the manuscript for intellectual content. All CARE Consortium Investigators played a major role in the acquisition of the data and revised the manuscript for intellectual content. All authors approved the manuscript.
Availability of data and material
The CARE Consortium datasets generated and analyzed during the current study are available in the FITBIR repository (https://fitbir.nih.gov/).
Code availability
Not applicable.
Additional information
The members of the “CARE Consortium Investigators” are processed under Acknowledgements section.
Supplementary Information
Below is the link to the electronic supplementary material.
Rights and permissions
Springer Nature or its licensor (e.g. a society or other partner) holds exclusive rights to this article under a publishing agreement with the author(s) or other rightsholder(s); author self-archiving of the accepted manuscript version of this article is solely governed by the terms of such publishing agreement and applicable law.
About this article
Cite this article
Caccese, J.B., Master, C.L., Buckley, T.A. et al. Sex Differences in Recovery Trajectories of Assessments for Sport-Related Concussion Among NCAA Athletes: A CARE Consortium Study. Sports Med 54, 1707–1721 (2024). https://doi.org/10.1007/s40279-023-01982-2
Accepted:
Published:
Issue Date:
DOI: https://doi.org/10.1007/s40279-023-01982-2


