Skip to main content

EQ-5D-5L is More Responsive than EQ-5D-3L to Treatment Benefit of Cataract Surgery

Abstract

Background

It is not clear whether 5-level EQ-5D (EQ-5D-5L) utilities based on recently developed value sets are more responsive than 3-level EQ-5D (EQ-5D-3L) utilities.

Objectives

The study aims were to compare (1) the responsiveness of EQ-5D-5L and EQ-5D-3L utilities and (2) the responsiveness of these utilities with the Short Form–6 Dimension (SF-6D) and Health Utilities Index Mark 3 (HUI3) utilities to the treatment benefit of cataract surgery.

Methods

A total of 148 patients were interviewed before and after their cataract surgery using EQ-5D-3L, EQ-5D-5L, SF-6D, and HUI3. Responsiveness was assessed for all measures using the mean change (post-treatment—pre-treatment), standardized effect size (SES), standardized response mean (SRM), and F-statistic.

Results

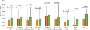
Using the Singapore value sets, mean change for EQ-5D-3L and EQ-5D-5L utilities was 0.016 and 0.028, SES was 0.097 and 0.199; SRM was 0.091 and 0.196; and F-statistic was 1.2 and 5.7, respectively. Similar trends were observed using the UK/England EQ-5D value sets, although the magnitude was slightly smaller. The mean change, SES, SRM and F-statistics for SF-6D (UK value set) were 0.020, 0.234, 0.249, and 9.2, respectively. The values of mean change, SES, SRM and F-statistics for HUI3 (Canada value set) were 0.080, 0.472, 0.474, and 33.3, respectively.

Conclusions

The EQ-5D-5L utilities tend to be more responsive than the EQ-5D-3L utilities to treatment benefits of cataract surgery. The HUI3 utilities are more responsive than both the EQ-5D-5L and SF-6D, and SF-6D utilities may be slightly more responsive than the EQ-5D-5L for assessing patients undergoing cataract surgery.

This is a preview of subscription content, access via your institution.

Fig. 1

References

  1. Longworth L, Yang Y, Young T, Mulhern B, Alava MH, Mukuria C, et al. Use of generic and condition-specific measures of health-related quality of life in NICE decision-making: a systematic review, statistical modelling and survey. Health Technol Assess. 2014;18(9):1–224.

    Article  Google Scholar 

  2. Herdman M, Gudex C, Lloyd A, Janssen M, Kind P, Parkin D, et al. Development and preliminary testing of the new five-level version of EQ-5D (EQ-5D-5L). Qual Life Res. 2011;20(10):1727–36.

    CAS  Article  Google Scholar 

  3. Agborsangaya CB, Lahtinen M, Cooke T, Johnson JA. Comparing the EQ-5D 3L and 5L: measurement properties and association with chronic conditions and multimorbidity in the general population. Health Quality Life Outcomes. 2014;12(1):74.

    Article  Google Scholar 

  4. Feng Y, Devlin N, Herdman M. Assessing the health of the general population in England: how do the three-and five-level versions of EQ-5D compare? Health Quality Life Outcomes. 2015;13(1):171.

    Article  Google Scholar 

  5. Janssen M, Pickard AS, Golicki D, Gudex C, Niewada M, Scalone L, et al. Measurement properties of the EQ-5D-5L compared to the EQ-5D-3L across eight patient groups: a multi-country study. Qual Life Res. 2013;22(7):1717–27.

    CAS  Article  Google Scholar 

  6. Pan C-W, Sun H-P, Wang X, Ma Q, Xu Y, Luo N, et al. The EQ-5D-5L index score is more discriminative than the EQ-5D-3L index score in diabetes patients. Qual Life Res. 2015;24(7):1767–74.

    Article  Google Scholar 

  7. Wang P, Luo N, Tai E, Thumboo J. The EQ-5D-5L is more discriminative than the EQ-5D-3L in patients with diabetes in Singapore. Value Health Reg Issues. 2016;9:57–62.

    Article  Google Scholar 

  8. Conner-Spady BL, Marshall DA, Bohm E, Dunbar MJ, Loucks L, Al Khudairy A, et al. Reliability and validity of the EQ-5D-5L compared to the EQ-5D-3L in patients with osteoarthritis referred for hip and knee replacement. Qual Life Res. 2015;24(7):1775–84.

    Article  Google Scholar 

  9. Golicki D, Niewada M, Buczek J, Karlińska A, Kobayashi A, Janssen M, et al. Validity of EQ-5D-5L in stroke. Qual Life Res. 2015;24(4):845–50.

    Article  Google Scholar 

  10. Janssen MF, Bonsel GJ, Luo N. Is EQ-5D-5L better than EQ-5D-3L? A head-to-head comparison of descriptive systems and value sets from seven countries. Pharmacoeconomics. 2018;36(6):675–97.

    Article  Google Scholar 

  11. Van Hout B, Janssen M, Feng Y-S, Kohlmann T, Busschbach J, Golicki D, et al. Interim scoring for the EQ-5D-5L: mapping the EQ-5D-5L to EQ-5D-3L value sets. Value Health. 2012;15(5):708–15.

    Article  Google Scholar 

  12. Buchholz I, Thielker K, Feng Y-S, Kupatz P, Kohlmann T. Measuring changes in health over time using the EQ-5D 3L and 5L: a head-to-head comparison of measurement properties and sensitivity to change in a German inpatient rehabilitation sample. Qual Life Res. 2015;24(4):829–35.

    Article  Google Scholar 

  13. Jia Y, Cui F, Li L, Zhang D, Zhang G, Wang F, et al. Comparison between the EQ-5D-5L and the EQ-5D-3L in patients with hepatitis B. Qual Life Res. 2014;23(8):2355–63.

    CAS  Article  Google Scholar 

  14. Golicki D, Niewada M, Karlińska A, Buczek J, Kobayashi A, Janssen M, et al. Comparing responsiveness of the EQ-5D-5L, EQ-5D-3L and EQ VAS in stroke patients. Qual Life Res. 2015;24(6):1555–63.

    Article  Google Scholar 

  15. Hunger M, Sabariego C, Stollenwerk B, Cieza A, Leidl R. Validity, reliability and responsiveness of the EQ-5D in German stroke patients undergoing rehabilitation. Qual Life Res. 2012;21(7):1205–16.

    Article  Google Scholar 

  16. Krabbe PF, Peerenboom L, Langenhoff BS, Ruers TJ. Responsiveness of the generic EQ-5D summary measure compared to the disease-specific EORTC QLQ C-30. Qual Life Res. 2004;13(7):1247–53.

    Article  Google Scholar 

  17. Hurst N, Kind P, Ruta D, Hunter M, Stubbings A. Measuring health-related quality of life in rheumatoid arthritis: validity, responsiveness and reliability of EuroQol (EQ-5D). Br J Rheumatol. 1997;36(5):551–9.

    CAS  Article  Google Scholar 

  18. Luo N, Cheung YB, Ng R, Lee CF. Mapping and direct valuation: do they give equivalent EQ-5D-5L index scores? Health Quality Life Outcomes. 2015;13(1):166.

    Article  Google Scholar 

  19. Fung SS, Luis J, Hussain B, Bunce C, Hingorani M, Hancox J. Patient-reported outcome measuring tools in cataract surgery: clinical comparison at a tertiary hospital. J Cataract Refract Surg. 2016;42(12):1759–67.

    Article  Google Scholar 

  20. Ang M, Fenwick E, Wong TY, Lamoureux E, Luo N. Utility of EQ-5D to assess patients undergoing cataract surgery. Optom Vis Sci. 2013;90(8):861–6.

    Article  Google Scholar 

  21. Feeny D, Spritzer K, Hays RD, Liu H, Ganiats TG, Kaplan RM, Palta M, Fryback DG. Agreement about identifying patients who change over time: cautionary results in cataract and heart failure patients. Med Decis Making. 2012;32(2):273–86.

    Article  Google Scholar 

  22. Groessl EJ, Liu L, Sklar M, Tally SR, Kaplan RM, Ganiats TG. Measuring the impact of cataract surgery on generic and vision-specific quality of life. Qual Life Res. 2013;22(6):1405–14.

    Article  Google Scholar 

  23. Brooks R. EuroQol: the current state of play. Health Policy. 1996;37(1):53–72.

    CAS  Article  Google Scholar 

  24. Luo N, Wang P, Thumboo J, Lim Y-W, Vrijhoef HJ. Valuation of EQ-5D-3L health states in Singapore: modeling of time trade-off values for 80 empirically observed health states. Pharm Econ. 2014;32(5):495–507.

    Article  Google Scholar 

  25. Dolan P. Modeling valuations for EuroQol health states. Med Care. 1997;35(11):1095–108.

    CAS  Article  Google Scholar 

  26. Oppe M, Rand-Hendriksen K, Shah K, Ramos-Goni JM, Luo N. EuroQol protocols for time trade-off valuation of health outcomes. Pharmacoeconomics. 2016;34(10):993–1004.

    Article  Google Scholar 

  27. NICE. Position statement on use of the EQ-5D-5L valuation set for England (updated November 2018) [Available from: https://www.nice.org.uk/about/what-we-do/our-programmes/nice-guidance/technology-appraisal-guidance/eq-5d-5l]. Accessed 15 Dec 2018.

  28. Devlin NJ, Shah KK, Feng Y, Mulhern B, Hout B. Valuing health-related quality of life: an EQ-5D-5L value set for England. Health Econ. 2018;27(1):7–22.

    Article  Google Scholar 

  29. Brazier J, Roberts J, Deverill M. The estimation of a preference-based measure of health from the SF-36. J Health Econ. 2002;21(2):271–92.

    Article  Google Scholar 

  30. Horsman J, Furlong W, Feeny D, Torrance G. The Health Utilities Index (HUI®): concepts, measurement properties and applications. Health Quality Life Outcomes. 2003;1(1):54.

    Article  Google Scholar 

  31. Furlong W, Feeny D, Torrance G, Goldsmith C, DePauw S, Zhu Z, et al. Multiplicative multi-attribute utility function for the Health Utilities Index Mark 3 (HUI3) system: a technical report. Hamilton: Centre for Health Economics and Policy Analysis (CHEPA), McMaster University; 1998.

    Google Scholar 

  32. Steinberg EP, Tielsch JM, Schein OD, Javitt JC, Sharkey P, Cassard SD, et al. The VF-14: an index of functional impairment in patients with cataract. Arch Ophthalmol. 1994;112(5):630–8.

    CAS  Article  Google Scholar 

  33. Lamoureux EL, Pesudovs K, Thumboo J, Saw S-M, Wong TY. An evaluation of the reliability and validity of the visual functioning questionnaire (VF-11) using Rasch analysis in an Asian population. Invest Ophthalmol Vis Sci. 2009;50(6):2607–13.

    Article  Google Scholar 

  34. Bowker AH. A test for symmetry in contingency tables. J Am Stat Assoc. 1948;43(244):572–4.

    CAS  Article  Google Scholar 

  35. Deyo RA, Diehr P, Patrick DL. Reproducibility and responsiveness of health status measures statistics and strategies for evaluation. Control Clin Trials. 1991;12(4):S142–58.

    Article  Google Scholar 

  36. Cohen J. Statistical power analysis for the behavioral sciences. 2nd ed. Hillsdale: Erlbaum Associates; 1988.

    Google Scholar 

  37. Mooney CZ, Duval RD, Duvall R. Bootstrapping: a nonparametric approach to statistical inference: Sage; 1993.

  38. McWilliams LA, Goodwin RD, Cox BJ. Depression and anxiety associated with three pain conditions: results from a nationally representative sample. Pain. 2004;111(1–2):77–83.

    Article  Google Scholar 

  39. Buchholz I, Janssen MF, Kohlmann T, Feng YS. A systematic review of studies comparing the measurement properties of the three-level and five-level versions of the EQ-5D. Pharmacoeconomics. 2018;36(6):645–61.

    Article  Google Scholar 

  40. Yang F, Devlin N, Luo N. Impact of mapped EQ-5D utilities on cost-effectiveness analysis: in the case of dialysis treatments. Eur J Health Econ. 2018 (Epub).

  41. Alava MH, Wailoo A, Grimm S, Pudney S, Gomes M, Sadique Z, et al. EQ-5D-5L versus EQ-5D-3L: the impact on cost effectiveness in the United Kingdom. Value Health. 2018;21(1):49–56.

    Article  Google Scholar 

  42. Mulhern B, Feng Y, Shah K, Janssen MF, Herdman M, van Hout B, Devlin N. Comparing the UK EQ-5D-3L and English EQ-5D-5L value sets. Pharmacoeconomics. 2018;36(6):699–713.

    Article  Google Scholar 

  43. Groessl EJ, Liu L, Sklar M, Tally SR, Kaplan RM, Ganiats TG. Measuring the impact of cataract surgery on generic and vision-specific quality of life. Qual Life Res. 2013;22(6):1405–14.

    Article  Google Scholar 

  44. Luo N, Wang X, Ang M, Finkelstein EA, Aung T, Wong T-Y, et al. A vision “bolt-on” item could increase the discriminatory power of the EQ-5D index score. Value Health. 2015;18(8):1037–42.

    Article  Google Scholar 

  45. Longworth L, Yang Y, Young T, Mulhern B, Hernandez Alava M, Mukuria C, et al. Use of generic and condition-specific measures of health-related quality of life in NICE decision-making: a systematic review, statistical modelling and survey. Health Technology Assessment. 2014.

  46. Hays RD, Kim S, Spritzer KL, Kaplan RM, Tally S, Feeny D, et al. Effects of mode and order of administration on generic health-related quality of life scores. Value Health. 2009;12(6):1035–9.

    Article  Google Scholar 

  47. Ferreira LN, Ferreira PL, Pereira LN, Rowen D, Brazier J. Exploring the consistency of the SF-6D. Value Health. 2013;16(6):1023–31.

    Article  Google Scholar 

  48. Wong CK, Mulhern B, Wan Y-F, Lam CL. Responsiveness was similar between direct and mapped SF-6D in colorectal cancer patients who declined. J Clin Epidemiol. 2014;67(2):219–27.

    Article  Google Scholar 

  49. Abdin E, Subramaniam M, Vaingankar JA, Luo N, Chong SA. Population norms for the EQ-5D index scores using Singapore preference weights. Qual Life Res. 2015;24(6):1545–53.

    Article  Google Scholar 

  50. Sun S, Chen J, Johannesson M, et al. Population health status in China: EQ-5D results, by age, sex and socio-economic status, from the National Health Services Survey 2008. Qual Life Res. 2010;20(3):309–20.

    Article  Google Scholar 

Download references

Acknowledgements

We thank the patients of this study for their participation. This study is partially funded by the EuroQol Research Foundation (EQ Project 2016310). Nan Luo and Mathieu F. Janssen are EuroQol Group members who received research Grants from the EuroQol Group. Mihir Gandhi, Marcus Ang, Kelvin Teo, Chee Wai Wong, Yvonne Chung-Hsi Wei, and Rachel Lee-Yin Tan declare no conflict of interest.

Author information

Affiliations

Authors

Contributions

MA, MFJ, and NL jointly conceived the study. KT, CWW, and YCHW contributed in the study design and patient recruitment. RLYT contributed in the data collection form design, patient recruitment and data management. MG analyzed the data and drafted the first version of the manuscript. All authors reviewed and approved the manuscript.

Corresponding author

Correspondence to Marcus Ang.

Ethics declarations

Funding

This study is partially funded by the EuroQol Research Foundation (EQ Project 2016310).

Conflict of interest

Nan Luo and Mathieu F. Janssen are EuroQol Group members who received research grants from the EuroQol Group. Mihir Gandhi, Marcus Ang, Kelvin Teo, Chee Wai Wong, Yvonne Chung-Hsi Wei, and Rachel Lee-Yin Tan declare no conflict of interest.

Ethical approval

All procedures performed in studies involving human participants were in accordance with the ethical standards of the institutional and/or national research committee and with the 1964 Helsinki declaration and its later amendments or comparable ethical standards. This article does not contain any studies with animals performed by any of the authors.

Informed consent

Informed consent was obtained from all individual participants included in the study.

Data Availability

The datasets generated during and/or analyzed during the current study are available from the corresponding author on reasonable request.

Electronic supplementary material

Below is the link to the electronic supplementary material.

Supplementary material 1 (DOCX 47 kb)

Rights and permissions

Reprints and Permissions

About this article

Verify currency and authenticity via CrossMark

Cite this article

Gandhi, M., Ang, M., Teo, K. et al. EQ-5D-5L is More Responsive than EQ-5D-3L to Treatment Benefit of Cataract Surgery. Patient 12, 383–392 (2019). https://doi.org/10.1007/s40271-018-00354-7

Download citation

  • Published:

  • Issue Date:

  • DOI: https://doi.org/10.1007/s40271-018-00354-7