Skip to main content

Role of Cytochrome P450 Isoenzymes 3A and 2D6 in the In Vivo Metabolism of Mirabegron, a β3-Adrenoceptor Agonist

Abstract

Background

Mirabegron is a β3-adrenoceptor agonist for the treatment of overactive bladder. There has been little information published or presented about the involvement of cytochrome P450 (CYP) isoenzymes 3A and 2D6 in the metabolism of mirabegron in humans; in vitro data indicate that oxidative metabolism is primarily mediated by CYP3A with a minor role for CYP2D6.

Objective

To determine to what extent CYP3A and CYP2D6 isoenzymes are involved in mirabegron metabolism.

Methods

Two open-label, randomized, one-sequence crossover drug–drug interaction studies in healthy subjects were conducted to assess the effect of ketoconazole and rifampicin on the pharmacokinetics of mirabegron and two parallel-group studies in healthy subjects with either known confirmed or predicted CYP2D6 phenotype.

Results

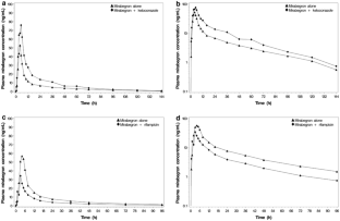
Co-administration of multiple dosages of 400 mg/day ketoconazole with a single 100 mg mirabegron oral controlled absorption system (OCAS) dose increased mirabegron maximum concentration (C max) and area under the curve extrapolated to infinity (AUC) to 145 % (90 % confidence interval [CI] 123–172 %] and 181 % (90 % CI 163–201 %), respectively. Co-administration of multiple dosages of 600 mg/day rifampicin with a single 100 mg mirabegron OCAS dose decreased mirabegron C max and AUC to 65 % (90 % CI 50–86 %) and 56 % (90 % CI 49–65 %), respectively, without an effect on terminal elimination half-life (t ½). The urinary excretion of mirabegron was increased by ketoconazole and decreased by rifampicin, reflecting the AUC changes, whereas renal clearance was not affected. Ketoconazole decreased mirabegron t ½ from 50.9 to 37.6 h suggesting that volume of distribution as well as first-pass effect decreased. Rifampicin did not affect mirabegron t ½, suggesting that it affects first pass through the intestinal wall or liver. Rifampicin greatly increased the ratio to parent drug of the presumed CYP-mediated mirabegron metabolites M8 and M15 by 777 and 646 %. Steady-state mirabegron pharmacokinetic parameters (50 and 100 mg mirabegron OCAS) were similar in 13 CYP2D6 poor, 40 intermediate, and 99 extensive metabolizers, whereas C max and AUC under the dosing interval τ of 24 h (AUCτ) were 30–47 % lower in 10 ultrarapid metabolizers. After administration of 160 mg mirabegron immediate release, C max was 14 % and AUC 19 % higher in eight poor metabolizers than in eight extensive metabolizers (phenotyped) with similar t ½. All treatments were well tolerated.

Conclusions

Mirabegron is metabolized by CYP3A and to a minor extent by CYP2D6 in humans. Mirabegron is not considered a sensitive substrate of CYP3A in vivo, as ketoconazole increased mirabegron exposure by less than 2-fold. The effect of CYP2D6 phenotype on mirabegron exposure is small and likely of limited clinical importance.

This is a preview of subscription content, access via your institution.

Fig. 1
Fig. 2
Fig. 3
Fig. 4

References

  1. Takasu T, Ukai M, Sato S, et al. Effect of (R)-2-(2-aminothiazol-4-yl)-4′-{2-[(2-hydroxy-2-phenylethyl)amino]ethyl} acetanilide (YM178), a novel selective β3-adrenoceptor agonist, on bladder function. J Pharmacol Exp Ther. 2007;321(2):642–7.

    PubMed  Article  CAS  Google Scholar 

  2. Athanasopoulos A, Giannitsas K. An overview of the clinical use of antimuscarinics in the treatment of overactive bladder. Adv Urol. 2011;2011:820816.

    PubMed  Article  Google Scholar 

  3. Khullar V, Amarenco G, Angulo JC, et al. Efficacy and tolerability of mirabegron, a β3-adrenoceptor agonist, in patients with overactive bladder: results from a randomised European-Australian phase 3 trial. Eur Urol. 2013;63(2):283–95.

    PubMed  Article  CAS  Google Scholar 

  4. Nitti VW, Auerbach S, Martin N, et al. Results of a randomized phase III trial of mirabegron in patients with overactive bladder. J Urol. 2013;189(4):1388–95.

    PubMed  Article  CAS  Google Scholar 

  5. Takusagawa S, van Lier JJ, Suzuki K, et al. Absorption, metabolism and excretion of [14C]mirabegron (YM178), a potent and selective β3-adrenoceptor agonist, after oral administration to healthy male volunteers. Drug Metab Dispos. 2012;40(4):815–24.

    PubMed  Article  CAS  Google Scholar 

  6. Takusagawa S, Yajima K, Miyashita A, et al. Identification of human cytochrome P450 isoforms and esterases involved in the metabolism of mirabegron, a potent and selective β3-adrenoceptor agonist. Xenobiotica. 2012;42(10):957–67.

    PubMed  Article  CAS  Google Scholar 

  7. Zhou SF. Polymorphism of human cytochrome P450 2D6 and its clinical significance: part I. Clin Pharmacokinet. 2009;48(11):689–723.

    PubMed  Article  CAS  Google Scholar 

  8. European Medicines Agency. Guideline on the investigation of drug interactions draft. 2011. http://www.emea.europa.eu/docs/en_GB/document_library/Scientific_guideline/2010/05/WC500090112.pdf. Accessed 14 Aug 2012.

  9. US Department of Health and Human Services FDA, Center for Drug Evaluation and Research (CDER). Guidance for industry. Drug interaction studies—study design, data analysis, implications for dosing and labeling recommendations. 2012. http://www.fda.gov/downloads/Drugs/GuidanceComplianceRegulatoryInformation/Guidances/UCM292362.pdf. Accessed 14 Aug 2012.

  10. Malik M, van Gelderen M, Lee J, et al. Proarrhythmic safety of repeat doses of mirabegron in healthy subjects: a randomized, double-blind, placebo- and active-controlled thorough QT study. Clin Pharmacol Ther. 2012;92(6):696–706.

    PubMed  Article  CAS  Google Scholar 

  11. Evert B, Griese EU, Eichelbaum M. Cloning and sequencing of a new non-functional CYP2D6 allele: deletion of T1795 in exon 3 generates a premature stop codon. Pharmacogenetics. 1994;4(5):271–4.

    PubMed  Article  CAS  Google Scholar 

  12. Heim M, Meyer UA. Genotyping of poor metabolisers of debrisoquine by allele-specific PCR amplification. Lancet. 1990;336(8714):529–32.

    PubMed  Article  CAS  Google Scholar 

  13. Johansson I, Lundqvist E, Dahl ML, et al. PCR-based genotyping for duplicated and deleted CYP2D6 genes. Pharmacogenetics. 1996;6(4):351–5.

    PubMed  Article  CAS  Google Scholar 

  14. Steijns LS, Van Der Weide J. Ultrarapid drug metabolism: PCR-based detection of CYP2D6 gene duplication. Clin Chem. 1998;44(5):914–7.

    PubMed  CAS  Google Scholar 

  15. Wieling J, Tamminga WJ, Sakiman EP, et al. Evaluation of analytical and clinical performance of a dual-probe phenotyping method for CYP2D6 polymorphism and CYP3A4 activity screening. Ther Drug Monit. 2000;22(4):486–96.

    PubMed  Article  CAS  Google Scholar 

  16. Schmid B, Bircher J, Preisig R, et al. Polymorphic dextromethorphan metabolism: co-segregation of oxidative O-demethylation with debrisoquin hydroxylation. Clin Pharmacol Ther. 1985;38(6):618–24.

    PubMed  Article  CAS  Google Scholar 

  17. Armstrong M, Fairbrother K, Idle JR, et al. The cytochrome P450 CYP2D6 allelic variant CYP2D6J and related polymorphisms in a European population. Pharmacogenetics. 1994;4(2):73–81.

    PubMed  Article  CAS  Google Scholar 

  18. Gaedigk A, Blum M, Gaedigk R, et al. Deletion of the entire cytochrome P450 CYP2D6 gene as a cause of impaired drug metabolism in poor metabolizers of the debrisoquine/sparteine polymorphism. Am J Hum Genet. 1991;48(5):943–50.

    PubMed  CAS  Google Scholar 

  19. Løvlie R, Daly AK, Molven A, et al. Ultrarapid metabolizers of debrisoquine: characterization and PCR-based detection of alleles with duplication of the CYP2D6 gene. FEBS Lett. 1996;392(1):30–4.

    PubMed  Article  Google Scholar 

  20. Lundqvist E, Johansson I, Ingelman-Sundberg M. Genetic mechanisms for duplication and multiduplication of the human CYP2D6 gene and methods for detection of duplicated CYP2D6 genes. Gene. 1999;226(2):327–38.

    PubMed  Article  CAS  Google Scholar 

  21. Steen VM, Molven A, Aarskog NK, et al. Homologous unequal cross-over involving a 2.8 kb direct repeat as a mechanism for the generation of allelic variants of human cytochrome P450 CYP2D6 gene. Hum Mol Genet. 1995;4(12):2251–7.

    PubMed  Article  CAS  Google Scholar 

  22. Stüven T, Griese EU, Kroemer HK, et al. Rapid detection of CYP2D6 null alleles by long distance- and multiplex-polymerase chain reaction. Pharmacogenetics. 1996;6(5):417–21.

    PubMed  Article  Google Scholar 

  23. Masimirembwa C, Persson I, Bertilsson L, et al. A novel mutant variant of the CYP2D6 gene (CYP2D6 17) common in a black African population: association with diminished debrisoquine hydroxylase activity. Br J Clin Pharmacol. 1996;42(6):713–9.

    PubMed  Article  CAS  Google Scholar 

  24. Eltink C, Lee J, Schaddelee MP, et al. Single dose pharmacokinetics and absolute bioavailability of mirabegron, a selective and potent β3-adrenoceptor agonist for treatment of overactive bladder, in healthy subjects. Int J Clin Pharmacol Ther. 2012;50(11):838–50.

    PubMed  CAS  Google Scholar 

  25. van Teijlingen R, Meijer J, Takusagawa S, et al. Development and validation of LC-MS/MS methods for the determination of mirabegron and its metabolites in human plasma and their application to a clinical pharmacokinetic study. J Chromatogr B Analyt Technol Biomed Life Sci. 2012;887–888:102–11.

    PubMed  Google Scholar 

  26. Olkkola KT, Backman JT, Neuvonen PJ. Midazolam should be avoided in patients receiving the systemic antimycotics ketoconazole or itraconazole. Clin Pharmacol Ther. 1994;55(5):481–5.

    PubMed  Article  CAS  Google Scholar 

  27. Wacher VJ, Wu CY, Benet LZ. Overlapping substrate specificities and tissue distribution of cytochrome P450 3A and P-glycoprotein: implications for drug delivery and activity in cancer chemotherapy. Mol Carcinog. 1995;13(3):129–34.

    PubMed  Article  CAS  Google Scholar 

  28. Lin JH. Drug–drug interaction mediated by inhibition and induction of P-glycoprotein. Adv Drug Deliv Rev. 2003;55(1):53–81.

    PubMed  Article  CAS  Google Scholar 

  29. Venkatakrishnan K, Von Moltke LL, Greenblatt DJ. Human drug metabolism and the cytochromes P450: application and relevance of in vitro models. J Clin Pharmacol. 2001;41(11):1149–79.

    PubMed  Article  CAS  Google Scholar 

  30. Wang EJ, Lew K, Casciano CN, et al. Interaction of common azole antifungals with P glycoprotein. Antimicrob Agents Chemother. 2002;46(1):160–5.

    PubMed  Article  CAS  Google Scholar 

  31. Takeda S, Kitajima Y, Ishii Y, et al. Inhibition of UDP-glucuronosyltransferase 2b7-catalyzed morphine glucuronidation by ketoconazole: dual mechanisms involving a novel noncompetitive mode. Drug Metab Dispos. 2006;34(8):1277–82.

    PubMed  Article  CAS  Google Scholar 

  32. Yong WP, Ramirez J, Innocenti F, et al. Effects of ketoconazole on glucuronidation by UDP-glucuronosyltransferase enzymes. Clin Cancer Res. 2005;11(18):6699–704.

    PubMed  Article  CAS  Google Scholar 

  33. Takusagawa S, Ushigome F, Nemoto H, et al. Intestinal absorption mechanism of mirabegron, a potent and selective β3-adrenoceptor agonist: involvement of human efflux and/or influx transport systems. Mol Pharm. 2013 [Epub ahead of print].

  34. Kohsaka K. Study of absorption, distribution, metabolism and excretion after a single oral administration of 14C-YM178 to albino rats. Shin Nippon Biomedical Laboratories, Ltd. (Wakayama, Japan) 2002.

  35. Grover A, Benet LZ. Effects of drug transporters on volume of distribution. AAPS J. 2009;11(2):250–61.

    PubMed  Article  CAS  Google Scholar 

  36. Backman JT, Granfors MT, Neuvonen PJ. Rifampicin is only a weak inducer of CYP1A2-mediated presystemic and systemic metabolism: studies with tizanidine and caffeine. Eur J Clin Pharmacol. 2006;62(6):451–61.

    PubMed  Article  CAS  Google Scholar 

  37. Niemi M, Backman JT, Fromm MF, et al. Pharmacokinetic interactions with rifampicin: clinical relevance. Clin Pharmacokinet. 2003;42(9):819–50.

    PubMed  Article  CAS  Google Scholar 

  38. Schuetz EG. Induction of cytochromes P450. Curr Drug Metab. 2001;2(2):139–47.

    PubMed  Article  CAS  Google Scholar 

  39. Nishimura M, Koeda A, Shimizu T, et al. Comparison of inducibility of sulfotransferase and UDP-glucuronosyltransferase mRNAs by prototypical microsomal enzyme inducers in primary cultures of human and cynomolgus monkey hepatocytes. Drug Metab Pharmacokinet. 2008;23(1):45–53.

    PubMed  Article  CAS  Google Scholar 

  40. Court MH, Zhang X, Ding X, et al. Quantitative distribution of mRNAs encoding the 19 human UDP-glucuronosyltransferase enzymes in 26 adult and 3 fetal tissues. Xenobiotica. 2012;42(3):266–77.

    PubMed  Article  CAS  Google Scholar 

  41. Gaedigk A, Simon SD, Pearce RE, et al. The CYP2D6 activity score: translating genotype information into a qualitative measure of phenotype. Clin Pharmacol Ther. 2008;83(2):234–42.

    PubMed  Article  CAS  Google Scholar 

Download references

Acknowledgments

The authors wish to thank Scott Clark (Gentris) for the genotyping in study 4 and Sandra Boom (Pharma-Plus) for her assistance in the preparation of this manuscript. This study and editorial assistance for the manuscript preparation were funded by Astellas. Jeroen van de Wetering de Rooij is acknowledged for the medical care of the subjects in study 3 and Stewart Harris for the conduct of studies 2 and 4, and critical review of the manuscript. Jennifer Lee, Selina Moy, Donna Kowalski, Michael Roy, and Jim Keirns are employees of Astellas Pharma Global Development Inc. John Meijer, Walter Krauwinkel, and Marcel van Gelderen are employees of Astellas Pharma Europe B.V. Taiji Sawamoto and Shin Takusagawa are employees of Astellas Pharma Inc. Virginie Kerbusch is a consultant for Astellas. Alan Marion has no conflicts of interest to declare.

Author information

Affiliations

Authors

Corresponding author

Correspondence to James Keirns.

Rights and permissions

Reprints and Permissions

About this article

Cite this article

Lee, J., Moy, S., Meijer, J. et al. Role of Cytochrome P450 Isoenzymes 3A and 2D6 in the In Vivo Metabolism of Mirabegron, a β3-Adrenoceptor Agonist. Clin Drug Investig 33, 429–440 (2013). https://doi.org/10.1007/s40261-013-0084-y

Download citation

  • Published:

  • Issue Date:

  • DOI: https://doi.org/10.1007/s40261-013-0084-y

Keywords

  • Rifampicin
  • Ketoconazole
  • Mirabegron
  • CYP2D6 Phenotype
  • Oral Control Absorption System