Skip to main content

Long-Term Outcomes and Improvements in Quality of Life in Patients with Atrial Fibrillation Treated with Catheter Ablation vs. Antiarrhythmic Drugs

Abstract

Background

Catheter ablation (CA) is a recognized first-line treatment for atrial fibrillation (AF) in selected patients; however, the differences between CA and antiarrhythmic drugs (AADs) in terms of long-term outcomes and quality of life (QoL) have not often been compared.

Objectives

We performed a meta-analysis of randomized controlled trials (RCTs) to compare long-term outcomes and QoL with CA and AADs in the treatment of AF.

Methods

We searched the MEDLINE database for English-language RCTs of CA or AADs in AF from 1 January 2005 to 30 October 2019 with no other restrictions. We included studies that reported sample sizes and the long-term outcomes of interest as well as sample size, mean ± standard deviation or 95% confidence intervals (CIs) for QoL outcomes with CA and AADs.

Results

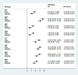
We identified 20 RCTs involving 5425 participants. Compared with patients who received only AADs, patients receiving CA had a significantly decreased risk of all-cause death (relative risk [RR] 0.72; 95% CI 0.58–0.90) and cardiovascular hospitalization (RR 0.85; 95% CI 0.79–0.91). We found a significant increase in the risk of cardiac tamponade (RR 5.86; 95% CI 1.77–19.44) but no difference in the risk of heart failure, stroke or transient ischemic attack, atrial tachycardia, bleeding or hematoma, and pulmonary vein stenosis. For long-term QoL after treatment, both therapies resulted in improved scores on the Medical Outcomes Study 36-Item Short Form Survey (SF-36): weighted mean differences (WMDs) for the physical component score (PCS) were 5.89 for CA and 4.26 for AADs and for the mental component score (MCS) were 7.12 for CA and 5.06 for AADs. At the end of follow-up, groups receiving CA had significantly higher scores in both areas. The change in PCS and MCS between baseline and end of follow-up was also significantly higher in the CA groups: WMD 1.51 for change in PCS and 1.49 for change in MCS. All eight SF-36 subscale scores improved for patients receiving CA, whereas patients receiving AADs recorded no improvement in the general health and bodily pain subscales. At the end of follow-up, CA groups had significantly higher scores than AAD groups in the following subscales: physical functioning, role limitations due to physical health problems, bodily pain, general health, vitality, and role limitations due to emotional problems.

Conclusions

In the treatment of AF, CA appeared to be superior to AADs, decreasing the risk of all-cause death and cardiovascular hospitalization and improving the long-term QoL of patients with AF. CA was better tolerated and more effective than pharmacological therapy and allowed for improved QoL.

This is a preview of subscription content, access via your institution.

Fig. 1
Fig. 2
Fig. 3
Fig. 4
Fig. 5
Fig. 6
Fig. 7

References

  1. Guasch E, Mont L. Diagnosis, pathophysiology, and management of exercise-induced arrhythmias. Nat Rev Cardiol. 2017;14(2):88–101.

    Google Scholar 

  2. Chrzanowski DD. Managing AF to prevent its major complication: ischemic stroke. Nurse Pract. 1998;23(5):26.

    Google Scholar 

  3. Rattanawong P, Upala S, Riangwiwat T, Jaruvongvanich V, Sanguankeo A, Vutthikraivit W, Chung EH. AF is associated with sudden cardiac death: a systematic review and meta-analysis. J Interv Card Electrophysiol. 2018;51(2):91–104.

    Google Scholar 

  4. Dries DL, Exner DV, Gersh BJ, Domanski MJ, Waclawiw MA, Stevenson LW. AF is associated with an increased risk for mortality and heart failure progression in patients with asymptomatic and symptomatic left ventricular systolic dysfunction: a retrospective analysis of the SOLVD trials: studies of left ventricular dysfunction. J Am Coll Cardiol. 1998;32:695–703.

    Google Scholar 

  5. Kirchhof P, Benussi S, Kotecha D, Ahlsson A, Atar D, Casadei B, et al. 2016 ESC guidelines for the management of AF developed in collaboration with EACTS. Eur Heart J. 2016;37(38):2893–962.

    Google Scholar 

  6. Andrade JG, Khairy P, Macle L, Packer DL, Lehmann JW, Holcomb RG, Ruskin JN, Dubuc M. Incidence and significance of early recurrences of AF after cryoballoon ablation. Circ Arrhythm Electrophysiol. 2014;7(1):69–75.

    Google Scholar 

  7. Stabile G, De Simone A, Turco P, La Rocca V, Nocerino P, Astarita C, Maresca F, De Matteis C, Di Napoli T, Stabile E, Vitale DF. Response to flecainide infusion predicts long-term success of hybrid pharmacologic and ablation therapy in patients with AF. J Am Coll Cardiol. 2001;37(6):1639–44.

    Google Scholar 

  8. Stabile G, Bertaglia E, Senatore G, De Simone A, Zoppo F, Donnici G, Turco P, Pascotto P, Fazzari M, Vitale DF. Catheter ablation treatment in patients with drug-refractory AF: a prospective, multi-centre, randomized, controlled study (Catheter Ablation for The Cure Of AF Study). Eur Heart J. 2006;27(2):216–21.

    Google Scholar 

  9. Forleo GB, Mantica M, De Luca L, Leo R, Santini L, Panigada S, De Sanctis V, Pappalardo A, Laurenzi F, Avella A, Casella M, Dello Russo A, Romeo F, Pelargonio G, Tondo C. Catheter ablation of AF in patients with diabetes mellitus type 2: results from a randomized study comparing pulmonary vein isolation versus antiarrhythmic drug therapy. J Cardiovasc Electrophysiol. 2009;20(1):22–8.

    Google Scholar 

  10. Parkash R, Tang AS, Sapp JL, Wells G. Approach to the catheter ablation technique of paroxysmal and persistent atrial fibrillation: a meta-analysis of the randomized controlled trials. J Cardiovasc Electrophysiol. 2011;22(7):729–38.

    Google Scholar 

  11. Khan AR, Khan S, Sheikh MA, Khuder S, Grubb B, Moukarbel GV. Catheter ablation and antiarrhythmic drug therapy as first- or second-line therapy in the management of atrial fibrillation: systematic review and meta-analysis. Circ Arrhythm Electrophysiol. 2014;7(5):853–60.

    Google Scholar 

  12. Hakalahti A, Biancari F, Nielsen JC, Raatikainen MJ. Radiofrequency ablation vs. antiarrhythmic drug therapy as first line treatment of symptomatic atrial fibrillation: systematic review and meta-analysis. Europace. 2015;17(3):370–8.

    Google Scholar 

  13. Zhu M, Zhou X, Cai H, Wang Z, Xu H, Chen S, Chen J, Xu X, Xu H, Mao W. Catheter ablation versus medical rate control for persistent atrial fibrillation in patients with heart failure: a PRISMA-compliant systematic review and meta-analysis of randomized controlled trials. Medicine (Baltimore). 2016;95(30):e4377.

    Google Scholar 

  14. Zhang B, Shen D, Feng S, Zhen Y, Zhang G. Efficacy and safety of catheter ablation vs. rate control of atrial fibrillation in systolic left ventricular dysfunction: a meta-analysis and systematic review. Herz. 2016;41(4):342–50.

    Google Scholar 

  15. Chen C, Zhou X, Zhu M, Chen S, Chen J, Cai H, Dai J, Xu X, Mao W. Catheter ablation versus medical therapy for patients with persistent AF: a systematic review and meta-analysis of evidence from randomized controlled trials. J Interv Card Electrophysiol. 2018;52(1):9–18.

    Google Scholar 

  16. Wilber DJ, Pappone C, Neuzil P, De Paola A, Marchlinski F, Natale A, Macle L, Daoud EG, Calkins H, Hall B, Reddy V, Augello G, Reynolds MR, Vinekar C, Liu CY, Berry SM, Berry DA, ThermoCool AF Trial Investigators. Comparison of antiarrhythmic drug therapy and radiofrequency catheter ablation in patients with paroxysmal AF: a randomized controlled trial. JAMA. 2010;303(4):333–40.

    Google Scholar 

  17. Jaïs P, Cauchemez B, Macle L, Daoud E, Khairy P, Subbiah R, Hocini M, Extramiana F, Sacher F, Bordachar P, Klein G, Weerasooriya R, Clémenty J, Haïssaguerre M. Catheter ablation versus antiarrhythmic drugs for AF: the A4 study. Circulation. 2008;118(24):2498–505.

    Google Scholar 

  18. Packer DL, Mark DB, Robb RA, Monahan KH, Bahnson TD, Poole JE, Noseworthy PA, Rosenberg YD, Jeffries N, Mitchell LB, Flaker GC, Pokushalov E, Romanov A, Bunch TJ, Noelker G, Ardashev A, Revishvili A, Wilber DJ, Cappat R, Kuck K-H, Hindricks G, Davies DW, Kowey PR, Naccarelli GV, Reiffel JA, Piccini JP, Silverstein AP, Al-Khalidi HR, Lee KL, for the CABANA Investigators. Effect of catheter ablation vs antiarrhythmic drug therapy on mortality, stroke, bleeding, and cardiac arrest among patients with atrial fibrillation. The CABANA randomized clinical trial. JAMA. 2019. https://doi.org/10.1001/jama.2019.0693(published online March 15, 2019).

    Google Scholar 

  19. Mark DB, Anstrom KJ, Sheng S, Piccini JP, Baloch KN, Monahan KH, Daniels MR, Bahnson TD, Poole JE, Rosenberg Y, Lee KL, Packer DL, For the CABANA Investigators. Effect of catheter ablation vs medical therapy on quality of life among patients with atrial fibrillation: the CABANA randomized clinical trial. JAMA. 2019. https://doi.org/10.1001/jama.2019.0692(published online March 15, 2019).

    Google Scholar 

  20. Marrouche NF, Brachmann J, Andresen D, Siebels J, Boersma L, Jordaens L, Merkely B, Pokushalov E, Sanders P, Proff J, Schunkert H, Christ H, Vogt J, Bänsch D, CASTLE-AF Investigators. Catheter ablation for AF with heart failure. N Engl J Med. 2018;378(5):417–27.

    Google Scholar 

  21. Prabhu S, Taylor AJ, Costello BT, Kaye DM, McLellan AJA, Voskoboinik A, Sugumar H, Lockwood SM, Stokes MB, Pathik B, Nalliah CJ, Wong GR, Azzopardi SM, Gutman SJ, Lee G, Layland J, Mariani JA, Ling LH, Kalman JM, Kistler PM. Catheter ablation versus medical rate control in AF and systolic dysfunction: the CAMERA-MRI study. J Am Coll Cardiol. 2017;70(16):1949–61.

    Google Scholar 

  22. Sohara H, Ohe T, Okumura K, Naito S, Hirao K, Shoda M, Kobayashi Y, Yamauchi Y, Yamaguchi Y, Kuwahara T, Hirayama H, YeongHwa C, Kusano K, Kaitani K, Banba K, Fujii S, Kumagai K, Yoshida H, Matsushita M, Satake S, Aonuma K. HotBalloon ablation of the pulmonary veins for paroxysmal AF: a multicenter randomized trial in Japan. J Am Coll Cardiol. 2016;68(25):2747–57.

    Google Scholar 

  23. Bertaglia E, Senatore G, De Michieli L, De Simone A, Amellone C, Ferretto S, La Rocca V, Giuggia M, Corrado D, Zoppo F, Stabile G. Twelve-year follow-up of catheter ablation for AF: a prospective, multicenter, randomized study. Heart Rhythm. 2017;14(4):486–92.

    Google Scholar 

  24. Di Biase L, Mohanty P, Mohanty S, Santangeli P, Trivedi C, Lakkireddy D, Reddy M, Jais P, Themistoclakis S, Dello Russo A, Casella M, Pelargonio G, Narducci ML, Schweikert R, Neuzil P, Sanchez J, Horton R, Beheiry S, Hongo R, Hao S, Rossillo A, Forleo G, Tondo C, Burkhardt JD, Haissaguerre M, Natale A. Ablation versus amiodarone for treatment of persistent AF in patients with congestive heart failure and an implanted device: results from the AATAC multicenter randomized trial. Circulation. 2016;133(17):1637–44.

    Google Scholar 

  25. Raatikainen MJ, Hakalahti A, Uusimaa P, Nielsen JC, Johannessen A, Hindricks G, Walfridsson H, Pehrson S, Englund A, Hartikainen J, Kongstad O, Mortensen LS, Hansen PS, MANTRA-PAF investigators. Radiofrequency catheter ablation maintains its efficacy better than antiarrhythmic medication in patients with paroxysmal AF: on-treatment analysis of the randomized controlled MANTRA-PAF trial. Int J Cardiol. 2015;198:108–14.

    Google Scholar 

  26. Walfridsson H, Walfridsson U, Nielsen JC, Johannessen A, Raatikainen P, Janzon M, Levin LA, Aronsson M, Hindricks G, Kongstad O, Pehrson S, Englund A, Hartikainen J, Mortensen LS, Hansen PS. Radiofrequency ablation as initial therapy in paroxysmal AF: results on health-related quality of life and symptom burden. The MANTRA-PAF trial. Europace. 2015;17(2):215–21.

    Google Scholar 

  27. Zhang XD, Gu J, Jiang WF, Zhao L, Zhou L, Wang YL, Liu YG, Liu X. Optimal rhythm-control strategy for recurrent atrial tachycardia after catheter ablation of persistent AF: a randomized clinical trial. Eur Heart J. 2014;35(20):1327–34.

    Google Scholar 

  28. Hunter RJ, Berriman TJ, Diab I, Kamdar R, Richmond L, Baker V, Goromonzi F, Sawhney V, Duncan E, Page SP, Ullah W, Unsworth B, Mayet J, Dhinoja M, Earley MJ, Sporton S, Schilling RJ. A randomized controlled trial of catheter ablation versus medical treatment of AF in heart failure (the CAMTAF trial). Circ Arrhythm Electrophysiol. 2014;7(1):31–8.

    Google Scholar 

  29. Hummel J, Michaud G, Hoyt R, DeLurgio D, Rasekh A, Kusumoto F, Giudici M, Dan D, Tschopp D, Calkins H, Boersma L, TTOP-AF Investigators. Phased RF ablation in persistent AF. Heart Rhythm. 2014;11(2):202–9.

    Google Scholar 

  30. Mont L, Bisbal F, Hernández-Madrid A, Pérez-Castellano N, Viñolas X, Arenal A, Arribas F, Fernández-Lozano I, Bodegas A, Cobos A, Matía R, Pérez-Villacastín J, Guerra JM, Ávila P, López-Gil M, Castro V, Arana JI, Brugada J, SARA Investigators. Catheter ablation vs. antiarrhythmic drug treatment of persistent AF: a multicentre, randomized, controlled trial (SARA study). Eur Heart J. 2014;35(8):501–7.

    Google Scholar 

  31. Cosedis Nielsen J, Johannessen A, Raatikainen P, Hindricks G, Walfridsson H, Kongstad O, Pehrson S, Englund A, Hartikainen J, Mortensen LS, Hansen PS. Radiofrequency ablation as initial therapy in paroxysmal AF. N Engl J Med. 2012;367(17):1587–95.

    Google Scholar 

  32. Pappone C, Vicedomini G, Augello G, Manguso F, Saviano M, Baldi M, Petretta A, Giannelli L, Calovic Z, Guluta V, Tavazzi L, Santinelli V. Radiofrequency catheter ablation and antiarrhythmic drug therapy: a prospective, randomized, 4-year follow-up trial: the APAF study. Circ Arrhythm Electrophysiol. 2011;4(6):808–14.

    Google Scholar 

  33. Reynolds MR, Walczak J, White SA, Cohen DJ, Wilber DJ. Improvements in symptoms and quality of life in patients with paroxysmal AF treated with radiofrequency catheter ablation versus antiarrhythmic drugs. Circ Cardiovasc Qual Outcomes. 2010;3(6):615–23.

    Google Scholar 

  34. van Loon IN, Bots ML, Boereboom FTJ, Grooteman MPC, Blankestijn PJ, van den Dorpel MA, Nubé MJ, Ter Wee PM, Verhaar MC, Hamaker ME. Quality of life as indicator of poor outcome in hemodialysis: relation with mortality in different age groups. BMC Nephrol. 2017;18:217.

    Google Scholar 

  35. Jones DG, Haldar SK, Hussain W, Sharma R, Francis DP, Rahman-Haley SL, McDonagh TA, Underwood SR, Markides V, Wong T. A randomized trial to assess catheter ablation versus rate control in the management of persistent atrial fibrillation in heart failure. J Am Coll Cardiol. 2013;61(18):1894–903.

    Google Scholar 

  36. Berkowitsch A, Greiss H, Vukajlovic D, Kuniss M, Neumann T, Zaltsberg S, Kurzidim K, Hamm C, Pitschner HF. Usefulness of atrial fibrillation burden as a predictor for success of pulmonary vein isolation. Pacing Clin Electrophysiol. 2005;28(12):1292–301.

    Google Scholar 

  37. Chen LY, Chung MK, Allen LA, Ezekowitz M, Furie KL, McCabe P, Noseworthy PA, Perez MV, Turakhia MP, American Heart Association Council on Clinical Cardiology; Council on Cardiovascular, and Stroke Nursing; Council on Quality of Care, and Outcomes Research;, and Stroke Council. Atrial fibrillation burden: moving beyond atrial fibrillation as a binary entity: a scientific statement from the American Heart Association. Circulation. 2018;137(20):e623–e644644.

    Google Scholar 

  38. Khaykin Y, Wang X, Natale A, Wazni OM, Skanes AC, Humphries KH, Kerr CR, Verma A, Morillo CA. Cost comparison of ablation versus antiarrhythmic drugs as first-line therapy for AF: an economic evaluation of the RAAFT pilot study. J Cardiovasc Electrophysiol. 2009;20(1):7–12.

    Google Scholar 

  39. Reynolds MR, Zimetbaum P, Josephson ME, Ellis E, Danilov T, Cohen DJ. Cost-effectiveness of radiofrequency catheter ablation compared with antiarrhythmic drug therapy for paroxysmal AF. Circ Arrhythm Electrophysiol. 2009;2(4):362–9.

    Google Scholar 

Download references

Author information

Affiliations

Authors

Corresponding author

Correspondence to Su-Hua Wu.

Ethics declarations

Funding

No external funding was used in the preparation of this manuscript. This study was supported by grants from the National Natural Science Foundation of China (nos. 81370285 and 81970206), the Guangdong Natural Science Foundation (2019A1515010269), and the Guangzhou City Science and Technology key program (no. 201508020057) to Dr. Wu. No external funding was used in the preparation of this manuscript.

Conflict of interest

Zi-Heng Zheng, Jun Fan, Cheng-Cheng Ji, Yun-Jiu Cheng, Xu-Miao Chen, Jing-Zhou Jiang, and Su-Hua Wu have no potential conflicts of interest that might be relevant to the contents of this manuscript.

Availability of data and material

No data are available.

Ethics approval

This article does not contain any studies with human participants or animals performed by any of the authors.

Consent

Not applicable.

Author Contributions

WSH and ZZH made substantial contributions to the design of the present study; ZZH, FJ, JCC, WSH, JJZ, CYJ, CXM analyzed the data; ZZH, FJ, JCC, WSH, CYJ wrote the manuscript. All authors have read and approved the final version of the manuscript.

Electronic supplementary material

Below is the link to the electronic supplementary material.

Supplementary file1 (DOCX 5638 kb)

Rights and permissions

Reprints and Permissions

About this article

Verify currency and authenticity via CrossMark

Cite this article

Zheng, ZH., Fan, J., Ji, CC. et al. Long-Term Outcomes and Improvements in Quality of Life in Patients with Atrial Fibrillation Treated with Catheter Ablation vs. Antiarrhythmic Drugs. Am J Cardiovasc Drugs 21, 299–320 (2021). https://doi.org/10.1007/s40256-020-00435-9

Download citation

  • Published:

  • Issue Date:

  • DOI: https://doi.org/10.1007/s40256-020-00435-9