Skip to main content

Human health risk estimation and predictive modeling of halogenated disinfection by- products (chloroform) in swimming pool waters: a case study of Dhanbad, Jharkhand, India

Abstract

Disinfection is an important process to make the water free from harmful pathogenic substances, but sometimes it results in the formation of harmful by-products. Development of predictive models is required to define the concentration of THMs in pool water. Majority of studies reported inhalation to be the most significant THMs exposure route which is more likely to be dependent upon the concentration of THMs in pool water and in air. THMs concentration in the analyzed pool water samples and in air was found to be 197.18 ± 16.31 μg L−1 and 0.033 μg m3–1, respectively. Statistical parameters such as high correlation coefficients, high R2 values, low standard error, and low mean square error of prediction indicated the validity of MLR based linear model over non-linear model. Therefore, linear model can be most suitably used to pre-assess and predict the THMs levels in swimming pool water. Risk estimation studies was conducted by using the united states environmental protection agency (USEPA) Swimmer Exposure Assessment Model (SWIMODEL). The lifetime time cancer risk values related to chloroform exceeded 10−6 for both the sub-population. Inhalation exposure leads to maximum risk and contributed up to 99% to total cancer risk. Risk due to other exposure pathways like accidental ingestion and skin contact was found to be negligible and insignificant. Monte Carlo simulation results revealed that the simulated THMs risk values for the studied exposure pathways lies within ±3.1% of the average risk values obtained using SWIMODEL. Hence, the risk estimates obtained using SWIMODEL seemed to be appropriate in determining the potential risk exposure of THMs on human health. Variation in input parameters like body weight (BW) and skin surface area (SA) leads to difference in risk estimates for the studied population. Non cancer risk was found to be insignificant as represented by low hazard quotient (HQ < 1) values. Through monitoring and regulations on control of THMs in swimming pool water is required to minimize the risk associated.

This is a preview of subscription content, access via your institution.

Fig. 1
Fig. 2
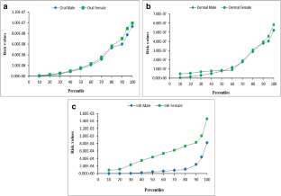
Fig. 3

References

  1. Abdullah A, Hussona SE. Predictive model for disinfection by-product in Alexandria drinking water, northern west of Egypt. Environ Sci Pollut Res. 2013;20(10):7152–66.

    CAS  Article  Google Scholar 

  2. Aggazzotti G, Fantuzzi G, Righi E, Predieri G. Environmental and biological monitoring of chloroform in indoor swimming pools. J Chromatogr A. 1995;710:181–90.

    CAS  Article  Google Scholar 

  3. APHA (American Public Health Association). Standard methods for the examination of water and wastewaters. 22nd ed. Washington, DC: APHA, AWWA, WEF; 2012.

    Google Scholar 

  4. Aschengrau A, Zierler S, Cohen A. Quality of community drinking water and the occurrence of late adverse pregnancy outcomes. Arch Environ Health. 1993;48(2):105–13.

    CAS  Article  Google Scholar 

  5. Bessonneau V, Derbez M, Clement M, Thomas O. Determinants of chlorination by-products in indoor swimming pools. Int J Hyg Environ Health. 2011;215(1):76–85.

    CAS  Google Scholar 

  6. Black VC. White's handbook of chlorination and alternative disinfectants. Hoboken: Wiley; 2010. p. 1–67.

    Google Scholar 

  7. Bond T, Goslan EH, Parsons SA, Jefferson B. A critical review of trihalomethane and haloacetic acid formation from natural organic matter surrogates. Environ Technol Rev. 2012;1(1):93–113.

    CAS  Article  Google Scholar 

  8. Bradford WL. What bathers put into a pool: a critical review of body fluids and a body fluid analog. Int J Aquatic Res Educ. 2014;8(2):168–81. https://doi.org/10.1123/ijare.2013-0028.

    Article  Google Scholar 

  9. Caro J, Gallego M. Assessment of exposure of workers and swimmers to trihalomethanes in an indoor swimming pool. Environ Sci Technol. 2007;41:4793–8.

    CAS  Article  Google Scholar 

  10. Carter RAA, Joll CA. Occurrence and formation of disinfection by-products in the swimming pool environment: a critical review. J Environ Sci. 2017;58:19–50. https://doi.org/10.1016/J.JES.2017.06.013.

    Article  Google Scholar 

  11. Cheema WA, Kaarsholm KMS, Andersen HR. Combined UV treatment and ozonation for the removal of by-product precursors in swimming pool water. Water Res. 2017;110:141–9. https://doi.org/10.1016/j.watres.2016.12.008.

    CAS  Article  Google Scholar 

  12. Chen M-J, Lin C-H, Duh J-M, Chou W-S, Hsu H-T. Development of multi-pathway probalistic health risk assessment model for swimmers exposed to chloroform in indoor swimming pools. J Hazard Mater. 2011;185:1037–44.

    CAS  Article  Google Scholar 

  13. Chowdhury S. Predicting human exposure and risk from chlorinated indoor swimming pool: a case study. Environ Monit Assess. 2015;187(8):502.

    Article  CAS  Google Scholar 

  14. Chowdhury S, Alhooshani K, Karanfil T. Disinfection byproducts in swimming pool: occurrences, implications and future needs. Water Res. 2014;53(0):68–109.

    CAS  Article  Google Scholar 

  15. Chu H, Nieuwenhuijsen MJ. Distribution and determinants of trihalomethane concentrations in indoor swimming pools. Occup Environ Med. 2002;59:243–7.

    CAS  Article  Google Scholar 

  16. Costet N, Villanueva CM, Jaakkola JJ, Kogevinas M, Cantor KP, King WD, et al. Water disinfection by-products and bladder cancer: is there a European specificity? A pooled and meta-analysis of European case-control studies. Occup Environ Med. 2011;68(5):379–85.

    CAS  Article  Google Scholar 

  17. Edzwald JK, Tobiason JE. Enhanced coagulation: US requirements and a broader view. Water Sci Technol. 1999;40(9):63–70.

    CAS  Article  Google Scholar 

  18. Florentin A, Hautemanière A, Hartemann P. Health effects of disinfection by-products in chlorinated swimming pools. Int J Hyg Enviorn Health. 2011;214:461–9.

    CAS  Article  Google Scholar 

  19. Font-Ribera L, Esplugues A, Ballester F, Martınez-Arguelles B, et al. Trihalometanos en el agua de piscinas en cuatro zonas de Espan˜a participantes en el proyecto INMA. Gac Sanit. 2010;24(6):483–6.

    Article  Google Scholar 

  20. Garcia-Villanova RJ, Garcia C, Gomez JA, Garcia MP, Ardanuy R. Formation, evolution and modeling of trihalomethanes in the drinking water of a town: I. At the municipal treatment utilities. Water Res. 1997;31:1299–308.

    Article  Google Scholar 

  21. Hang C, Zhang B, Gong T, Xian Q. Occurrence and health risk assessment of halogenated disinfection byproducts in indoor swimming pool water. Sci Total Environ. 2016;543:425–31.

    CAS  Article  Google Scholar 

  22. Ilyas H, Masih I, van der Hoek J. Disinfection methods for swimming pool water: byproduct formation and control. Water. 2018;10:797. https://doi.org/10.3390/w10060797.

    CAS  Article  Google Scholar 

  23. Indian Council of Medical Research. Nutrient requirements and recommended dietary allowances for Indians. A Report of the Expert Group of the Indian Council of Medical Research, Chapter-3. 2009. pp. 24.

  24. IRIS. Integrated Risk Information system. 2017. http://cfpub.epa.gov/ncea/iris/search/index.cfm?first_letter=C. Accessed 31 Aug 2019.

  25. Judd SJ, Black SH. Disinfection by-product formation in swimming pool waters: a simple mass balance. Water Res. 2000;34:1611–9.

    CAS  Article  Google Scholar 

  26. Judd SJ, Jeffrey JA. Trihalomethane formation during swimming pool water disinfection using hypobromous and hypochlorous acids. Water Res. 1995;29:1203–6.

    CAS  Article  Google Scholar 

  27. Khallef M, Liman R, Konuk M, Cigerci IH, Benouareth D, Tabet M, et al. Genotoxicity of drinking water disinfection by-products (bromoform and chloroform) by using both allium anaphase-telophase and comet tests. Cytotechnology. 2015;67:207–13.

    CAS  Article  Google Scholar 

  28. King WD, Marrett LD, Woolcott CG. Case-control study of colon and rectal cancers and chlorination by/products in treated water. Cancer Epidemiol Biomark Prev. 2000;9:813–8.

    CAS  Google Scholar 

  29. Klotz JB, Pyrch LA. Neural tube defects and drinking water disinfection by-products. Epidemiology. 1999;10(4):383–90.

    CAS  Article  Google Scholar 

  30. Kumari M, Gupta SK. Modelling of trihalomethanes in drinking water supplies-a case study of eastern region of India. Environ Sci Pollut Res. 2015;22:12615–23.

    CAS  Article  Google Scholar 

  31. Kumari M, Kumar A. Human health risk assessment of antibiotics in binary mixtures for finished drinking water. Chemosphere. 2020;240:124864.

    CAS  Article  Google Scholar 

  32. Kumari M, Gupta SK, Mishra BK. Multi-exposure cancer and non-cancer risk assessment of trihalomethanes in drinking water supplies – a case study of eastern region of India. Ecotox Environ Safe. 2015;113:433–8.

    CAS  Article  Google Scholar 

  33. Lahl U, Batjer K, Duszeln JV, Gabel B, Stachel B, Thiemann W. Distribution and balance of volatile halogenated hydrocarbons in the water and air of covered swimming pools using chlorine for water disinfection. Water Res. 1981;15(7):803–14.

    CAS  Article  Google Scholar 

  34. Lee J, Ha K-T, Zoh K-D. Characteristics of trihalomethanes (THMS) production and associated health risk assessment in swimming pool waters treated with different disinfection methods. Sci Total Environ. 2009;407:1990–7.

    CAS  Article  Google Scholar 

  35. Lourencetti C, Grimalt JO, Marco E, Fernandez P, Font-Ribera L, Villanueva CM, et al. Trihalomethanes in chlorine and bromine disinfected swimming pools: air-water distributions and human exposure. Environ Int. 2012;45:59–67.

    CAS  Article  Google Scholar 

  36. Manasfi T, Coulomb B, Boudenne J-L. Occurrence, origin, and toxicity of disinfection byproducts in chlorinated swimming pools: an overview. Int J Hyg Environ Health. 2017;220(3):591–603. https://doi.org/10.1016/j.ijheh.2017.01.005.

    CAS  Article  Google Scholar 

  37. Matilainen A, Vepsalainen M, Sillanpaa M. Natural organic matter removal by coagulation during drinking water treatment: a review. Adv Colloid Interf Sci. 2010;159:189–97.

    CAS  Article  Google Scholar 

  38. Pandics T, Hofer Á, Dura G, Vargha M, Szigeti T, Tóth E. Health risk of swimming pool disinfection by-products: a regulatory perspective. J Water Health. 2018;16(6):947–57. https://doi.org/10.2166/wh.2018.178.

    Article  Google Scholar 

  39. Panyakapo M, Soontornchai S, Paopuree P. Cancer risk assessment from exposure to trihalomethanes in tap water and swimming pool water. J Environ Sci (China). 2008;20:372–8.

    CAS  Article  Google Scholar 

  40. Peng D, Saravia F, Abbt-Braun G, Horn H. Occurrence and simulation of trihalomethanes in swimming pool water: a simple prediction method based on DOC and mass balance. Water Res. 2016;88:634–42.

    CAS  Article  Google Scholar 

  41. Powick PEJ. Swimming pools-brief outline of water treatment and management. Water Sci Technol. 1989;21(2):151–60.

    CAS  Article  Google Scholar 

  42. Reif JS, Hatch MC, Bracken M, Holmes LB, Schwetz BA, Singer PC. Reproductive and developmental effects of disinfection by-products in drinking water. Environ Health Perspect. 1996;104(10):1056–61.

    CAS  Article  Google Scholar 

  43. Richardson SD, DeMarini DM, Kogevinas M. What's in the pool? A comprehensive identification of disinfection byproducts and assessment of mutagenicity of chlorinated and brominated swimming pool water. Environ Health Perspect. 2010;118:1523–30.

    CAS  Article  Google Scholar 

  44. Sadiq R, Rodriguez MJ. Disinfection by-products (DBPs) in drinking water and predictive models for their occurrence: a review. Sci Total Environ. 2004;321(1–3):21–46.

    CAS  Article  Google Scholar 

  45. Simard S, Tardif R, Rodriguez MJ. Variability of chlorination by-product occurrence in water of indoor and outdoor swimming pools. Water Res. 2013;47:1763–72.

    CAS  Article  Google Scholar 

  46. Stayner LT, Pedersen M, Patelarou E, Decordier I, Vande LK, Chatzi L, et al. Exposure to brominated trihalomethanes in water during pregnancy and micronuclei frequency in maternal and cord blood lymphocytes. Environ Health Perspect. 2014;122:100–6.

    Article  CAS  Google Scholar 

  47. Tardif R, Rodriguez M, Catto C, Charest-Tardif G, Simard S. Concentrations of disinfection by products in swimming pool following modifications of the water treatment process: an exploratory study. J Environ Sci. 2017;58:163–72. https://doi.org/10.1016/j.jes.2017.05.021.

    Article  Google Scholar 

  48. Teo TLL, Coleman HM, Khan SJ. Chemical contaminants in swimming pools: occurrence, implications and control. Environ Int. 2015;76:16–31. https://doi.org/10.1016/j.envint.2014.11.012/.

    CAS  Article  Google Scholar 

  49. Thacker NP, Nitnaware V. Factors influencing formation of trihalomethanes in swimming pool water. Bull Environ Contam Toxicol. 2003;71:633–40.

    CAS  Article  Google Scholar 

  50. USEPA (1995) United States Environmental Protection Agency Method 551. Determination of chlorinated disinfection by-products and chlorinated solvents in drinking water by Liquid–liquid Extraction and Gas Chromatography with Electron-capture Detection. Environmental Monitoring Systems Laboratory, Office of Research and Development, Cincinnati, Ohio.

  51. USEPA (1999) United States Environmental Protection Agency A risk assessment–multiway exposure spreadsheet calculation tool. Washington, DC.

  52. USEPA (2003) United States Environmental Protection Agency, User's manual swimmer exposure assessment model (SWIMODEL) Version 3.0. U.S. EPA Office of Pesticide Programs Antimicrobials Division.

  53. USEPA (2005) United States Environmental Protection Agency Guidelines for carcinogen risk assessment, risk assessment forum, Washington, DC; EPA/630/P/03/001F.

  54. USEPA (2009) United States Environmental Protection Agency, National Primary Drinking Water Regulations. United States Environmental Protection Agency (Accessed: 31 June 2019) EPA816-F-09-004. http://water.epa.gov/drink/contaminants/upload/mcl-2.pdf.

  55. USEPA. United States Environmental Protection Agency, Edition of the Drinking Water Standards and Health Advisories. Washington, DC: Office of Water U.S. EPA; 2011.

    Google Scholar 

  56. Uyak V, Ozdemir K, Toroz I. Multiple linear regression modeling of disinfection by-products formation in Istanbul drinking water reservoirs. Sci Total Environ. 2007;378:269–80.

    CAS  Article  Google Scholar 

  57. Veldhoven KV, Keski-Rahkonen P, Barupal DK, Villanueva CM, Font-Ribera L, et al. Effects of exposure to water disinfection by-products in a swimming pool: a metabolome-wide association study. Environ Int. 2018;111:60–70.

    Article  CAS  Google Scholar 

  58. Viana RB, Cavalcante RM, Braga FMG. Risk assessment of trihalomethanes from tap water in Fortaleza Brazil. Environ Monit Assess. 2009;151(1–4):317–25.

    CAS  Article  Google Scholar 

  59. Villanueva CM, Font-Ribera L. Health impact of disinfection by-products in swimming pools. Ann Ist Super Sanita. 2012;48:387–96.

    Article  Google Scholar 

  60. Villanueva CM, Cordier S, Font-Ribera L, Salas LA, Levallois P. Overview of disinfection by-products and associated health effects. Curr Environ Health Rep. 2015;2:107–15.

    CAS  Article  Google Scholar 

  61. Wang S, Zheng W, Liu X, Xue P, Jiang S, Lu D, et al. Iodoacetic acid activates Nrf2-mediated antioxidant response in vitro and in vivo. Environ Sci Technol. 2014;48:13478–88.

    CAS  Article  Google Scholar 

  62. WHO. Guidelines for safe recreational water environments. Volume 2: swimming pools and similar environments. Chapter 4. Geneva: WHO; 2006.

  63. WHO. World Health Organization, guidelines for drinking-water quality, 4th edn. Geneva: WHO; 2011. pp 427–30.

  64. WHO. World Health Organization, World health statistics. 2013. http://www.who.int/gho/publications/world_health_statistics/EN_WHS2013_Full.pdf. Accessed 15 Aug 2019.

  65. Wyczarska-Kokot J. The problem of chloramines in swimming pool water technological research experience. Desalin Water Treat. 2018;134:7–14. https://doi.org/10.5004/dwt.2018.22455.

    CAS  Article  Google Scholar 

  66. Zwiener C, Richardson SD, De Marini DM, Grummt T, Glauner T, Frimmel FH. Drowning in disinfection byproducts? Assessing swimming pool water. Environ Sci Technol. 2007;41:363–37.

    CAS  Article  Google Scholar 

Download references

Acknowledgments

The authors would like to thank the Department of Environmental Science and Engineering, Indian Institute of Technology (Indian School of Mines) Dhanbad, India, for providing research facilities and all necessary support required for this study.

Author information

Affiliations

Authors

Corresponding author

Correspondence to Minashree Kumari.

Ethics declarations

Conflict of interest

The authors confirm that there exists no conflict of interest.

Additional information

Publisher’s note

Springer Nature remains neutral with regard to jurisdictional claims in published maps and institutional affiliations.

Rights and permissions

Reprints and Permissions

About this article

Verify currency and authenticity via CrossMark

Cite this article

Anchal, P., Kumari, M. & Gupta, S.K. Human health risk estimation and predictive modeling of halogenated disinfection by- products (chloroform) in swimming pool waters: a case study of Dhanbad, Jharkhand, India. J Environ Health Sci Engineer 18, 1595–1605 (2020). https://doi.org/10.1007/s40201-020-00578-6

Download citation

  • Received:

  • Accepted:

  • Published:

  • Issue Date:

  • DOI: https://doi.org/10.1007/s40201-020-00578-6

Keywords

  • Swimming pool
  • Chloroform
  • Predictive models
  • Risk exposure
  • Hazard quotient