Skip to main content

Clinical Diagnostic Study of a Novel Injection Molded Swab for SARS-Cov-2 Testing

Abstract

Introduction

The gold standard for COVID-19 diagnosis is currently a real-time reverse transcriptase polymerase chain reaction (RT-PCR) to detect SARS-CoV-2. This is most commonly performed on respiratory secretions obtained via a nasopharyngeal swab. Due to supply chain limitations and high demand worldwide because of the COVID-19 pandemic, access to commercial nasopharyngeal swabs has not been assured. 3D printing methods have been used to meet the shortfall. For longer-term considerations, 3D printing may not compare well with injection molding as a production method due to the challenging scalability and greater production costs of 3D printing.

Methods

To secure sufficient nasopharyngeal swab availability for our national healthcare system, we designed a novel injection molded nasopharyngeal swab (the IM2 swab). We performed a clinical diagnostic study comparing the IM2 swab to the Copan FLOQSwab. Forty patients with a known diagnosis of COVID-19 and 10 healthy controls were recruited. Paired nasopharyngeal swabs were obtained from the same nostril of each participant and tested for SARS-CoV-2 by RT-PCR.

Results

When compared to the Copan FLOQswab, results from the IM2 swab displayed excellent overall agreement and positive percent agreement of 96.0% and 94.9%, respectively. There was no significant difference in mean RT-PCR cycle threshold values for the ORF1ab (28.05 vs. 28.03, p = 0.97) and E-gene (29.72 vs. 29.37, p = 0.64) targets, respectively. We did not observe any significant adverse events and there was no significant difference in patient-reported pain.

Conclusion

In summary, the IM2 nasopharyngeal swab is a clinically safe, highly accurate option to commercial nasopharyngeal swabs.

FormalPara Key Summary Points
Why carry out this study?
There is a shortage of nasopharyngeal swabs required for SARS-CoV-2 testing.
Alternatives to commercial swab manufacturing such as 3D printing and injection mold production are urgently needed.
Injection mold production is an alternative which can scale-up production rapidly at a relatively low cost. We asked if nasopharyngeal swabs produced via injection mold manufacturing are safe and diagnostically accurate when compared to a commercial nasopharyngeal swab.
What was learned from this study?
By injection molding, we were able to design and produce a nasopharyngeal swab which is clinically accurate, safe, and acceptable to patients when compared to a commercial swab.

Digital Features

This article is published with digital features, including a summary slide, to facilitate understanding of the article. To view digital features for this article go to https://doi.org/10.6084/m9.figshare.13353311.

Introduction

Since its emergence in December 2019, COVID-19 has ravaged the globe at an alarming rate, infecting 63 million worldwide and causing more than 1.4 million deaths [1]. Testing requirements are increasing worldwide as part of early detection and surveillance strategies, particularly as many countries experience second waves of infection and deaths [2, 3]. Active case finding by testing asymptomatic individuals, including high-risk frontline workers, has been shown to be useful to identify hidden reservoirs of disease in the community [4].

The goal to scale-up testing has unfortunately been hampered by shortages in materials, including PCR reagents and diagnostic nasopharyngeal swabs [5, 6]. To address the shortage of nasopharyngeal swabs, 3D-printing of polymer swabs has been used as a strategy [7,8,9,10], with the Veterans Health Administration leading efforts to evaluate their safety and functionality [11]. However, the widespread adoption of 3D-printed swabs is limited by the scalability of production and ongoing costs of printing. To overcome these limitations, our multi-disciplinary team (comprising otolaryngologists, infectious disease physicians, and bioengineers), designed and tested a novel nasopharyngeal swab (the IM2 swab) produced by injection-molding, which allows for high-throughput production at a fraction of the cost of current swabs.

We aimed to evaluate the performance of the IM2 swab in comparison with a traditional nasopharyngeal swab in accurately detecting SARS-CoV-2 in the clinical setting.

Methods

The IM2 swab is made of biocompatible nylon and comprises a tip with blades extending parallel to its longitudinal axis (Fig. 1a, b). When rotated, the perpendicular motion of these edges allows for the scraping and collection of cellular material from the nasopharynx. The academic team engaged a commercial company experienced in injection mold production to produce the IM2 swab. Prior to the clinical diagnostic study, IM2 swabs were individually wrapped and sterilized with ethylene oxide. Swabs were also subject to post-sterilization mechanical testing by an independent testing facility (TÜV SÜD PSB, Singapore) for tensile and flexural strength in accordance with international standards (ISO 527-1:2012 Plastics—Determination of Tensile Properties and ISO 178:2010 Plastics—Determination of Flexural Properties).

Fig. 1
figure 1

Clinical performance of the IM2 swab compared to the FLOQSwab. a Overview and approximate dimensions. b High-resolution photo of the swab tip. ce Categorical results of COVID-19 testing in 40 COVID-19 cases and 10 controls, for c combined ORF1ab and E-gene testing, d ORF1ab target only, and e E-gene target only. f Participants’ perception of comfort on paired swab testing in the same nostril. g Pain score for the FLOQSwab and IM2 swab, with the median represented by the horizontal red line

From June 25 to August 3, 2020, we performed a diagnostic study to evaluate the performance, safety, and acceptability of the IM2 swab when compared to the Copan FLOQSwab (#22052; Becton, Dickinson, MD, USA). The FLOQSwab is the standard-of-care swab used for SARS-CoV-2 testing in our institution and meets World Health Organization guidance for laboratory testing [12]. The study was approved by the Institutional Review Board of the National Healthcare Group, Singapore (Approval number: DSRB 2020/00464) and all participants were recruited with informed consent.

Forty confirmed COVID-19 cases in the first 2 weeks of illness and 10 healthy controls were recruited. Paired nasopharyngeal swabs (i.e., one IM2 swab and one FLOQswab) were consecutively obtained from the same nostril of each participant. Immediately after collection, each swab was placed into 3 ml of BD Universal Viral Transport media (#220527, Becton, Dickinson). The same type of media was used for all swabs. Subjects were assigned “odd” or “even” case numbers, according to the order in which they were enrolled. Participants assigned an “odd” case number received the IM2 swab first, followed by the FLOQSwab, while the reverse was true for participants assigned an “even” case number. The samples were tested for SARS-CoV-2 by RT-PCR on the Roche cobas® platform at the hospital clinical laboratory. The detection of ORF1ab gene target with or without the E-gene target was interpreted as a positive result. Samples positive for the E-gene only were considered to be presumptively positive. For the latter, repeat RT-PCR of the same sample for both the ORF1ab and E-gene targets was performed; however, only the original test result was used for the evaluation of the swab’s performance.

This study was approved by the National Healthcare Group Domain Specific Review Board (NHG DSRB Ref: 2020/00464). This study was performed in accordance with the Helsinki Declaration of 1964, and its later amendments. All subjects provided informed consent to participate in this study.

Results

Based on the results of independent mechanical testing, the IM2 was able to support an average tensile force of 65 N and an average flexural maximum load of 0.17 N before breaking. This was comparable to the FLOQSwab (average tensile force 19 N, average flexural maximum load 0.2 N), which we had earlier tested at the same center. On torsional testing, the IM2 swab was able to tolerate an average of 22 turns (7920°) on itself before breaking.

The IM2 swab showed excellent overall agreement (OA) and positive percent agreement (PPA) of 96.0% and 94.9%, respectively when compared to the FLOQSwab (Fig. 1c–e). The median day of illness for COVID-19 cases was 7 (range 2–14 days). None of the swabs from the 10 control participants tested positive. In terms of comfort, 28 participants felt no difference between the swabs, 15 felt that the FLOQSwab was more comfortable, while 7 felt that the IM2 swab was more comfortable (Fig. 1f, g). The median pain score was 3 for both swabs, with no significant statistical difference observed (p = 0.12, Wilcoxon’s signed rank test). One episode of nausea was noted after administration of the IM2 swab and one episode of blood-stained mucous after the FLOQSwab. There were no serious adverse events, such as frank epistaxis or swab breakage, observed in this study.

We did not observe any statistically significant difference in mean Ct values for the IM2 swab when compared to the FLOQSwab for the ORF1ab (28.05 ± 4.54 vs. 28.03 ± 3.99, p = 0.97) and E-gene (29.72 ± 5.66 vs. 29.37 ± 5.01, p = 0.64), respectively.

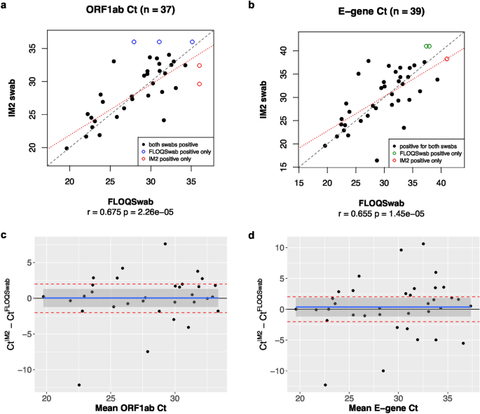
There were two discordant cases that had an overall positive result on the FLOQSwab but not on the IM2 swab (Fig. 1c). These two cases were considered presumptively positive, as they were positive for the E-gene target only, at very high cycle threshold (Ct) values of 37.39 and 37.91 (Fig. 2b). Repeat testing of the same samples yielded a negative result for both the ORF1ab and E-gene targets, suggesting that these are equivocal cases at the limit of detection of the test assay.

Fig. 2
figure 2

Comparison of Ct values between the IM2 swab and FLOQSwab. a, b Correlation of Ct values between the IM2 swab and the FLOQSwab for the ORF1ab and E-gene targets on RT-PCR. Red line represents line of best fit (linear model). Open circles represent test-positive cases that were identified on only one of both swabs. In such cases, the negative sample was assigned a Ct value corresponding to the limit of detection for the purpose of illustration only. c, d Bland–Altman plots for the comparison of Ct values between paired positive swabs for the ORF1ab and E-gene targets. The horizontal axis shows the mean Ct value for each pair of swabs, while the vertical axis shows the difference in Ct value between the swabs (Ct value for IM2 swab, Ct value for FLOQSwab). The dotted red lines represent the limits of − 2 and + 2 Ct values. The mean difference in Ct value is represented by the blue bar and the shaded area represents the boundaries of the 95% confidence interval

We did not observe an increase in presumptive positive results when using the IM2 swabs. A total of four FLOQSwabs and three IM2 swabs were deemed to be presumptively positive. The Ct values for the E-gene in these instances were high (range 36.29–39.34). Repeat RT-PCR testing of these samples yielded a negative result in 2 of 4 FLOQSwabs and in 1 of 3 IM2 swabs, suggesting that these are samples with low viral loads at the limit of detection.

Bland–Altman plots showed that there was no significant difference in Ct values for the IM2 swab when compared to the FLOQSwab for the ORF1ab [mean difference = 0.024, p = 0.97, 95% CI (− 1.23, 1.28)] and E-gene targets [mean difference = 0.349, p = 0.64, 95% CI (− 1.16, 1.86)] (Fig. 2c, d). Equivalence testing by two one-sided tests of means [13] confirmed that the performance of the IM2 swab was equivalent to the FLOQSwab for both the ORF1ab and E-gene targets, within the limits of 2 Ct values (p = 0.0015 and 0.017, respectively, α = 0.05).

After each encounter, information was also collected from clinicians about the maneuverability of the swab. There were 5 instances, out of 50 paired swabs, where the administering clinician felt increased difficulty in accessing the same location of the nasopharynx with the IM2 swab compared to the FLOQSwab. Specifically, this was due to the over-flexibility of the IM2 swab, which may be addressed by increasing the density of the injected material in subsequent prototypes. None of these instances demonstrated discordant results between the IM2 and FLOQSwab.

Discussion

Injection molding is an inexpensive manufacturing process used for producing everyday items at high volume, including bottle caps and plumbing pipes. Here, we show that an injection molded swab is highly accurate in detecting SARS-CoV-2 when compared to a standard-of-care flocked swab. There were no significant adverse events associated with the use of the injection molded swab. While there was no difference in pain score, there appeared to be a preference for the flocked swab in terms of comfort, suggesting that refinements to the injection molded swab may be helpful to improve comfort. Important to the pandemic setting, swabs produced by injection molding can be generated at a much lower cost and provided to the frontline more rapidly (several million a month), presenting a more efficient solution to facilitate large-scale testing.

As the scale of testing worldwide continues to increase as the COVID-19 pandemic escalates, novel methods of production for each of the test components are needed to mitigate the increased costs. Acquisition costs for diagnostic nasopharyngeal swabs are influenced by the cost of raw materials, wages, demand, competition and start-up costs. At the time of this writing, the IM2’s cost in Singapore is less than half that of the commercial swab.

Our study design included COVID-19 cases up to 14 days of illness and thus allowed us to demonstrate the swab’s consistent performance across a wide spectrum of viral loads. We also randomized the sequence of swabs for each subject to avoid any sequential bias in the pick-up of material for testing. A potential limitation faced during the study was the definition of a suitable Ct value difference to determine non-inferiority. As the widespread adoption of RT-PCR from nasopharyngeal swabs is a new development with the onset of COVID-19, we were unable to find clear guidance in the literature to define a non-inferiority threshold. Based on the confidence intervals demonstrated in this study (Fig. 2c, d), the IM2 swab’s performance is equivalent to the FLOQSwab within the limit of 2 Ct values. We hope that this information will be useful to guide future studies of a similar nature.

Conclusion

The IM2 swab is safe and highly accurate for COVID-19 testing when compared to the traditional flocked swab. Injection molded manufacturing has the potential to reduce the cost and increase the scalability of nasopharyngeal swab production.

References

  1. Dong E, Du H, Gardner L. An interactive web-based dashboard to track COVID-19 in real time. Lancet Infect Dis. 2020;20(5):533–4.

    CAS  Article  Google Scholar 

  2. Offline HR. The second wave. Lancet. 2020;395(10242):1960.

    Article  Google Scholar 

  3. Team C-NIRS. COVID-19, Australia: Epidemiology Report 20 (Fortnightly reporting period ending 5 July 2020). Commun Dis Intell (2018). 2020;44:1–34.

  4. Baker MG, Peckham TK, Seixas NS. Estimating the burden of United States workers exposed to infection or disease: a key factor in containing risk of COVID-19 infection. PLoS ONE. 2020;15(4):e0232452.

    CAS  Article  Google Scholar 

  5. Vermeiren C, Marchand-Senécal X, Sheldrake E, et al. Comparison of Copan ESwab and FLOQSwab for COVID-19 Diagnosis: Working around a Supply Shortage. J Clin Microbiol. 2020;58(6):e00669-e01620.

    Article  Google Scholar 

  6. Pere H, Podglajen I, Wack M, et al. Nasal swab sampling for SARS-CoV-2: a convenient alternative in times of nasopharyngeal swab shortage. J Clin Microbiol. 2020;58(6):e00721–20.

    Article  Google Scholar 

  7. Callahan CJ, Lee R, Zulauf KE, et al. Open development and clinical validation of multiple 3D-printed nasopharyngeal collection swabs: rapid resolution of a critical COVID-19 testing bottleneck. J Clin Microbiol. 2020;58(8):e00876-e01820.

    CAS  Article  Google Scholar 

  8. Cox JL, Koepsell SA. 3D-printing to address COVID-19 testing supply shortages. Lab Med. 2020;51(4):e45–6.

    Article  Google Scholar 

  9. Tay JK, Cross GB, Lee CK, et al. Design and clinical validation of a 3D-printed nasopharyngeal swab for COVID-19 testing. medRxiv. 2020:2020.2006.2018.20134791.

  10. Decker SJ, Goldstein TA, Ford JM, et al. 3D Printed Alternative to the Standard Synthetic Flocked Nasopharyngeal Swabs Used for COVID-19 testing. Clin Infect Dis. 2020. https://doi.org/10.1093/cid/ciaa1366

  11. NIH 3D Print Exchange. COVID-19 Supply Chain Response: Swab Design and Testing Protocol. Published 2020. https://www.3dprint.nih.gov/collections/covid-19-response/nasal-swabs/protocols. Accessed 30 Aug 2020.

  12. World Health Organization. Laboratory testing for coronavirus disease (COVID-19) in suspected human cases. Published 2020. https://www.apps.who.int/iris/handle/10665/331329. Accessed 30 Nov 2020.

  13. Lakens D. Equivalence tests: a practical primer for t tests, correlations, and meta-analyses. Soc Psychol Personal Sci. 2017;8(4):355–62.

    Article  Google Scholar 

Download references

Acknowledgements

We thank the participants of the study and members of the injection mold manufacturing community in Singapore for their support in the fabrication of swabs. We thank the Meiban Group for kindly providing the photos of the swab in Fig. 1.

Funding

This study was supported by the National University of Singapore, and in part by the National Medical Research Council, Singapore (Grant: NMRC/CIRG18nov-0045). The funding sources were not involved in the, data collection, analysis or interpretation, or any aspect pertinent to the conclusions of the study. The journal’s rapid service fee was funded by the National University of Singapore.

Authorship

All named authors meet the International Committee of Medical Journal Editors (ICMJE) criteria for authorship for this article, take responsibility for the integrity of the work as a whole, and have given their approval for this version to be published.

Authorship Contributions

JT, GBC, DMA: conceptualization of study, design of clinical study, recruitment of participants, collection of data, analysis of the clinical data, drafting of the manuscript. LS, JC, JL, ZYL, NN, KWP, SY, HLG, CHS, WSL, KSL: design of clinical study, recruitment of participants, collection of data, revision of the manuscript. AC, VTKC: swab design and ex-vivo testing, revision of the manuscript. CKL, BY: clinical laboratory experiments, drafting of the manuscript. DYW, FB: conceptualization of study, swab design and ex-vivo testing, revision of the manuscript. JELW: conceptualization of study, overall oversight of the study, revision of the manuscript.

Disclosures

The National University of Singapore is in the process of licensing out fabrication of nasopharyngeal swabs to commercial entities, based on the IM2 swab described here and has filed for patent protection, together with Alfred Chia and Freddy Boey. All clinical aspects of the study (clinical testing, analysis and interpretation) were performed independently from the swab design team, including Alfred Chia and Freddy Boey. Joshua K Tay, Gail B Cross, Louisa Sun, Alfred Chia, Jeremy Chee, Jerold Loh, Zhen Yu Lim, Nicholas Ngiam, Khang Wen Pang, Stephanie Yeap, Han Lee Goh, Chor Hiang Siow, Woei Shyang Loh, Kwok Seng Loh, Chun Kiat Lee, Benedict Yan, Vincent TK Chow, De Yun Wang, Freddy Boey, John EL Wong, and David M Allen have nothing to disclose.

Compliance with Ethics Guidelines

This study was approved by the National Healthcare Group Domain Specific Review Board (NHG DSRB Ref: 2020/00464). This study was performed in accordance with the Helsinki Declaration of 1964, and its later amendments. All subjects provided informed consent to participate in this study.

Data Availability

All clinical data generated during this study are included in this published article as a supplementary information file.

Author information

Affiliations

Authors

Corresponding author

Correspondence to David M. Allen.

Supplementary Information

Below is the link to the electronic supplementary material.

Supplementary file1 (XLSX 15 KB)

Rights and permissions

Open Access This article is licensed under a Creative Commons Attribution-NonCommercial 4.0 International License, which permits any non-commercial use, sharing, adaptation, distribution and reproduction in any medium or format, as long as you give appropriate credit to the original author(s) and the source, provide a link to the Creative Commons licence, and indicate if changes were made. The images or other third party material in this article are included in the article's Creative Commons licence, unless indicated otherwise in a credit line to the material. If material is not included in the article's Creative Commons licence and your intended use is not permitted by statutory regulation or exceeds the permitted use, you will need to obtain permission directly from the copyright holder. To view a copy of this licence, visit http://creativecommons.org/licenses/by-nc/4.0/.

Reprints and Permissions

About this article

Verify currency and authenticity via CrossMark

Cite this article

Tay, J.K., Cross, G.B., Sun, L. et al. Clinical Diagnostic Study of a Novel Injection Molded Swab for SARS-Cov-2 Testing. Infect Dis Ther 10, 1015–1022 (2021). https://doi.org/10.1007/s40121-020-00391-6

Download citation

  • Received:

  • Accepted:

  • Published:

  • Issue Date:

  • DOI: https://doi.org/10.1007/s40121-020-00391-6

Keywords

  • COVID-19
  • Injection mold
  • Nasopharyngeal swab
  • RT-PCR
  • SARS-CoV-2
  • 3D printing