Abstract
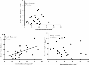
It is vital to screen the germplasm of crop plants for salt stress tolerance so as to utilize them in breeding programs. Accordingly, in the present study, twenty diverse inbred lines, parents of mapping populations of pearl millet were chosen to determine the phenotypic contrasts for seed yield, which can open the way for developing salt tolerance QTLs. Parents were grown in two summer seasons (late and early) with VPD ≥ 2 kPa, and one rainy season with VPD < 2 kPa, during flowering and grain filling under saline (150 and 200 mM) and non-saline (0 mM) conditions. Salinity delayed flowering time by a fortnight in the summer seasons but only 5–6 days in the low VPD rainy season. Salinity decreased grain yield by 86% in late-summer and 80% in early-summer, but less than 70% in rainy season. GY penalty was higher than vegetative biomass under saline conditions especially in summer season when the evaporative demand was very high. It appears that reproduction and grain filling are sensitive to high temperature that can compound the effect of salinity and high VPD. GY of inbreds under salinity was not better in comparison with non-saline conditions. DOF and grain density (thousand grain weight) were found as important correlated traits under salinity. Also, GY was affected significantly if VPD increased during flowering time.
This is a preview of subscription content, access via your institution.


Abbreviations
- DAS:
-
Days after sowing
- DOF:
-
Days of flowering
- TGW:
-
Thousand grain weight
- GY:
-
Grain yield
- PW:
-
Panicle weight
- QTL:
-
Quantitative trait loci
- VPD:
-
Vapor pressure deficit
- h 2 :
-
Broad sense heritability
References
Rengasamy P (2002) World salinization with emphasis in Australia. J Exp Bot 57:1017–1023
Maas EV (1993) Testing crops for salinity tolerance. In: Maranville JW, Baligar BV, Duncan RR, Yohe JM (eds) Proceedings of workshop on adaptation of plants to soil stresses, 1–4 August 1993. INTSORMIL. Pub. No. 94-2, University of Nebraska, Lincoln, NE, pp 234–247
Pushpavalli R, Krishnamurthy L, Thudi M, Gaur PM, Rao MV, Siddique KHM, Colmer TD, Turner NC, Varshney RK, Vadez V (2015) Two key genomic regions harbour QTLs for salinity tolerance in ICCV 2 × JG 11 derived chickpea (Cicer arietinum L.) recombinant inbred lines. BMC Plant Biol 15:124–138
Lang NT, Buu BC, Ismail A (2008) Molecular mapping and marker-assisted selection for salt tolerance in rice (Oryza sativa L.). Omonrice 16:50–56
Subba Rao MV, Kusuma Kumari P, Manga V, Sarada Mani N (2007) Molecular markers for screening salinity response in sorghum. Indian J Biotechnol 6:271–273
Vadez V, Krishnamurthy L, Serraj R, Gaur PM, Upadhyaya HD, Hoisington DA, Varshney RK, Turner NC, Siddique KHM (2007) Large variation in salinity tolerance in chickpea is explained by differences in sensitivity at the reproductive stage. Field Crops Res 104:123–129
Vadez V, Krishnamurthy L, Thudi M, Anuradha C, Colmer TD, Turner NC, Siddique KHM, Gaur PM, Varshney RK (2012) Assessment of ICCV 2 × JG 62 chickpea progenies shows sensitivity of reproduction to salt stress and reveals QTL for seed yield and yield components. Mol Breed 30:9–21
Gholipoor M, Choudhary S, Sinclair TR, Messina Carlos D, Cooper M (2013) Transpiration response of maize hybrids to atmospheric vapor pressure deficit. J Crop Sci Agron 199:155–160
Gholipoor M, Prasad PVV, Mutava RN, Sinclair TR (2010) Genetic variability of transpiration response to vapor pressure deficit among sorghum genotypes. Field Crops Res 119:85–90
Kholova J, Hash CT, Lava Kumar P, Yadav RS, Kocova M, Vadez V (2010) Terminal drought-tolerant pearl millet [Pennisetum glaucum (L.) R. Br.] have high leaf ABA and limit transpiration at high vapour pressure deficit. J Exp Bot 61:1431–1440
Burton GW (1981) Registration of pearl millet inbreds Tift 23DBE, Tift 23DAE and Tift 756 (PL 9 to PL 11). Crop Sci 21:317–318
Hash CT, Witcombe JR (1994) Pearl millet mapping populations at ICRISAT. In: Witcombe JR, Duncan RR (eds) Use of molecular markers in sorghum and pearl millet breeding for developing countries. Proceedings of an ODA Plant Sciences Research Programme Conference, 29th March–1st April 1993, Norwich, UK. Overseas Development Administration, London, UK, pp 69–75
Talukdar BS, Prakash Babu PP, Rao AM, Ramakrishna C, Witcombe JR, King SB, Hash CT (1998) Registration of ICMP 85410: dwarf, downy mildew resistant, restorer parental line of pearl millet. Crop Sci 38:904–905
Burton GW (1969) Registration of pearl millet inbreds Tift 23B1, Tift 23A1, Tift 23DB1 and Tift 23BA1 (Reg. Nos. PL 1, PL 2, PL 3 and PL 4). Crop Sci 9:397
Singh SD, Wilson J.P, Navi SS, Talukdar BS, Hess DE, Reddy KN (1997) Screening techniques and sources of resistance to downy mildew and rust of pearl millet. Information Bulletin No 48. International Crops Research Institute for the Semi-Arid Tropics (ICRISAT), Patancheru, Andhra Pradesh, India
Anand Kumar K, Rai KN, Andrews DJ, Talukdar BS, Singh SD, Rao AS, Babu PP, Reddy BP (1995) Registration of ICMP 451 parental line of pearl millet. Crop Sci 35:605
Kolesnikova-Allen MA (2001) Mapping new quantitative trait loci (QTL) for downy mildew resistance in pearl millet (Ph.D. dissertation). University of Moscow, Moscow, Russia, 266 pp
Appadurai R, Raveendran TS, Nagarajan C (1982) A new male-sterility system in pearl millet. Indian J Agric Sci 52:832–834
Yadav RS, Hash CT, Bidinger FR, Devos KM, Howarth CJ (2004) Genomic regions associated with grain yield and aspects of post-flowering drought tolerance in pearl millet across stress environments and tester background. Euphytica 136:265–277
Appa Rao S, Mengesha MH, Reddy CR (1986) New sources of dwarfing genes in pearl millet (Pennisetum americanum). Theor Appl Genet 73:170–174
Burton GW (1977) Registration of Gahi 3 pearl millet (Reg. No. 40). Crop Sci 17:345–346
Burton GW (1980) Registration of pearl millet inbred Tift 383 and Tifleaf 1 pearl millet (Reg. PL 8 and Reg. No. 60). Crop Sci 20:293
Fussell LK, Pearson CJ, Norman MJT (1979) Effect of temperature during various growth stages on grain development and yield of Pennisetum americanum. J Exp Bot 31:621–633
Norman MJT, Pearson CJ, Searle PGE (1995) The ecology of tropical food crops. Cambridge University Press, Cambridge, pp 164–184
Rao SA, McNeilly T (1999) Genetic basis of variation for salt tolerance in maize (Zea mays L.). Euphytica 108:145–150
Akbar M, Yabuno T, Nakao S (1972) Breeding for saline resistant varieties of rice: I. Variability for salt tolerance in some rice varieties. Jpn J Breed 22:277–284
Lakshmana D, Biradar BD, Ravi Kumar RL (2009) Genetic variability studies for quantitative traits in a pool of restorers and maintainers lines of pearl millet (Pennisetum glaucum L.). Karnataka J Agric Sci 22:881–882
Beggi F, Falalou H, Buerkert A, Vadez V (2015) Tolerant pearl millet (Pennisetum glaucum (L.) R. Br.) varieties to low soil P have higher transpiration efficiency and lower flowering delay than sensitive ones. Plant Soil 389:89–108
Dewey PR (1962) Breeding crested wheatgrass for salt tolerance. Crop Sci 2:403–407
Flowers TJ (2004) Improving crop salt tolerance. J Exp Bot 55:307–331
Acknowledgements
The authors acknowledge the partial funding support from the Organization of the Petroleum Exporting Countries (OPEC) Fund. PBK is thankful to the Council of Scientific and Industrial Research, New Delhi, for awarding Emeritus Fellowship.
Author information
Authors and Affiliations
Corresponding author
Ethics declarations
Conflict of interest
The authors declare no conflict of interest for publication of this manuscript.
Additional information
Significance statement The phenotypic trait information generated in parental pairs with varying saline doses and evaporative conditions would open the possibility to map salt tolerance QTLs in pearl millet.
Electronic supplementary material
Below is the link to the electronic supplementary material.
Rights and permissions
About this article
Cite this article
Choudhary, S., Vadez, V., Tom Hash, C. et al. Pearl Millet Mapping Population Parents: Performance and Selection Under Salt Stress Across Environments Varying in Evaporative Demand. Proc. Natl. Acad. Sci., India, Sect. B Biol. Sci. 89, 201–211 (2019). https://doi.org/10.1007/s40011-017-0933-1
Received:
Revised:
Accepted:
Published:
Issue Date:
DOI: https://doi.org/10.1007/s40011-017-0933-1
Keywords
- Salt stress
- Vapor pressure deficit
- Pearl millet
- Mapping population inbred parents