Abstract
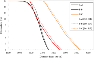
This study analyzes the impacts of 1 m gradual and instantaneous sea level rise combined with pumping activity on seawater wedge toe location in a shallow coastal aquifer located in the southern shores of the Caspian Sea. The gradual sea level rise scenario investigates the transition variation of seawater wedge toe due to linear and parabolic between the years 2015 and 2100. Moreover, the maximum value of saltwater intrusion due to variations in hydraulic conductivity and aquifer’s recharge rates is analyzed and compared with flux-controlled and head-controlled boundary condition systems. A tree model is also applied to develop a linear regression between the sea level rise and aquifer parameters derived from different real coastal aquifers in the literature. The results indicate that 1 m gradual sea level rise in the study area by the end of the year 2100 considering all 1320 pumping wells leads to a 6.5% depletion of freshwater volume. The results also show that the peak saltwater intrusion rate during nonlinear gradual sea level rise rises with increasing the aquifer depth and horizontal hydraulic conductivity and the time to reach the saltwater intrusion peak rate considering the current recharge rate of an aquifer is about 48 m. The maximum saltwater intrusion lengths estimated by the tree model are 48 m and 10.42 m for head-controlled and flux-controlled boundary conditions, respectively, indicating that the saltwater intrusion in the aquifer due to instantaneous seal level rise is closer to head-controlled boundary conditions.
This is a preview of subscription content, access via your institution.











References
Abd-Elhamid HF, Javadi AA (2011) Impact of sea level rise and over-pumping on seawater intrusion in coastal aquifers. J Water Clim Change 1:19–28. https://doi.org/10.2166/wcc.2011.053
Abd-Elhamid H, Javadi A, Abdelaty I, Sherif M (2016) Simulation of seawater intrusion in the Nile Delta aquifer under the conditions of climate change. Hydrol Res 47(6):1198–1210
Abd-Elhamid H, Abdelaty I, Sherif M (2019) Evaluation of potential impact of Grand Ethiopian Renaissance Dam on seawater intrusion in the Nile Delta aquifer. Int J Environ Sci Technol 16(5):2321–2332
Anderson F, Al-Thani N (2016) Effect of sea level rise and groundwater withdrawal on seawater intrusion in the Gulf Coast aquifer: implications for agriculture. J Geosci Czech 4(04):116
Brunner P, Simmons CT (2012) HydroGeoSphere: a fully integrated, physically based hydrological model. Groundwater 50(2):170–176
Carretero S, Rapaglia J, Bokuniewicz H, Kruse E (2013) Impact of sea-level rise on saltwater intrusion length into the coastal aquifer, Partido de La Costa, Argentina. Cont Shelf Res 61:62–70
Chang SW, Clement TP, Simpson MJ, Lee KK (2011) Does sea-level rise have an impact on saltwater intrusion? Adv Water Resour 34:1283–1291. https://doi.org/10.1016/j.advwatres.2011.06.006
Chesnaux R (2016) Closed-form analytical solutions for assessing the consequences of sea-level rise on unconfined sloping island aquifers. Global Planet Change 139:109–115
Colombani N, Osti A, Volta G, Mastrocicco M (2016) Impact of climate change on salinization of coastal water resources. Water Resour Manag 30(7):2483–2496
Diersch HJG (2005) FEFLOW software—finite element subsurface flow and transport simulation system—reference manual. WAS GmbH, Berlin
Fatemi E, Ataie-Ashtiani B (2008) Simulation of seawater intrusion effect on contaminant transport in coastal aquifer of Tallar. In: 4th National congress of civil engineering. Tehran University, Iran
Ferchichi H, Hamouda MB, Farhat B, Mammou AB (2018) Assessment of groundwater salinity using GIS and multivariate statistics in a coastal Mediterranean aquifer. Int J Environ Sci Technol 15(11):2473–2492
Frank E, Hall M, Trigg L, Holmes G, Witten IH (2004) Data mining in bioinformatics using Weka. Bioinformatics 20(15):2479–2481
Garner SR (1995) Weka: the waikato environment for knowledge analysis. In: Proceedings of the 2nd New Zealand computer science research students conference. Hamilton, New Zealand, pp 57–64
Green NR, MacQuarrie KTB (2014) An evaluation of the relative importance of the effects of climate change and groundwater extraction on seawater intrusion in coastal aquifers in Atlantic Canada. Hydrogeol J 22(3):609–623
Guo W, Langevin CD (2002) User’s guide to SEAWAT; a computer program for simulation of three-dimensional variable-density ground-water flow. US Geological Survey Open-File Report 01-434, p 79
Harbaugh AW (2005) MODFLOW-2005, the US Geological Survey modular ground-water model: the ground-water flow process. US Department of the Interior, US Geological Survey, Reston, pp 6-A16
Hastie T, Tibshirani R, Friedman J (2009) The elements of statistical learning: data mining, inference, and prediction. Springer, New York. https://doi.org/10.1007/978-0-387-84858-7
Hussain MS, Javadi AA (2016) Assessing impacts of sea level rise on seawater intrusion in a coastal aquifer with sloped shoreline boundary. J Hydro-Environ Res 11:29–41
IPCC (2013) Climate Change 2013: the physical science basis. In: Stocker TF, Qin D, Plattner GK, Tignor M, Allen SK, Boschung J, Nauels A, Xia Y, Bex V, Midgley PM (eds) Contribution of Working Group I to the fifth assessment report of the intergovernmental panel on climate change. Cambridge University Press, Cambridge, p 1535
Ketabchi H, Mahmoodzadeh D, Ataie-Ashtiani B, Werner AD, Simmons CT (2014) Sea-level rise impact on fresh groundwater lenses in two-layer small islands. Hydrol Process 28(24):5938–5953
Ketabchi H, Mahmoodzadeh D, Ataie-Ashtiani B, Simmons CT (2016) Sea-level rise impacts on seawater intrusion in coastal aquifers: review and integration. J Hydrol 535:235–255
Khairy H, Janardhana MR (2016) Impact of the geological setting and anthropogenic activities on groundwater salinization: a case study on semi confined coastal aquifer in Mazandaran province northern Iran. J Appl Geochem 18(2):203–214
Kiraly L (1985) FEM301—a three dimensional model for groundwater flow simulation. NAGRA Technical report, 84–49, p 96
Kuchaksaraei BS, Fatemi SMR, Danehkar A, Jozi SA, Ramezani-Fard E (2019) New guidelines for the identification and selection of coastal–marine representative areas for Hormozgan Province, Iran. Int J Environ Sci Technol 16(12):8061–8072
Langevin CD, Dausman AM (2005) Numerical simulation of saltwater intrusion in response to sea-level rise. In: Proceedings of the EWRI ‘05 world water and environmental resources congress. ASCE, Anchorage, pp 1–8
Li L, Barry DA, Jeng DS (2001) Tidal fluctuations in a leaky confined aquifer: dynamic effects of an overlying phreatic aquifer. Water Resour Res 37(4):1095–1098
Loáiciga HA, Pingel TJ, Garcia ES (2012) Sea water intrusion by sea - level rise: scenarios for the 21st century. Groundwater 50(1):37–47
Lu C, Xin P, Li L, Luo J (2015) Seawater intrusion in response to sea-level rise in a coastal aquifer with a general-head inland boundary. J Hydrol 522:135–140
Michael HA, Russoniello CJ, Byron LA (2013) Global assessment of vulnerability to sea-level rise in topography-limited and recharge-limited coastal groundwater systems. Water Resour Res 49(4):2228–2240
Morgan LK, Bakker M, Werner AD (2015) Occurrence of seawater intrusion overshoot. Water Resour Res 51(4):1989–1999
Pillai K, Etemad-Shahidi A, Lemckert C (2017) Wave overtopping at berm breakwaters: experimental study and development of prediction formula. Coast Eng 130:85–102
Pool M, Post VE, Simmons CT (2014) Effects of tidal fluctuations on mixing and spreading in coastal aquifers: homogeneous case. Water Resour Res 50(8):6910–6926
Quinlan JR (2014) C4. 5: programs for machine learning. Elsevier
Ranjbar A, Ehteshami M (2019) Spatio-temporal mapping of salinity in the heterogeneous coastal aquifer. Appl Water Sci 9(2):32
Ranjbar A, Mahjouri N (2019) Multi-objective freshwater management in coastal aquifers under uncertainty in hydraulic parameters. Nat Resour Res. https://doi.org/10.1007/s11053-019-09585-3
Sefelnasr A, Sherif M (2014) Impacts of seawater rise on seawater intrusion in the Nile Delta aquifer, Egypt. Groundwater 52(2):264–276
Sharip Z, Yusoff FM, Jamin A (2019) Seasonal water quality and trophic status of shallow lentic waters and their association with water levels. Int J Environ Sci Technol 16(8):4851–4862
Stigter TY, Nunes JP, Pisani B, Fakir Y, Hugman R, Li Y, Monteiro JP (2014) Comparative assessment of climate change and its impacts on three coastal aquifers in the Mediterranean. Reg Environ Change 14(1):41–56
Uddameri V, Singaraju S, Hernandez EA (2014) Impacts of sea-level rise and urbanization on groundwater availability and sustainability of coastal communities in semi-arid South Texas. Environ Earth Sci 71(6):2503–2515
Vermeer M, Rahmstorf S (2009) Global sea level linked to global temperature. Proc Natl Acad Sci 106(51):21527–21532
Voss CI, Provost AM, (2010) SUTRA: a model for saturated–unsaturated, variable density groundwater flow with solute or energy transport. USGS Water-Resources Investigations Report, 02-4231, U.S. Geological Survey, Reston
Watson TA, Werner AD, Simmons CT (2010) Transience of seawater intrusion in response to sea level rise. Water Resour Res. https://doi.org/10.1029/2010wr009564
Webb MD, Howard KW (2011) Modeling the transient response of saline intrusion to rising sea levels. Groundwater 49(4):560–569
Werner A, Simmons CT (2009) Impact of sea-level rise on sea water intrusion in coastal aquifers. Groundwater 47(2):197–204
Werner AD, Bakker M, Post VE, Vandenbohede A, Lu C, Ataie-Ashtiani B, Barry DA (2013) Seawater intrusion processes, investigation and management: recent advances and future challenges. Adv Water Resour 51:3–26
Xiao H, Tang Y (2019) Assessing the “superposed” effects of storm surge from a Category 3 hurricane and continuous sea-level rise on saltwater intrusion into the surficial aquifer in coastal east-central Florida (USA). Environ Sci Pollut R 26:21882–21889
Xiao H, Wang D, Medeiros SC, Hagen SC, Hall CR (2018) Assessing sea-level rise impact on saltwater intrusion into the root zone of a geo-typical area in coastal east-central Florida. Sci Total Environ 630:211–221
Yang J, Graf T, Ptak T (2019) Combined influence of weir construction and sea-level rise on freshwater resources of a coastal aquifer in northern Germany. Hydrogeol J 27:2695–2705
Zheng C, Wang MC (1999) MT3DMS—a modular three-dimensional multispecies transport model for simulation of advection, dispersion and chemical reactions of contaminant in ground-water systems; documentation and user’s guide. US Army Corps of Engineers Contract Report SERDP-99-1; Vicksburg, Mississippi, p 169
Acknowledgments
The authors wish to thank all who assisted in conducting this work.
Author information
Authors and Affiliations
Corresponding author
Additional information
Editorial responsibility: Ta Yeong Wu.
Electronic supplementary material
Below is the link to the electronic supplementary material.
Rights and permissions
About this article
Cite this article
Ranjbar, A., Cherubini, C. & Saber, A. Investigation of transient sea level rise impacts on water quality of unconfined shallow coastal aquifers. Int. J. Environ. Sci. Technol. 17, 2607–2622 (2020). https://doi.org/10.1007/s13762-020-02684-2
Received:
Revised:
Accepted:
Published:
Issue Date:
DOI: https://doi.org/10.1007/s13762-020-02684-2
Keywords
- Saltwater intrusion
- Gradual sea level rise
- Head-controlled system
- Flux-controlled system