Skip to main content

Capsaicin 8 % as a cutaneous patch (Qutenza™): analgesic effect on patients with peripheral neuropathic pain

Abstract

Evaluation of the analgesic effect after a single application of the capsaicin 8 % cutaneous patch (Qutenza™) in 37 patients suffering from painful, distal symmetric polyneuropathy (PNP) for an average of 5 years. Patients ranged from 40 to 78 years of age and 22 subjects were HIV-positive. Patients were observed 4 weeks prior to 12 weeks post administration. An evaluation of the therapeutic effect of capsaicin 8 % as a dermal patch in terms of pain reduction, change of sleeping behavior and social activities was performed and statistical analysis of data was conducted using non-parametric methods. Patients were selected according to clinical criteria. Numerical rating scale (NRS 0–10) was used to inquire pain intensity and a pain score was calculated using the painDETECT© questionnaire Freynhagen R (Curr Med Res Opin 22:1911–1920, [2006]). A significant reduction of pain was achieved for up to 12 weeks, with a maximum after 2–4 weeks post administration. After patient education and before application of capsaicin patch, a significant reduction of three levels on the NRS was observed. Symptoms of painful PNP decreased over the period of investigation and 8 patients reported a reduction of systemic pain medication. In patients with an HIV infection, a significant extension of sleep was achieved for 2, 4 and 8 weeks after application. Thus, the application of the capsaicin 8 % patch resulted in a significant relief of neuropathic pain, a prolongation of sleep, a reduction of oral pain medication and a resumption of social activities.

This is a preview of subscription content, access via your institution.

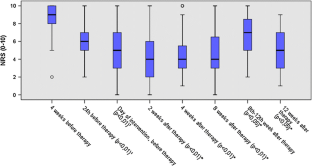
Fig. 1
Fig. 2
Fig. 3
Fig. 4

References

  1. Anand P, Bley K (2011) Topical capsaicin for pain management: therapeutic potential and mechanisms of action of the new high-concentration capsaicin 8 % patch. Br J Anaesth 107(4):490–502

    PubMed Central  Article  CAS  PubMed  Google Scholar 

  2. Armstrong EP, Malone DC, Mc Carberg B, CJ Panarites (2011) Pham SV Cost-effectiveness analysis of a new 8 % capsaicin patch compared to existing therapies for postherpetic neuralgia. Curr Med Res Opin 27(5):939–950

    Article  PubMed  Google Scholar 

  3. Bhaskar A, England J, Lowe J (2012) Management of neuropathic pain (NP) using the capsaicin 8 % patch in patients with cancer. Presented at the European association for palliative care, NorwayPoster 465

  4. Bingel U, Wanigasekera V, Wiech K, Mhuircheartaigh R, Lee MC, Ploner M, Tracey I (2011) The effect of treatment expectation on drug efficacy: imaging the analgesic benefit of the opioid remifentanil. Sci Transl Med 3(70):70ra14

    Article  PubMed  Google Scholar 

  5. Chung M-K, Güler A, Caterina M (2008) TRPV1 shows dynamic ionic selectivity during agonist stimulation. Nat Neurosci 11:555–564

    Article  CAS  PubMed  Google Scholar 

  6. Derry S, Lloyd R, Moore RA, McQuay HJ (2009) Topical capsaicin for chronic neuropathic pain in adults. Cochrane Database, Syst Rev 4:CD007393

    Google Scholar 

  7. European Medicines Agency (2013) Summary of product characteristics: Qutenza 179 mg cutaneous patch. Available from: http://www.ema.europa.eu/docs/en_GB/document_library/EPAR_-_Product_Information/human/000909/WC500040453.pdf. Accessed July 2013

  8. Freynhagen R, Baron R, Gockel U, Tölle TR (2006) painDETECT: a new screening questionnaire to identify neuropathic components in patients with back pain. Curr Med Res Opin 22(10):1911–1920

    Article  PubMed  Google Scholar 

  9. Gauffin J, Hankama T, Kautiainen H, Hannonen P, Haanpää M (2013) Neuropathic pain and use of PainDETECT in patients with fibromyalgia: a cohort study. BMC Neurol 13:21. doi:10.1186/1471-2377-13-21

    PubMed Central  Article  PubMed  Google Scholar 

  10. Holzer P (2008) The pharmacological challenge to tame the transient receptor potential vanilloid-1 (TRPV1) nocisensor. Br J Pharmacol 155(8):1145–1162

    PubMed Central  Article  CAS  PubMed  Google Scholar 

  11. Jones VM, Moore KA (2011) Peterson DM Capsaicin 8 % topical patch (Qutenza)-a review of the evidence. J Pain Palliat Care Pharmacother 25(1):32–41

    Article  PubMed  Google Scholar 

  12. Kennedy WR, Vanhove GF, Lu SP, Tobias J, Bley KR, Walk D et al (2010) A randomized, controlled, open-label study of the long-term effects of NGX-4010, a high-concentration capsaicin patch, on epidermal nerve fiber density and sensory function in healthy volunteers. J Pain 11(6):579–587

    Article  CAS  PubMed  Google Scholar 

  13. Kern KU, Nowack W, Poole C (2014) Treatment of neuropathic pain with the capsaicin 8 % patch: is pretreatment with lidocaine necessary? Pain Pract 14(2):E42–E50

    PubMed Central  Article  PubMed  Google Scholar 

  14. Lambert DG (2009) Capsaicin receptor antagonists: a promising new addition to the pain clinic. Br J Anaesth 102(2):153–155

    Article  CAS  PubMed  Google Scholar 

  15. Linde K, Streng A, Jürgens S, Hoppe A, Brinkhaus B, Witt C et al (2005) Acupuncture for patients with migraine: a randomized controlled trial. JAMA 293(17):2118–2125

    Article  CAS  PubMed  Google Scholar 

  16. Malmberg AB, Mizisin AP, Calcutt NA, von Stein T, Robbins WR, Bley KR (2004) Reduced heat sensitivity and epidermal nerve fiber immunostaining following single applications of a high-concentration capsaicin patch. Pain 111:360–367

    Article  CAS  PubMed  Google Scholar 

  17. MCCormack PL (2010) Review capsaicin dermal patch, in non-diabetic peripheral neuropathic pain. Drugs 70(14):1831–1842

    Article  CAS  PubMed  Google Scholar 

  18. Mou J, Paillard F, Turnbull B, Trudeau J, Stoker M, Katz NP (2014) Qutenza (capsaicin) 8 % patch onset and duration of response and effects of multiple treatments in neuropathic pain patients. Clin J Pain 30(4):286–294

    Article  PubMed  Google Scholar 

  19. Mou J, Paillard F, Turnbull B, Trudeau J, Stoker M, Katz NP (2013) Efficacy of Qutenza® (capsaicin) 8 % patch for neuropathic pain: a meta-analysis of the Qutenza clinical trials database. Pain 154(9):1632–1639

    Article  CAS  PubMed  Google Scholar 

  20. NeurogesX (2009) Qutenza® (capsaicin) 8 % patch [prescribing information] NeurogesX, San Mateo, CA, http://dailymed.nlm.nih.gov/dailymed/lookup.cfm?setid=aab4f0b9-5b08-4ed7-b85b-93dcee5c50ad

  21. Petersen GL, Finnerup NB, Grosen K, Pilegaard HK, Tracey I, Benedetti F, Price DD, Jensen TS, Vase L (2014) Expectations and positive emotional feelings accompany reductions in ongoing and evoked neuropathic pain following placebo interventions. Pain. pii: S0304-3959(14)00459-X

  22. Treede RD, Wagner T, Kern KU, Husstedt IW, Arendt G, Birklein F et al (2013) Mechanism- and experience-based strategies to optimize treatment response to the capsaicin 8 % cutaneous patch in patients with localized neuropathic pain. Curr Med Res Opin 29(5):527–538

    Article  CAS  PubMed  Google Scholar 

  23. Treede RD, Jensen TS, Campbell JN, Cruccu G, Dostrovsky JO, Griffin JW et al (2008) Neuropathic pain: redefinition and a grading system for clinical and research purposes. Neurology 29(70):1630–1635

    Article  Google Scholar 

  24. Vase L, Petersen GL, Lund K (2014) Placebo effects in idiopathic and neuropathic pain conditions. Handb Exp Pharmacol 225:121–136

    Article  PubMed  Google Scholar 

  25. Wallace M, Pappagallo M (2011) Qutenza®: a capsaicin 8 % patch for the management of postherpetic neuralgia. Expert Rev Neurother 11:15–27

    Article  CAS  PubMed  Google Scholar 

  26. Webster LR, Malan TP, Tuchman MM, Mollen MD, Tobias JK, Vanhove GF (2010) A multicenter, randomized, double-blind, controlled dose finding study of NGX-4010, a high-concentration capsaicin patch, for the treatment of postherpetic neuralgia. J Pain 11(10):972–982

    Article  CAS  PubMed  Google Scholar 

  27. Weekes G, O’Brien J, Murphy K, Keavney J, Pollard V (2013) Qutenza patch-our early experience. Ir Med J 106(3):89–90

    CAS  PubMed  Google Scholar 

Download references

Acknowledgments

The authors thank Mrs. Michaela Dorenkamp for technical assistance and their patients for their participation.

Conflict of interest

Raber: None Reichelt: Consulting honoraria from ViiV Healthcare, BMS, MSD Grüneberg-Oelker: None Philipp: None Stubbe-Dräger: None Husstedt: Advisory Board of Boehringer, BMS, Abbott, consulting honoraria from Astra, Astellas, Boehringer, Bayer, BMS, GSK, Gilead, Pfizer, Grünenthal, MSD, Behring, and research grant from Gilead for Investigator initiated study.

Author information

Affiliations

Authors

Corresponding author

Correspondence to Julia Marie Raber.

Rights and permissions

Reprints and Permissions

About this article

Verify currency and authenticity via CrossMark

Cite this article

Raber, J.M., Reichelt, D., Grüneberg-Oelker, U. et al. Capsaicin 8 % as a cutaneous patch (Qutenza™): analgesic effect on patients with peripheral neuropathic pain. Acta Neurol Belg 115, 335–343 (2015). https://doi.org/10.1007/s13760-014-0395-7

Download citation

  • Received:

  • Accepted:

  • Published:

  • Issue Date:

  • DOI: https://doi.org/10.1007/s13760-014-0395-7

Keywords

  • Capsaicin 8 % patch
  • Reduction of pain
  • Peripheral neuropathic pain