Skip to main content

Seeding Dates and Cultivars Effects on Stink Bugs Population and Damage on Common Bean Phaseolus vulgaris L

Abstract

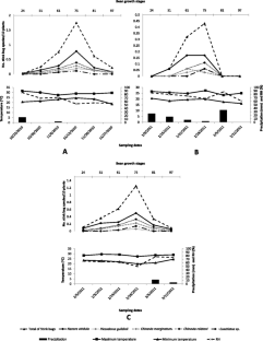
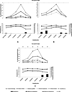
Fields experiments were conducted during two growing seasons (2010–2011 and 2012–2013) at three seeding dates to identify stink bug (Hemiptera: Pentatomidae) species and to determine their seasonal population density fluctuation and damage caused to three common bean (Phaseolus vulgaris L.) cultivars “Ica Pijao,” “Cubacueto 25–9,” and “Chévere.” Stink bug species observed were Nezara viridula (L.), Piezodorus guildinii (Westwood), Chinavia rolstoni (Rolston), Chinavia marginatum (Palisot de Beauvois), and Euschistus sp. The most prevalent species was N. viridula in both seasons. The largest number of stink bugs was found in beans seeded at the first (mid September) and third (beginning of January) seeding dates. Population peaked at BBCH 75 with 1.75, 0.43, and 1.25 stink bugs/10 plants in 2010–2011 and with 2.67, 0.45, and 1.3 stink bugs/10 plants in 2012–2013 in the fields seeded the first, second, and third seeding dates, respectively. The lowest numbers of stink bugs were found in beans seeded at the second (mid November) seeding date. A significant negative correlation between relative humidity and number of stink bugs was found in 2010–2011, and a similar tendency was observed in 2012–2013. The highest seed and pod damage levels occurred in cv. “Chévere” and the lowest in cv. “ICA Pijao” during both seasons. Results suggest that cv. “ICA Pijao” and the second (mid November) seeding date is the best choice to reduce stink bug damage.

This is a preview of subscription content, access via your institution.

Fig 1
Fig 2

References

  • Alvarado A, Grillo H, Gómez S, Arias MA (2009a) Complejo de chinches (Hemiptera: Pentatomidae) en frijol común. Inventario y presencia en tres localidades de Villa Clara. Centro Agrícola 36:75–82

    Google Scholar 

  • Alvarado A, Grillo H, Gómez S, Arias MA (2009b) Afectación del complejo de chinches (Heteroptera; Pentatomidae) en variedades de frijol común en tres localidades de Villa Clara. Centro Agrícola 36:35–40

    Google Scholar 

  • Amaral-Filho BF, Lima CC, Silva CMR, Consoli FL (1992) Influência de temperatura no estágio de ovo e adulto de Thyanta perditor (Fabricius, 1794) (Heteroptera: Pentatomidae). An Soc Entomol Brasil 21:15–20

    Google Scholar 

  • Azambuja R, Degrande PE, Pereira FF (2013) Comparative biology of Euschistus heros (F) (Hemiptera: Pentatomidae) feeding on cotton and soybean reproductive structures. Neotrop Entomol 42:359–365

    CAS  Article  PubMed  Google Scholar 

  • Bae SD, Kim HJ, Lee GH, Park ST (2007) Development of observation methods for density of stink bugs in soybean field. Korean J Appl Entomol 46:153–158

    Article  Google Scholar 

  • Birgücü AK, Karsavuran Y (2013) Feeding behavior of Nezara viridula (L.) (Hemiptera: Pentatomidae) on bean pod. Turk J Entomol 37:343–358

    Google Scholar 

  • Bueno AF, Paula-Moraes SV, Gazzoni DL, Pomari AF (2013) Economic threshold in soybean-integrated pest management: old concepts, current adoption, and adequacy. Neotrop Entomol 42:439–447

    CAS  Article  PubMed  Google Scholar 

  • Bueno AF, Bortolotto OC, Pomari-Fernandes A, Franca-Net JD (2015) Assessment of a more conservative stink bugs economic threshold for managing stink bugs in Brazilian soybean production. Crop Prot 71:132–137

    Article  Google Scholar 

  • Corrêa-Ferreira BS, Azevedo JD (2002) Soybean seed damage by different species of stink bugs. Agric Forest Entomol 4:145–150

    Article  Google Scholar 

  • Depieri RA, Panizzi AR (2011) Duration of feeding and superficial and in-depth damage to soybean seed by selected species of stink bugs (Heteroptera: Pentatomidae). Neotrop Entomol 40:197–203

    CAS  Article  PubMed  Google Scholar 

  • Depieri RA, Sequeira F, Panizzi AR (2010) Aging and food source effects on mandibular stylets teeth wear of phytophagous stink bugs (Hemiptera: Pentatomidae). Neotrop Entomol 39:952–956

    Article  PubMed  Google Scholar 

  • Deshpande SS (1992) Food legumes in human nutrition: a personal perspective. Food Science & Nutrition 32:333–363

    CAS  Google Scholar 

  • Doria E, Campion B, Sparvoli F, Tava A, Nielsen E (2012) Anti-nutrient components and metabolites with health implications in seeds of 10 common bean (Phaseolus vulgaris L. and Phaseolus lunatus L.) landraces cultivated in southern Italy. J Food Compos Anal 26:72–80

    CAS  Article  Google Scholar 

  • Gariepy TD, Haye T, Frazer H, Zhang J (2014) Occurrence, genetic diversity and potential pathways of entry of Halyomorpha halys in newly invaded areas of Canada and Switzerland. J Pest Sci 87:17–28

    Article  Google Scholar 

  • Grillo H (2004) Los heterópteros de Cuba. Rev Protección Veg 19:174

    Google Scholar 

  • Herbert JJ, Toews MD (2012) Seasonal abundance and population structure of Chinavia hilaris and Nezara viridula (Hemiptera: Pentatomidae) in Georgia farms capes containing corn, cotton, peanut and, soybean. Ann Entomol Soc Am 105:582–591

    Article  Google Scholar 

  • Hirose E, Panizzi AR, Cattelan AJ (2006) Effect of relative humidity on emergence and on dispersal and regrouping of first instar Nezara viridula (L.) (Hemiptera: Pentatomidae). Neotrop Entomol 35:757–761

    Article  PubMed  Google Scholar 

  • Husch PE, De Oliveira MCN, Sosa-Gómez DR (2014) Characterization of injury caused by Edessa meditabunda (F.), Chinavia impicticornis (Stål), and Piezodorus guildinii (West.) (Hemiptera: Pentatomidae) to soybean. Neotrop Entomol 43:276–281

    CAS  Article  PubMed  Google Scholar 

  • Lee DH, Short BD, Joseph SV (2013) Review of biology, ecology, and management of Halyomorpha halys (Hemiptera: Pentatomidae) in China, Japan, and Republic of Korea. Environ Entomol 42:627–641

    Article  PubMed  Google Scholar 

  • Manugistics Inc (1992) STATGRAPHICS plus. Referencial manual version 5.1. Manugistics, Rockville

    Google Scholar 

  • Matesco VC, Schwertner CF, Grazia J (2009) Morphology of the immatures and biology of Chinavia longicorialis (Breddin) (Hemiptera: Pentatomidae). Neotrop Entomol 38:74–82

    Article  Google Scholar 

  • McPherson RM, Todd JW, Yeargan KV (1994) Stink bugs. In: Higley LG, Boethel DJ (eds) Handbook of soybean insect pests. Entomological Society of America, Lanham, pp 87–90

    Google Scholar 

  • Medrano EG, Esquivel JF, Bell AA (2007) Transmission of cotton seed and boll rotting bacteria by the southern green stink bug (Nezara viridula). J Appl Microbiol 103:436–444

    CAS  Article  PubMed  Google Scholar 

  • Medrano EG, Esquivel J, Bell AA, Greene J, Roberts P, Bacheler J, Marois J, Wright D, Nichols R, Lopez J (2009) Potential for Nezara viridula (Hemiptera: Pentatomidae) to transmit bacterial and fungal pathogens into cotton bolls. Curr Microbiol 59:405–412

    CAS  Article  PubMed  Google Scholar 

  • Meier U (2001) Growth stages of mono-and dicotyledonous plants. BBCH Monograph. Ed. 2. Federal Biological Research Centre for Agriculture and Forestry, Germany, p 158

    Google Scholar 

  • Minitab (2015) Minitab 17: gretting started with Minitab 17. Minitab Inc, Pennsylvania 87p

    Google Scholar 

  • Musolin DL, Saulich AK (2012) Responses of insects to the current climate changes: from physiology and behavior to range shifts. Entomol Rev 92:715–740

    Article  Google Scholar 

  • Musser FR, Stewart SD, Catchot AL Jr (2009) Soybean insect losses for Mississippi and Tennessee. Midsouth Entomologist 2:42–46

    Google Scholar 

  • Musser FR, Catchot AL, Gibson BK, Knighten KS (2011) Economic injury levels for southern green stink bugs (Hemiptera: Pentatomidae) in R7 growth stage soybeans. Crop Prot 30:63–69

    Article  Google Scholar 

  • Nöthlings U, Schulze MB, Weikert C, Boeing H, van der Schouw YT, Bamia C (2008) Intake of vegetables, legumes and fruit, and risk for all-cause cardiovascular and cancer mortality in a European diabetic population. J Nutr 138:775–781

    PubMed  Google Scholar 

  • Owens DR, Herbert DA Jr, Kuhar TP (2013) Effects of temperature and relative humidity on the vertical distribution of stink bugs (Hemiptera: Pentatomidae) within a soybean canopy and implications for field sampling. J Entomol Sci 48:90–98

    Article  Google Scholar 

  • Panizzi AR (1997) Wild host of pentatomids: ecological significance and role in their pest status on crops. Annu Rev Entomol 42:99–122

    CAS  Article  PubMed  Google Scholar 

  • Panizzi AR, Herzog DC (1984) Biology of Thyanta perditor (Hemiptera: Pentatomidae). Ann Entomol Soc Am 77:646–650

    Article  Google Scholar 

  • Panizzi AR, McPherson JE, James DG, Javahery M, McPherson RM (2000) Stink bugs (Pentatomidae). Heteroptera of economic importance. In: Schaefer CW, Panizzi AR (eds), CRC Press, Boca Raton, FL, pp 421–474, 856p

  • Prokopy RJ, Kogan M (2003) Integrated pest management. In: Resh VH, Cardé RT (eds) Encyclopedia of insects. Academic Press, New York, pp 589–594

    Google Scholar 

  • Root TL, Price JT, Hall KR, Schneider SH, Rosenzweis C, Pounds JA (2003) Fingerprints of global warming on wild animals and plants. Nature 421:57–60

    CAS  Article  PubMed  Google Scholar 

  • Silva JJ, Ventura MU, Silva FAC, Panizzi AR (2013) Population dynamic of Dichelops melacanthus (Dallas) (Heteroptera: Pentatomidae) on host plants. Neotrop Entomol 42:141–145

    CAS  Article  PubMed  Google Scholar 

  • Smaniotto LF, Panizzi AR (2015) Interactions of selected species of stink bugs (Hemiptera: Heterpotera: Pentatomidae) from leguminous crops with plants in the Neotropics. Fla Entomol 98:7–17

    Article  Google Scholar 

  • Smith JF, Lutterell RG, Greene JK (2009) Seasonal abundance, species composition, and population dynamics of stink bugs in production fields of early and late soybean in south Arkansas. J Econ Entomol 102:229–236

    CAS  Article  PubMed  Google Scholar 

  • Sosa-Gómez DR, Moscardi F (1995) Retençao foliar diferencial em soja provocada por percevejos (Heteroptera: Pentatomidae). An Soc Entomol Brasil 24:401–404

    Google Scholar 

  • Souza ES, Silva JPGF, Baldin ELL, Pierozzi CG, Cunha LS, Canassa VF, Pannuti LER, Lourenção AL (2015) Response of soybean genotypes challenged by a stink bug complex (Hemiptera: Pentatomidae). J Econ Entomol 109:898–906

    Article  Google Scholar 

  • Temple JH, Davis JA, Micinski S (2013) Species composition and seasonal abundance of stink bugs (Hemiptera: Pentatomidae) in Louisiana soybean. Environ Entomol 42:648–657

    CAS  Article  PubMed  Google Scholar 

  • Tougou D, Musolin DL, Fujisaki K (2009) Some like it hot! Rapid climate change promotes changes in distribution ranges of Nezara viridula and Nezara antennata in Japan. Entomol Exp Appl 130:249–258

    Article  Google Scholar 

  • Velikova V, Salerno G, Frati F, Peri E, Conti E, Colazza S, Loreto F (2010) Influence of feeding and oviposition by phytophagous pentatomids on photosynthesis of herbaceous plants. J Chem Ecol 36:629–641

    CAS  Article  PubMed  Google Scholar 

  • Vicentini R, Jiménez HA (1977) El vaneo de los frutos en soja. Serie Técnica No 47. Instituto Nacional de Tecnología Agropecuaria, Paraná 30p

    Google Scholar 

  • Zaugg I, Magni C, Panzeri D, Daminati MG, Bollini BB, Bancher S, Sparvoli F (2013) QUES, a new Phaseolus vulgaris genotype resistant to common bean weevils, contains the Arcelin-8 allele coding for new lectin-related variants. Theor Appl Genet 126:647–661

    CAS  Article  PubMed  Google Scholar 

Download references

Acknowledgments

We thank Dr. Horacio Grillo at Universidad Central “Marta Abreu” de Las Villas, Cuba for morphological identification of the stink bug species. Ms. Yanetsy Ruíz at the same university and Mr. Torfinn Torp at NIBIO are thanked for their guidance on data analysis. Further, Dr. Bjørn Arild Hatteland at NIBIO and Dr. Daniel R Sosa-Gómez at EMBRAPA Soja in Brazil are thanked for comments that improved the manuscript.

Author information

Affiliations

Authors

Corresponding author

Correspondence to I Klingen.

Additional information

Edited by Jorge B Torres – UFRPE

Rights and permissions

Reprints and Permissions

About this article

Verify currency and authenticity via CrossMark

Cite this article

Ramos, Y.G., Gómez, J.R. & Klingen, I. Seeding Dates and Cultivars Effects on Stink Bugs Population and Damage on Common Bean Phaseolus vulgaris L. Neotrop Entomol 46, 701–710 (2017). https://doi.org/10.1007/s13744-017-0512-4

Download citation

  • Received:

  • Accepted:

  • Published:

  • Issue Date:

  • DOI: https://doi.org/10.1007/s13744-017-0512-4

Keywords

  • Stink bug diversity
  • seeding date
  • common bean cultivar
  • population dynamic
  • common bean damage
  • integrated pest management