Abstract
A worldwide decline of pollinator abundance is recorded and the worldwide pollination of insect-pollinated crops has traditionally depended on a single species, the honeybee. The risks of relying on a single species are obvious. Other species have been developed for particular crops. Here we present an extension of the framework of Bosch and Kemp (2002) that deals on how to develop a bee species into a crop pollinator. We used nesting aids in different settings to address five important issues that are necessary for an effective management of a bee species in a commercial setting. Our study system was the red mason bee (Osmia bicornis) in apple orchards in eastern Germany, but our approach should be transferable to other settings. The first issue was to demonstrate that it is possible to increase population size of O. bicornis by providing nesting aids. Second, we present how someone can study landscape features that promote the occurrence and abundance of O. bicornis. Further, we studied the dispersal of the species inside the orchard, and could demonstrate that bees prefer to disperse along lines of trees. Finally, we studied the effect of nesting substrate and type of farming on the recruitment of bees. We found a close relationship between the length of nesting tubes and achieved sex ratio and a negative effect of conventional farming on the number of nests built. We conclude with recommendations on how our findings can be used to optimize the management of O. bicornis in apple orchards.
Similar content being viewed by others
1 INTRODUCTION
A worldwide decline of pollinator abundance and diversity is recorded over the last years and fuelled the debate of the sustainability of the current intensive farming (Hole et al. 2005). Pollination is recognized as a very important ecosystem service that is vital to be maintained to achieve an adequate food production for mankind. Many field crops require an operating pollination system (Buchmann and Nabhan 1996; Klein et al. 2007) and over 75% of the major world crops and 80% of all flowering plant species rely on animal pollinators, mostly wild bee species and other wildlife (Kluser and Peduzzi 2007).
Since agricultural activities were first recorded, there have been shortages of pollinators and thus cuts in agricultural productivity (Kevan and Phillips 2001). Meanwhile, evidence has been accumulating that both wild and commercially managed pollinators are in decline (Kremen et al. 2002; Winfree 2008; Aizen et al. 2009). Hence, understanding the mechanisms that drive the distribution of these animals in agricultural landscapes is economically sensible and of major importance for sustainable production of food commodity (Potts et al. 2003).
Currently, the most abundant and therefore overall most effective pollinator species in agricultural landscapes is the honeybee (Apis mellifera) (Bosch and Kemp 2002). Long-term population trends for the honeybee are demonstrably downward. Especially, the phenomenon of colony collapse disorder is a threat to pollination as an ecological service (Neumann and Carreck 2010; Cox-Foster et al. 2007; van Engelsdorp et al. 2009). Coincidently, this phenomenon is accentuated by a declining number of apiculturists in many regions of the world (Potts et al. 2010), including our study region, Saxony, in the east of Germany (Wittmann et al. 2005).
Numerous studies exist that describes the potential of native bees as pollinators of crops (Bosch and Blas 1994; Vicens and Bosch 2000; Bosch and Kemp 2002; Biliński and Teper 2004; Ladurner et al. 2004; Giejdasz et al. 2005; Tepedino et al. 2007; Beil et al. 2008; Ladurner et al. 2008; Oliveira and Schlindwein 2009; Teper and Bilinski 2009; Tuell et al. 2009). Several native wild bee species have been identified to be capable of replacing or at least supplementing the decreasing number of honeybees (Kremen et al. 2002; Rader et al. 2009). In 2002, Bosch and Kemp (2002) published a review that described how to establish bee species as crop pollinators using three Osmia sp. as an example. They identified six important issues that have to be addressed to use a bee species for commercial pollination. Specifically, they mentioned the rearing methods, release methods, required bee density, importance of nesting materials, maintaining bee supply, and control against parasites, predators, and pathogens (Figure 1).
Here we describe findings that complement their framework, by providing insights on how to optimize rearing and releasing of bees. We present an approach to answer these questions by applying it to a specific system, namely the red mason bee (Osmia bicornis), which is by orders of magnitude the naturally most abundant native bee species in apple orchards in Saxony. Although the principal approach is generic, it needs, of course, to be adapted to be successful in other systems using different wild bee and crop species.
The five detailed questions we add to the framework of Figure 1 are:
-
1.
Is it possible to substantially increase the population size of native bees by providing nesting aids?
-
2.
Where to place nesting aids to attract a maximum number of bees? This directly translates into: Where are wild bees recruited from? This question can be answered by studying which landscape features are favorable for the occurrence of the species.
-
3.
Which landscape features maximize reproductive output? To address this question one has to keep in mind that different stages in the life cycle are requiring different landscape features. For example the number of blossoms in a landscape feature should promote the number of built nests.
-
4.
Once a sufficient number of individuals have been recruited, how can pollination inside an apple orchard be ensured over the complete area? This translates into the question on how bee species disperse and forage inside an orchard. In addition, we tested the effect of type of farming (conventional versus organic farming) on the dispersal success of adult bees.
-
5.
Finally, we addressed the question on how to optimize pollination success by studying the effect of the type of nesting tube on sex ratio. Sex ratio is important in solitary bees as only females contribute substantially to pollination by provisioning brood cells with pollen.
2 MATERIALS AND METHODS
2.1 Study area and design
The study area is located in Central Saxony, Germany (see Figure 2). We studied the occurrence and abundance of red mason bee (O. bicornis) by setting out nesting aids for aboveground nesting bees from 2007 to 2009. In 2007, the nesting aids were arranged in a grid of 50 m distances at 1.5 m above the ground in ten different apple orchards (Figure 2). One nesting aid consists of a plastic pipe filled up with approximately 30 hollow bamboo tubes (diameter 0.7–1.0 cm) of 20 cm length each. The nesting aids were set up in the orchards in March before the start of the flight activity of the first individuals and collected in September. By the end of September, all occupied canes were opened. For each nest the number of fully developed cocoons of O. bicornis, the number of cells and the sex of the bees within the cocoons were recorded. Sexing of individuals was based on the feature that males have light-gray clypeal hairs and the considerable dimorphism in body size in this species: males being smaller than females, 8–10 versus 10–12 mm, respectively. Some of the cocoons were parasitized by other species predominantly by larvae of the Caxogenius indicator or did not develop because of unknown reasons. Other bee species found in very small numbers were Osmia cornuta, Megachile centuncularis, Megachile versicolor, Megachile alpicola, and Megachile legniseca (det. Jochen Fründ, University of Göttingen).
Study area. Red dots are location of nesting aids in 2007. Blue squares are outlines of L-shape configuration of nesting aids in 2008 (see Fig. 3). Green- and brown-colored fields indicate organic and conventional farming, respectively. Inset shows the location of the study site in Germany.
We digitized the surrounding landscape using a 500-m buffer around each nesting aid based on digital land cover images provided by the Staatsbetrieb Geobasisinformation und Vermessung Sachsen from the year 2005. Through a survey, we ground proofed our digitized map to correct for minor changes occurred since 2005. The classification scheme is based on the idea that the occurrence and abundance of native bees is determined by the amount of suitable nesting and pollen provisioning habitat. For the classification of the landscape types (Table I) we followed an already existing classification scheme of Wittmann et al. (2005) and additional information from the literature (Gathmann and Tscharntke 2002). The main landscape types occurring in the study site are different kinds of fruit orchards (currant, cherry, and pear), apple plantations (conventional and organic farming), arable farm land, fallow, trees and hedges, grassland, and urban areas (Table II). In this setting organic farming is characterized by less intensive production allowing for a lower density of trees in the orchard (distances of trees are 3 versus 1.8 m in lines of trees and 5 versus 3 m across lines of trees in organic versus conventional farming, respectively). It further provides comparatively more understory within and between the tree rows due to not using any chemical weed control. Furthermore, organic farming renounces the use of pesticides and mineral fertilizers.
2.2 Question 1: Is it possible to increase population size by providing nesting aids?
To demonstrate the effect of nesting aids of on the number of built nests of O. bicornis, we set out 341, 360, and 434 nesting aids in 2007, 2008, and 2009, respectively. As the main aim of our study was to study questions 2 to 5 and not to demonstrate the effect of nesting aids on population size, which has been done before (Steffan-Dewenter and Schiele 2008), we did not control for the number of nesting aids and varied the spatial setting of nesting aids in these 3 years. In each year, we collected the nesting aids at the beginning of September, counted the number of nest cells built, and classified the content of the nest cells into male, female, parasitized, and undeveloped. We released all of the individuals the following year to study either the dispersal (2008) or the pollination effect (Woche et al., unpublished data). Parasitized cells and undeveloped eggs were discarded.
2.3 Question 2: Where are wild bees recruited from?
To answer question two, namely which landscape features promote the occurrence of O. bicornis, we created a linear regression model using whether a nesting aid was occupied or not as the response variable and the amount of a certain landscape type in a 500-m buffer around the nesting aid as predictors. In addition, we used the distance of the nesting aid to the edge of a field, the type of management of an orchard (conventional versus organic farming) and the presence of many beehives within the 500 m radius as possible predictors.
As a first step, we used boosted regression trees (Elith et al. 2008) to identify possible influential predictors. After this pre-selection, we followed the protocol of Zuur et al. (2009) to explore and prepare data for the final analysis. This protocol checks for outliers, zero-inflation, and independence of observation of the response variable (e.g., spatial autocorrelation). We fitted a generalized linear model, based on predictors having an importance value higher than zero, using a binomial error distribution. If there was an indication of a non-linear relationship we included a quadratic term into the full model. Finally, we used a stepwise backwards selection approach based on the Bayesian information criteria (BIC) to determine the most parsimonious model.
2.4 Question 3: What feature promotes the recruitment of wild bees?
To answer question three, what kind of landscape features promotes the recruitment of bees we followed the same approach as outlined above, but now the number of built nesting cells in occupied nesting aids was taken as response variable. Here, we fitted a generalized linear model using a Poisson distribution for the distribution of residuals.
2.5 Question 4: How wild bees disperse within orchards?
In 2008, we studied the dispersal of hatched bees inside apple orchards. For this we put up nesting aids in an L-shape-like grid at ten different sites and released 200 cocoons (even sex ratio) from the 2007 trial at the center of each grid (see Figure 3). We use an L-shape grid instead of a layout of concentric circles to minimize the “shading” effect of inner Ls, which would prevent occupation of outer Ls. We tested for several factors that may influence the dispersal of bees after hatching. A previous study (Bosch and Blas 1994) gave hints that bees prefer to disperse in accordance with the orientation of trees in an orchard and avoided to cross lines of trees. To test this hypothesis we used the distance of nesting aids across tree lines and parallel to tree lines as separate predictors. In addition, the farming type (organic or conventional farming) was added as a fixed effect. To account for field variation between orchards, we treated orchard as a random effect. We created a linear mixed effects model that used the number of nests built per nesting aid as response variable. To account for overdispersion we found in the response variable we used a zero-inflated Poisson model and started with a full model that used field site as predictor in the binomial part of the model and the other predictors in the count part of the model. As above a stepwise backward selection based on the BIC was used to find the most parsimonious model.
2.6 Question 5: Does the nesting substrate (length of tube) have an effect on sex ratio?
We analyzed the relationship of tube length to the node and sex ratio of each occupied nesting tube using a simple linear model.
3 RESULTS
3.1 Number of built nests in nesting aids
The number of built nests increase from 3,630 in 341 nesting aids to 29,289 in 434 (Table II). This results in an average of about 11, 27, and 67 built nests from 2007 to 2009. The increase in the occupancy rate is probably the result of different layouts of nesting aids in these years. In 2008 and 2009, the bees from the previous years were released close to the nesting aids. In 2008, we tested for dispersal, and in 2009, we directly wanted to increase the pollination and therefore placed the nesting aids very close to the release site of the bees. The sex ratio was quite different between years being male dominated in 2007 and 2009 and female dominated in 2008. The combined levels of parasitized and undeveloped nests was between 13.2 (2008) and 22.7% (2009).
3.2 Effect of landscape structure on occurrence
From the 12 predictor variables of the boosted regression tree, we selected the first ten variables that have an importance value larger than zero. For settlement and trees we included an additional quadratic term into the beyond optimal model. We found evidence for a relationship of occurrence of bees and fallows, settlements, trees, and stacked wood (huge piles of leftovers from pruned trees from the previous season) in the surrounding of orchards (Table III). The most important parameters turned out to be the amount of fallow surrounding apple orchards. The next important parameter was the distance from the edge of an orchard, which was negatively correlated, i.e., the further inside the orchard the less was the probability of occurrence of red mason bees.
3.3 Effect of landscape structure on abundance
Following the same reasoning as above, we used the first six variables as potential predictors. Due to lower number of cases (n = 94) it was not possible to include all predictors with an importance value higher than zero. If appropriate, quadratic terms for obviously non-linear responses for the full model were added. We used a general linear model with a Poisson distribution for the distribution of residuals and we applied again a stepwise backward selection based on the BIC criteria. The amount of surrounding fruit trees and therefore the amount of pollen increased the reproductive success (Table IV). Other variables turned out not to be important.
3.4 Dispersal within apple orchards
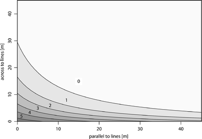
We tested the effect of the orientation of tree lines on dispersal using the number of occupied tubes in a nesting aid as response, and the distances from the release point across and parallel to lines of trees and the type of farming (conventional versus organic) as predictors. The most parsimonious model describing the number of occupied tubes in nesting aids set out in the described L-shape design was the zero-inflated model having a constant in the binomial part of the model and the distances across and parallel to lines of trees (including their interaction) in the count part of the model (Table V). Figure 4 depicts the effect of distances, across and parallel, to the orientation of lines of trees from the release point. It can be seen the distance across lines of trees cause a greater obstacle (roughly about twice as high) than distances parallel to lines of trees.
Number of occupied tubes per nesting aid as a result of the interaction of distances across and parallel to the orientation of lines of trees. Crosses depict distances of nesting aids that were sampled by the L-shape grid. It can be seen that nesting aids parallel to lines of trees have more occupied tubes than nesting aids located at the same distance in the direction of across lines of trees.
We could find a significant effect of the type of farming on the number of occupied nesting tubes and a tendency that conventional farming may prevent dispersal of bees inside a farm was found (Figure 5, Table V).
3.5 Effect of tube length on sex ratio of the red mason bee
In 2008, we measured as an additional feature the tube length to the node for each occupied tube in a nesting aid. Here we found a significant effect on the sex ratio. The percentage of females increased significantly with increasing length of the nesting aid (F 1,1368 = 160.24, p < 0.001, Figure 6).
4 DISCUSSION
4.1 Population size
During our experiments, we were able to increase the number of nests built from 3,630 nests produced in 341 nesting aids in 2007, to 9,865 nests built in 360 nesting aids in 2008 to finally 29,289 nests built in 434 nesting aids in 2009. So we were able to achieve a yearly increase of about 2.8 from a naturally and locally occurring population. Though a yearly increase of about 2.8 seems to be high, a similar increase of 2.4 per year has been demonstrated by Steffan-Dewenter and Schiele 2008 over a 5-year period. Nevertheless, as this is a field experiment and we have no control site established, we cannot rule out that the increase is also partly because of beneficial effects such as good weather conditions, but given the magnitude of the effect, the limiting effect of nesting opportunities (cf. Sheffield et al. 2008; Steffan-Dewenter and Schiele 2008) for this species could be demonstrated. An important contribution to this increase is probably the fact that due to opening of the bamboo canes, we separated infested and undeveloped cocoons from the healthy ones, which kept the otherwise likely increase of the parasite population under control. Furthermore, as some parasites do infest Osmia cocoons by penetrating naturally occurring nesting sites, these parasites were excluded as the bamboo canes could not been penetrated by them (Seidelmann, unpublished data).
4.2 Occurrence
Important parameters that explain the occurrence of wild bees were fallows, settlements, trees, and stacked wood in the surroundings of orchards. Fruit and apple orchards (depending on their age and management type), fallow and grassland, old tree populations, and small stacks of wood near settlements with natural allotments are known to offer many nesting structures for red mason bee. Not useful as nesting grounds and for pollen provision are arable farmlands and sealed industrial or settlements (Wittmann et al. 2005). Fruit and apple orchards provide abundant food supply, however, only for a limited duration during springtime. Blossomy backyards furnish the wild bees with nectar and pollen throughout the whole season, as do appropriate sown fallows.
Settlements in this case were mainly small houses surrounded by gardens, which are known as well to provide many human build structures made of clay and wood which in turn serve as a suitable matrix for nesting sites. So these findings fit well with the knowledge on bees preferences for nesting sites (Gathmann and Tscharntke 2002; Wittmann et al. 2005). An interesting finding was that the distance from the edge of orchard was a quite important predictor for the occurrence of bees, which was also found by Tuell et al. (2009) using pan traps. This means on the contrary that a farmer has to keep in mind that bees tend to occur preferentially at the edges of orchards only if not otherwise promoted towards the center of the orchard.
4.3 Abundance
The number of brood cells built was difficult to predict and the only important variable turned out to be the amount of other orchard trees (such as pears, red currant, and cherries) in the vicinity of orchards. A likely explanation is that although the amount of pollen provided by the apple orchard is ample enough, the timing of blossom of surrounding fruit trees such as cherry, pear, and red currant extended the provision of pollen to a longer time period. In accordance with this, Sheffield et al. (2008) report a greater reproductive success in Osmia lignaria, when additional pollen is supplied by planting lupine in the vicinity (less than 600 m) of orchards. Food availability has also been demonstrated to correlate positively at the landscape scale for bumblebees (Westphal et al. 2003; Williams and Kremen 2007) and for O. lignaria (Williams and Kremen 2007) and in caging experiments with Osmia pumilla (Goodell 2003).
4.4 Dispersal
The number of occupied nesting tubes correlated negatively with the distance from the release point. This was true for both distances along and across lines of trees, though the number of occupied nesting tubes was much lower at distances across lines of trees. A significant interaction term between these distances indicates that there is more than a simple additive effect, leading to an even further reduced number of occupied nesting tubes. This clear result demonstrates the importance of a need to actively disperse the bees in the field by releasing them at evenly distributed release points in the field. In their study, Bosch and Blas (1994) found that bees were more likely to move along lines of trees, though this was not explicitly stated by the authors.
The number of nests produced was significantly lower in organic versus conventional farming on a weak significance level (p < 0.05). This hints that dispersal and/or foraging is reduced by conventional farming practices. The percentage of nesting aids occupied are less in conventional farms (54%) compared to organic farms (68%), but the numbers of nests cells per occupied nesting aid (44 in conventional farming versus 47 in organic farming) are quite similar. Therefore, once bees found a nesting site, they produced the same number of nests in both farming types hence it seems that conventional farming has an effect on limiting bees to reach the nesting aids. The reason for this could be a reduced hatching rate or an increased mortality during dispersal, which may be caused by use of insecticides and/or herbicides in conventional farming.
Although negative effects of insecticides and fungicides on honeybees were reported by several authors (Baptista et al. 2009; Skerl et al. 2009; van Engelsdorp et al. 2009) the effect of these chemicals on wild bees is still under controversy. Ladurner et al. (2005) demonstrated an effect of certain fungicides by directly applying these substances to O. lignaria. In addition, they observed effects of spraying on foraging and nesting behavior, but could not demonstrate an effect under caged conditions (Ladurner et al. 2008). Our results do favor an effect of farming practices on the number of occupied nesting tubes, though we cannot relate it to a specific cause, such as application of fungicide or insecticides, as there are additional differences in organic and conventional farming such as tree density and use of fertilizers that could have caused the observed differences between types of farming.
4.5 Length of nesting tubes
We further found a strong effect of tube length on sex ratio. Following the argument of Seidelmann (Seidelmann 2006; Seidelmann et al. 2010), this can be explained by shifts of maternal investments toward males due to a higher risk of parasitism caused by reduced tube length. His argument follows the idea that it is less costly to produce males, which are smaller than females, closer to the opening of a tube. If a female bee encounters a short tube, with an overall high predation risk for all nesting cells, it produces more males than females. So, in essence, we found that tubes of about 15 cm length or longer produce an even sex ratio.
5 CONCLUSION
For optimizing recruitment of native bee populations in the surrounding of apple orchards, we recommend to place nesting aids at the edge of fields, as these have a much higher number of occupied nesting tubes than nesting aids placed inside an orchard. Further, it provides an efficient way to attract natural occurring bees to nest there and in addition promotes the distribution of bees across the orchard, as no crossing of lines of trees is required. For O. bicornis, we further recommend to use nesting tubes with about 15–20 cm in length to achieve an about even sex ratio, hence favoring the production of more pollination effective females. A sex ratio towards females is beneficial as females contribute substantially more to pollination by provisioning brood cells with collected pollen, whereas males do have a much lower pollinating effect due to the lack of provisioning flights (Bosch and Blas 1994). To achieve a high pollination effort inside an orchard, placements of nesting aids every 50–100 m depending on the shape of the orchard may prove to be necessary as dispersal across lines of trees is limited. In addition to this, release of bees inside an orchard seems to be very important as density of bees inside orchard is much lower compared to the edge of orchards. Following preliminary results from a recent field experiment we could demonstrate that dispersal distance across lines of trees was very low past 100 m. Recruitment can be optimized further by additional food supply, if no other food resources after the blossom of the main orchard tree are available.
REFERENCES
Aizen, M.A., Garibaldi, L.A., Cunningham, S.A., Klein, A.M. (2009) How much does agriculture depend on pollinators? Lessons from long-term trends in crop production. Ann. Bot. 103, 1579–1588
Baptista, A.P.M., Carvalho, G.A., Carvalho, S.M., Carvalho, C.F., Bueno, J.S.D. (2009) Toxicity of pesticides used in citrus crop to Apis mellifera. Cienc, Rural. 39
Beil, M., Horn, H., Schwabe, A. (2008) Analysis of pollen loads in a wild bee community (Hymenoptera: Apidae)—a method for elucidating habitat use and foraging distances. Apidologie 39, 456–467
Biliński, M., Teper, D. (2004) Rearing and utilization of the red mason bee—Osmia rufa L. (Hymenoptera, Megachilidae) for orchard pollination. J. Apic. Sci. 48, 69–74
Bosch, J. (1992) Osmia cornuta Latr. (Hymenoptera: Megachilidae) como polinizador potencial de almendros. PhD thesis, University of Barcelona, Barcelona
Bosch, J., Blas, M. (1994) Foraging behavior and pollinating efficiency of Osmia cornuta and Apis mellifera on almond (Hymenoptera, Megachilidae and Apidae). Appl. Entomol. Zoolog. 29, 1–9
Bosch, J., Kemp, W.P. (2002) Developing and establishing bee species as crop pollinators: the example of Osmia spp. (Hymenoptera: Megachilidae) and fruit trees. Bull. Entomol. Res. 92, 3–16
Buchmann, S.L., Nabhan, G.P. (1996) The forgotten pollinators. Island Press, Washington, D.C
Cox-Foster, D.L., Conlan, S., Holmes, E.C., Palacios, G., Evans, J.D., Moran, N.A., Quan, P.L., Briese, T., Hornig, M., Geiser, D.M., Martinson, V., vanEngelsdorp, D., Kalkstein, A.L., Drysdale, A., Hui, J., Zhai, J.H., Cui, L.W., Hutchison, S.K., Simons, J.F., Egholm, M., Pettis, J.S., Lipkin, W.I. (2007) A metagenomic survey of microbes in honey bee colony collapse disorder. Science 318, 283–287
Elith, J., Leathwick, J.R., Hastie, T. (2008) A working guide to boosted regression trees. J. Anim. Ecol. 77, 802–813
Gathmann, A., Tscharntke, T. (2002) Foraging ranges of solitary bees. J. Anim. Ecol. 71, 757–764
Giejdasz, K., Wilkaniec, Z., Piech, K. (2005) Effects of seed onion pollination by red mason bee females Osmia rufa L. (Apoidea; Megachilidae) with different body weights. J. Apic. Sci. 49, 21–27
Goodell, K. (2003) Food availability affects Osmia pumila (Hymenoptera: Megachilidae) foraging, reproduction, and brood parasitism. Oecologia 134, 518–527
Hole, D.G., Perkins, A.J., Wilson, J.D., Alexander, I.H., Grice, P.V., Evans, A.D. (2005) Does organic farming benefit biodiversity? Biol. Conserv. 122, 113–130
Kevan, P.G., Phillips, T.P. (2001) The economic impacts of pollinator declines: an approach to assessing the consequences. Conserv. Ecol. 5, 8
Klein, A.-M., Vaissiere, B.E., Cane, J.H., Steffan-Dewenter, I., Cunningham, S.A., Kremen, C., Tscharntke, T. (2007) Importance of pollinators in changing landscapes for world crops. Proc. R. Soc. Lond. B Biol Sci. 274, 303–313
Kluser S., Peduzzi P. (2007) Global pollinator decline: a literature review. Unep/Grid-Europe.
Kremen, C., Williams, N.M., Thorp, R.W. (2002) Crop pollination from native bees at risk from agricultural intensification. Proc. Nat. Acad. Sci. U S A. 99, 16812–16816
Ladurner, E., Bosch, J., Kemp, W.P., Maini, S. (2005) Assessing delayed and acute toxicity of five formulated fungicides to Osmia lignaria Say and Apis mellifera. Apidologie 36, 449–460
Ladurner, E., Bosch, J., Kemp, W.P., Maini, S. (2008) Foraging and nesting behavior of Osmia lignaria (Hymenoptera: megachilidae) in the presence of fungicides: cage studies. J. Econ. Entomol. 101, 647–653
Ladurner, E., Recla, L., Wolf, M., Zelger, R., Burgio, G. (2004) Osmia cornuta (Hymenoptera Megachilidae) densities required for apple pollination: a cage study. J. Apic. Res. 43, 118–122
Neumann, P., Carreck, N.L. (2010) Honey bee colony losses. J. Apic. Res. 49, 1–6
Oliveira, R., Schlindwein, C. (2009) Searching for a manageable pollinator for acerola orchards: the solitary oil-collecting bee Centris analis (Hymenoptera: Apidae: Centridini). J. Econ. Entomol. 102, 265–273
Potts, S.G., Roberts, S.P.M., Dean, R., Marris, G., Brown, M.A., Jones, R., Neumann, P., Settele, J. (2010) Declines of managed honey bees and beekeepers in Europe. J. Apic. Res. 49, 15–22
Potts, S.G., Vulliamy, B., Dafni, A., Ne'eman, G., Willmer, P. (2003) Linking bees and flowers: how do floral communities structure pollinator communities? Ecology 84, 2628–2642
Rader, R., Howlett, B.G., Cunningham, S.A., Westcott, D.A., Newstrom-Lloyd, L.E., Walker, M.K., Teulon, D.A.J., Edwards, W. (2009) Alternative pollinator taxa are equally efficient but not as effective as the honeybee in a mass flowering crop. J. Appl. Ecol. 46, 1080–1087
Seidelmann, K. (2006) Open-cell parasitism shapes maternal investment patterns in the Red Mason bee Osmia rufa. Behav. Biol. 17, 839–848
Seidelmann, K., Ulbrich, K., Mielenz, N. (2010) Conditional sex allocation in the Red Mason bee, Osmia rufa. Behav. Ecol. Sociobiol. 64, 337–347
Sheffield, C.S., Kevan, P.G., Westby, S.M., Smith, R.F. (2008) Diversity of cavity-nesting bees (Hymenoptera: Apoidea) within apple orchards and wild habitats in the Annapolis Valley, Nova Scotia, Canada. Can. Entomol. 140, 235–249
Skerl, M.I.S., Bolta, S.V., Cesnik, H.B., Gregorc, A. (2009) Residues of pesticides in honeybee (Apis mellifera carnica) bee bread and in pollen loads from treated apple orchards. Bull. Environ. Contam. Toxicol. 83, 374–377
Steffan-Dewenter, I., Schiele, S. (2008) Do resources or natural enemies drive bee population dynamics in fragmented habitats? Ecology 89, 1375–1387
Tepedino, V., Alston, D., Bradley, B., Toler, T., Griswold, T. (2007) Orchard pollination in Capitol Reef National Park, Utah, USA. Honey bees or native bees? Biodiv. Conserv. 16, 3083
Teper, D., Bilinski, M. (2009) Red mason bee (Osmia rufa L.) as a pollinator of rape plantations. J. Apic. Sci. 53, 115–120
Torchio, P.F. (1990) Diversification of pollination strategies for U.S. crops. Environmental Entomology 19, 1649–1656
Tuell, J.K., Ascher, J.S., Isaacs, R. (2009) Wild bees (Hymenoptera: Apoidea: Anthophila) of the Michigan Highbush Blueberry agroecosystem. Ann. Entomol. Soc. Am. 102, 275–287
van Engelsdorp D., Evans J.D., Saegerman C., Mullin C., Haubruge E., Nguyen B.K., Frazier M., Frazier J., Cox-Foster D., Chen Y.P., Underwood R., Tarpy D.R., Pettis J.S. (2009) Colony Collapse Disorder: A Descriptive Study, Plos One 4.
Vicens, N., Bosch, J. (2000) Pollinating efficacy of Osmia cornuta and Apis mellifera (Hymenoptera: Megachilidae, Apidae) on 'red Delicious' apple. Environ. Entomol. 29, 235–240
Westphal, C., Steffan-Dewenter, I., Tscharntke, T. (2003) Mass flowering crops enhance pollinator densities at a landscape scale. Ecol. Lett. 6, 961–965
Williams, N.M., Kremen, C. (2007) Resource distributions among habitats determine solitary bee offspring production in a mosaic landscape. Ecol. Appl. 17, 910–921
Winfree, R. (2008) Pollinator-dependent crops: an increasingly risky business. Curr. Biol. 18, R968–R969
Wittmann, D., Klein, D., Schindler, M., Sieg, V., Blanke, M. (2005) Sind Obstanlagen geeignete Nahrungs- und Nisthabitate für Wildbienen? Erwerbs-Obstbau 47, 27–36
Zuur, A.F., Ieno, E.N., Elphick, C.S. (2009) A protocol for data exploration to avoid common statistical problems. Methods Ecol Evol. 1, 3–14
ACKNOWLEDGMENTS
This project was funded by the Helmholtz Association (VH-NG-247). We are especially thankful to the volunteers and the company of “Sachsenobst” for providing access to their orchards and very fruitful cooperation.
La gestion de la population d’ Osmia bicornis en vergers de pommier
abeilles solitaires / pollinisation / accroissement de la récolte / gestion / Apoidea
Über die Haltung der Roten Mauerbiene ( Osmia bicornis ) in Apfelplantagen.
Solitäre Bienen / Bestäubung / Ertragsteigerung / Management / Apoidea
Author information
Authors and Affiliations
Corresponding author
Additional information
Manuscript editor: Peter Rosenkranz
Electronic supplementary material
Below is the link to the electronic supplementary material.
Appendix 1
Effect of predictors of landscape structure on the occurrence of the Red Mason bee. Pre-selection using boosted regression trees; importance values for each predictor are given in brackets. (DOCX 41 kb)
Appendix 2
Effect of predictors of landscape structure on the abundance of the Red Mason bee. Pre-selection using boosted regression trees; importance values for each predictor are given in brackets. (DOCX 45 kb)
Rights and permissions
Open Access This is an open access article distributed under the terms of the Creative Commons Attribution Noncommercial License ( https://creativecommons.org/licenses/by-nc/2.0 ), which permits any noncommercial use, distribution, and reproduction in any medium, provided the original author(s) and source are credited.
About this article
Cite this article
Gruber, B., Eckel, K., Everaars, J. et al. On managing the red mason bee (Osmia bicornis) in apple orchards. Apidologie 42, 564–576 (2011). https://doi.org/10.1007/s13592-011-0059-z
Received:
Revised:
Accepted:
Published:
Issue Date:
DOI: https://doi.org/10.1007/s13592-011-0059-z








