Abstract
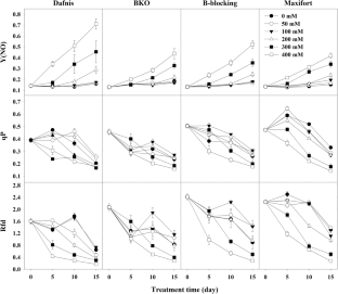
Chlorophyll fluorescence (CF) parameters, plant growth, and chlorophyll and proline content were investigated in the seedlings of four tomato (Solanum lycopersicum L.) cultivars (‘Dafnis’, ‘Maxifort’, ‘BKO’, and ‘B-blocking’) exposed to 0, 50, 100, 150, 200, 300, and 400 mM NaCl concentrations for 15 days. The maximum quantum yield (Fv/Fm) showed progressively decreased at 300 and 400 mM salt concentrations in all the cultivars, with the highest decrement in Dafnis. In contrast, the quantum yield of nonregulated energy dissipation in photosystem II (PSII) [Y(NO)] showed a reverse accumulation pattern at higher salt concentrations as the treatment time increased, regardless of the genotype. Other CF parameters, such as the coefficient of nonphotochemical quenching, excitation transfer efficiency from antenna pigments to the reaction center of PSII in the light-adapted state, effective quantum yield of photochemical energy conversion in PSII, nonphotochemical quenching, and the ratio of chlorophyll fluorescence decrease were lower at higher salt concentrations; however, some inconsistencies were observed at 5 and 10 days after the treatment time depending upon the cultivar and salt concentration. Growth parameters such as plant height, stem diameter, number of nodes, and shoot fresh and dry weight decreased by about 2.2–3.2, 1.1–1.6, 1.7–2.0, 3.1–6.8, and 1.8–3.2 times, respectively, in the salt-stressed cultivars. In the seedlings, the proline content significantly increased, with the highest increment observed in the seedlings treated with 100–200 mM salt concentration. Both chlorophyll a and b decreased as the salt concentration increased. Among the four cultivars, Dafnis showed the highest response to the salt concentrations with respect to all the parameters. In conclusion, our results suggest that the CF parameters Fv/Fm and Y(NO) can be used as indices for screening tomato genotypes with salt tolerance.
Access this article
We’re sorry, something doesn't seem to be working properly.
Please try refreshing the page. If that doesn't work, please contact support so we can address the problem.





Data availability
The datasets generated and/or analyzed during the study can be obtained from the corresponding author on request.
References
Abdelgawad KF, El-Mogy MM, Mohamed MIA, Garchery C, Stevens RG (2019) Increasing ascorbic acid content and salinity tolerance of cherry tomato plants by suppressed expression of the ascorbate oxidase gene. Agronomy 9:51. https://doi.org/10.3390/agronomy9020051
Acosta-Motos JR, Ortuno MF, Bernal-Vicente A, Diaz-Vivancos P, Sanchez-Blanco MJ, Hernandez JA (2017) Plant responses to salt stress: adaptive mechanisms. Agronomy 7:18. https://doi.org/10.3390/agronomy7010018
Al-Harbi A, Hejazi A, Al-Omran A (2017) Responses of grafted tomato (Solanum lycopersicon L.) to abiotic stresses in Saudi Arabia. Saudi J Biol Sci 24:1274–1280. https://doi.org/10.1016/j.sjbs.2016.01.005
Allakhverdiev SI, Sakamoto A, Nishiyama Y, Inaba M, Murata N (2000) Ionic and osmotic effects of NaCl-induced inactivation of photosystems I and II in Synechococcus sp. Plant Physiol 123:1047–1056. https://doi.org/10.1104/pp.123.3.1047
Amini S, Ghobadi C, Yamchi A (2015) Proline accumulation and osmotic stress: an overview of P5CS gene in plants. J Plant Mol Biol Breed 3:44–55. https://doi.org/10.22058/jpmb.2015.17022
Bacarin MA, Deuner S, Paulinho da Silva FS, Cassol D, Silva DM (2011) Chlorophyll a fluorescence as indicative of the salt stress on Brassica napus L. Braz J Plant Physiol 23:245–253
Bates LS, Waldren RP, Teare ID (1973) Rapid determination of free proline for water-stress studies. Plant Soil 39:205–207. https://doi.org/10.1007/BF00018060
Bhandari SR, Kim YH, Lee JG (2018) Detection of temperature stress using chlorophyll fluorescence parameters and stress-related chlorophyll and proline content in paprika (Capsicum annuum L.) seedlings. Hortic Sci Technol 36:619–629. https://doi.org/10.12972/kjhst.20180062
Chaichi MR, Keshavarz-Afshar R, Lu B, Rostamza M (2017) Growth and nutrient uptake of tomato in response to application of saline water, biological fertilizer, and surfactant. J Plant Nutr 40:457–466
Cuartero J, Bolarin MC, Asins MJ, Moreno V (2006) Increasing salt tolerance in the tomato. J Exp Bot 57:1045–1058. https://doi.org/10.1093/jxb/erj102
De Oliveira AB, Alencar NLM, Gomes-Filho E (2013) Comparison between the water and salt stress effects on plant growth and development. In: Akinci S (ed) Responses of organisms to water stress. IntechOpen, London, pp 67–94. https://doi.org/10.5772/54223
FAO (2017) Agricultural statistical database. http://www.fao.org/faostat/en/?#data/QC. Accessed 05 May 2019
Foyer CH, Harbison J (1994) Oxygen metabolism and the regulation of photosynthetic electron transport. In: Foyer CH, Mullineaux P (eds) Causes of photooxidative stresses and amelioration of defense systems in plants. CRC Press, Boca Raton, pp 1–42
Garcia-Caparros P, Lao MT (2018) The effects of salt stress on ornamental plants and integrative cultivation practices. Sci Hortic 240:430–439. https://doi.org/10.1016/j.scienta.2018.06.022
Gong B, Wen D, VandenLangenberg K, Wei M, Yang F, Shi Q, Wang X (2013) Comparative effect of NaCl and NaHCO3 stress on photosynthetic parameters, nutrient metabolism, and the antioxidant system in tomato leaves. Sci Hortic 157:1–12. https://doi.org/10.1016/j.scienta.2013.03.032
Gorbe E, Calatayud A (2012) Application of chlorophyll fluorescence imaging technique in horticultural research. Sci Hortic 138:24–35. https://doi.org/10.1016/j.scienta.2012.02.002
Goussi R, Manaa A, Derbali W, Cantamessa S, Abdelly C, Barbato R (2018) Comparative analysis of salt stress, duration and intensity, on the chloroplast ultrastructure and photosynthetic apparatus in Thellungiella salsugina. J Photochem Photobiol B Biol 183:275–287. https://doi.org/10.1016/j.jphotobiol.2018.04.047
He Y, Zhu Z, Yang J, Ni X, Zhu B (2009) Grafting increases the salt tolerance of tomato by improvement of photosynthesis and enhancement of antioxidant enzymes activity. Environ Exp Bot 66:270–278. https://doi.org/10.1016/j.envexpbot.2009.02.007
Hossain MM, Nonami H (2012) Effect of salt stress on physiological response of tomato fruit grown in hydroponic system. Hortic Sci (Prague) 39:26–32
Im JS, Cho JH, Cho KS, Chang DC, Jin YI, Yu HS, Kim WY (2016) Effect of salinity stress on growth, yield, and proline accumulation of cultivated potatoes (Solanum tuberosum L.). Korean J Hortic Sci Technol 34:818–829. https://doi.org/10.12972/kjhst.20160086
Kalaji HM, Jajoo A, Oukarroum A, Brestic M, Zivcak M, Samborska IA, Cetner MD, Lukasik I, Goltsev V, Ladle RJ (2016) Chlorophyll a fluorescence as a tool to monitor physiological status of plants under abiotic stress conditions. Acta Physiol Plant 38:102. https://doi.org/10.1007/s11738-016-2113-y
Kissoudis C, Sunarti S, van de Wiel C, Visser RGF, van der Linden CG, Bai Y (2016) Responses to combined abiotic and biotic stress in tomato are governed by stress intensity and resistance mechanism. J Exp Bot 67:5119–5132. https://doi.org/10.1093/jxb/erw285
Li G, Wan S, Zhou J, Yang Z, Qin P (2010) Leaf chlorophyll fluorescence, hyperspectral reflectance, pigments content, malondialdehyde and proline accumulation responses of castor bean (Ricinus communis L.) seedlings to salt stress level. Ind Crops Prod 31:13–19. https://doi.org/10.1016/j.indcrop.2009.07.015
Lichtenthaler HK, Langsdorf G, Lenk S, Buschmann C (2005) Chlorophyll fluorescence imaging of photosynthetic activity with the flash-lamp fluorescence imaging system. Photosynthetica 43:355–369. https://doi.org/10.1007/s11099-005-0060-8
Lu C, Nianwei Q, Wang B, Zhang J (2003) Salinity treatment shows no effects on photosystem II photochemistry, but increases the resistance of photosystem II to heat stress in halophyte Suaeda salsa. J Exp Bot 54:851–860. https://doi.org/10.1093/jxb/erg080
Maggio A, Raimondi G, Martino A, De Pascale S (2007) Salt stress response in tomato beyond the salinity tolerance threshold. Environ Exp Bot 59:276–282. https://doi.org/10.1016/j.envexpbot.2006.02.002
Mansour MMF, Ali EF (2017) Evaluation of proline functions in saline conditions. Phytochemistry 140:52–68. https://doi.org/10.1016/j.phytochem.2017.04.016
Maxwell K, Johnson GN (2000) Chlorophyll fluorescence—a practical guide. J Exp Bot 51:659–668. https://doi.org/10.1093/jexbot/51.345.659
Moradi F, Ismail A (2007) Responses of photosynthesis, chlorophyll fluorescence and ROS-scavenging systems to salt stress during seedling and reproductive stages in rice. Ann Bot 99:1161–1173. https://doi.org/10.1093/aob/mcm052
Munns R, Tester M (2008) Mechanisms of salinity tolerance. Ann Rev Plant Biol 59:651–681. https://doi.org/10.1146/annurev.arplant.59.032607.092911
Murata N, Takahashi S, Nishiyama Y, Allakhverdiev SI (2007) Photoinhibition of photosystem II under environmental stress. Biochem Biophy Acta 1767:414–421. https://doi.org/10.1016/j.bbabio.2006.11.019
Murchie EH, Lawson T (2013) Chlorophyll fluorescence analysis: a guide to good practice and understanding some new applications. J Exp Bot 64:3983–3998. https://doi.org/10.1093/jxb/ert208
Negrao S, Schmockel SM, Tester M (2017) Evaluating physiological responses of plants to salinity stress. Ann Bot 119:1–11. https://doi.org/10.1093/aob/mcw191
Oztekin GB, Tuzel Y (2011) Comparative salinity responses among tomato genotypes and rootstocks. Pak J Bot 43:2665–2672
Reddy INBL, Kim B-K, Yoon I-S, Kim K-H, Kwon T-R (2017) Salt tolerance in rice: focus on mechanisms and approaches. Rice Sci 24:123–144. https://doi.org/10.1016/j.rsci.2016.09.004
Singh J, Sastry EVD, Singh V (2012) Effect of salinity on tomato (Lycopersicum esculentum Mill.) during seed germination stage. Physiol Mol Biol Plants 18:45–50. https://doi.org/10.1007/s12298-011-0097-z
Stepien P, Johnson GN (2009) Contrasting responses of photosynthesis to salt stress in the glycophyte Arabisopsis and the halophyte Thellungiella: role of plastid terminal oxidase as an alternative election sink. Plant Physiol 149:1154–1165. https://doi.org/10.1104/pp.108.132407
Taffouo VD, Nouck AH, Dibong SD, Amougou A (2010) Effects of salinity stress on seedling growth, numeral nutrients, and total chlorophyll of some tomato (Lycopersicum esculentum, L.) cultivars. Afr J Biotechnol 9:5366–5372
Trovato M, Mattioli R, Costantino P (2008) Multiple roles of proline in plant stress tolerance and development. Rend Lincei Sci Fis Nat 19:325–346. https://doi.org/10.1007/s12210-008-0022-8
Verslues PE, Sharma S (2010) Proline metabolism and its implications for plant-environment interaction. Arabidopsis Book 8:e0140. https://doi.org/10.1199/tab.0140
Warren CR (2008) Rapid measurement of chlorophylls with a mircoplate reader. J Plant Nutr 31:1321–1332. https://doi.org/10.1080/01904160802135092
Wei P, Yang Y, Fang M, Wang F, Chen H (2016) Physiological response of young seedlings from five accessions of Diospyros L. under salinity stress. Korean J Hortic Sci Technol 34:564–577. https://doi.org/10.12972/kjhst.20160058
Zhang P, Senge M, Dai Y (2016) Effect of salinity stress on growth, yield, fruit quality and water use efficiency of tomato under hydroponics system. Rev Agric Sci 4:46–55. https://doi.org/10.7831/ras.4.46
Zhang P, Senge M, Dai Y (2017) Effect of salinity stress at different growth stages on tomato growth, yield, and water-use efficiency. Commun Soil Sci Plant Anal 48:624–634. https://doi.org/10.1080/00103624.2016.1269803
Zhao F, Guo Y, Huang Y, Verhoef W, van der Tol C, Dai B, Liu L, Zhao H, Liu G (2015) Quantitative estimation of fluorescence parameters for crop leaves with bayesian inversion. Remote Sens 7:14179–14199. https://doi.org/10.3390/rs71014179
Zhu JK (2002) Salt and drought stress signal transduction in plants. Ann J Plant Biol 14:267–273. https://doi.org/10.1146/annurev.arplant.53.091401.143329
Zribi L, Fatma G, Fatma R, Salwa R, Hassan N, Neejib RM (2009) Application of chlorophyll fluorescence for the diagnosis of salt stress in tomato ‘‘Solanum lycopersicum (variety Rio Grande)”. Sci Hortic 120:367–372. https://doi.org/10.1016/j.scienta.2008.11.025
Zushi K, Matsuzoe N (2017) Using a chlorophyll a fluorescence OJIP transients for sensing salt stress in the leaves and fruits of tomato. Sci Hortic 219:216–221. https://doi.org/10.1016/j.scienta.2017.03.016
Acknowledgements
This study was supported by the National Institute of Horticultural & Herbal Science, Rural Development Administration, Korea (PJ013561022019), and Basic Science Research Program through the National Research Foundation of Korea (NRF) funded by the Ministry of Education (No. 2019R1A6A1A09031717).
Author information
Authors and Affiliations
Contributions
YKS grew the seedlings, performed the experiment, and analyzed the data. SRB analyzed the data and wrote the manuscript. MCC revised the manuscript. JGL designed the experiment, analyzed the data, and revised the manuscript.
Corresponding author
Ethics declarations
Conflict of interest
The authors declare that they have no conflict of interest.
Additional information
Communicated by Sung Kyeom Kim.
Publisher's Note
Springer Nature remains neutral with regard to jurisdictional claims in published maps and institutional affiliations.
Rights and permissions
About this article
Cite this article
Shin, Y.K., Bhandari, S.R., Cho, M.C. et al. Evaluation of chlorophyll fluorescence parameters and proline content in tomato seedlings grown under different salt stress conditions. Hortic. Environ. Biotechnol. 61, 433–443 (2020). https://doi.org/10.1007/s13580-020-00231-z
Received:
Revised:
Accepted:
Published:
Issue Date:
DOI: https://doi.org/10.1007/s13580-020-00231-z