Abstract
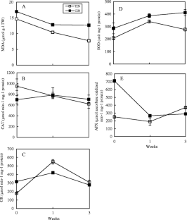
A suitable bioreactor system for large scale embryo-to-plantlets conversion of Kalopanax septemlobus was established. In temporary immersion with net (TIN) bioreactor, 85% of embryos successfully produced plantlets whereas in continuous immersion with net (CIN) bioreactor, only conversion rate of 29.3% was obtained. Embryos cultured in TIN bioreactor produced more vigorous plantlets in terms of fresh weight, height, root length, roots and leaves quantity. In CIN bioreactor, Kalopanax plantlets showed high malondialdehyde (MDA) content and increased activities of reactive oxygen species (ROS)-processing enzymes, such as ascorbate peroxidase (APX) and glutathione reductase (GR) indicating the occurrence of oxidative stress. However, superoxide dismutase (SOD) and catalase (CAT) showed similar activities in plantlets grown in different bioreactors. Kalopanax plantlets grown in both TIN and CIN bioreactors were harvested and transferred to greenhouse for their acclimatization. Plantlets grown in CIN bioreactor exhibited low survival rate (75.8%) compared to those grown in TIN bioreactor (100%). MDA content decreased with progression of acclimatization indicating a decrease in oxidative stress. However, MDA level in CIN derived plantlets was higher than TIN derived plantlets. In TIN derived plantlets, an increase in SOD and GR activities were observed after 1 week and thereafter decreased. CAT activity decreased while APX activity started to increase after 1 week of acclimatization. The results indicated that Kalopanax plantlets were able to overcome oxidative stress mainly through SOD activity. However, levels of antioxidant enzyme activities were higher in CIN derived plantlets than TIN derived plantlets. Kalopanax plantlets obtained from TIN bioreactor performed better during the acclimatization phase and showed higher survival rate than material obtained on CIN bioreactor or conventional culture systems.




Similar content being viewed by others
Abbreviations
- APX:
-
ascorbate peroxidase
- CAT:
-
catalase
- CIN:
-
continuous immersion with net
- GA3 :
-
gibberellic acid
- GR:
-
glutathione reductase
- MDA:
-
Malondialdehyde
- MS:
-
Murashige and Skoog’s medium
- PPF:
-
photosynthetic photon flux
- ROS:
-
reactive oxygen species
- SOD:
-
Superoxide dismutase
- TI:
-
temporary immersion
- TIN:
-
temporary immersion with net
References
Aebi H (1974) Catalases. In: Bergmeyer HU (ed) Methods of enzymatic analysis. Academic, NY, pp 673–684
Ahmed S, Nawata E, Hosokawa M, Domae Y, Sakuratani T (2002) Alterations in photosynthesis and some antioxidant enzymatic activities of mungbean subjected to waterlogging. Plant Sci 163:117–123
Aitken-Christie J (1991) Automation. In: Debergh PC, Zimmerman RJ (eds) Micropropagation: Technology and application. Kluwer Academic Publishers, Dordrecht, pp 363–388
Bailly C, Benamar A, Corbineau F, Dôme D (1996) Changes in malondialdehyde content and in superoxide dismutase, catalase and glutathione reductase activities in sunflower seed as related to deterioration during accelerated aging. Physiol Plant 97:104–110
Berthouly M, Dufour M, Alvard D, Carasco C, Alemanno L, Teisson C (1995) Coffee micropropagation in a liquid medium using the temporary immersion technique. In: ASIC Publishers (eds) Proceedings of the 16th international scientific Colloquim on Coffee, Kyoto, Japan. Vevey, Switzerland, pp 514–519
Beyer WF, Fridovich I (1987) Assaying for superoxide dismutase activity: some large consequences of minor changes in condition. Anal Biochem 161:559–566
Bradford MM (1976) A rapid and sensitive method for the quantitation of microgram quantities of protein utilizing the principle of protein-dye binding. Anal Biochem 72:248–254
Cabasson C, Alvard D, Dambier D, Ollitrault P, Teisson C (1997) Improvement of Citrus somatic embryos development by temporary immersion. Plant Cell Tiss Org Cult 50:33–37
Chakrabarty D, Datta SK (2008) Micropropagation of gerbera: lipid peroxidation and antioxidant enzymes activities during acclimatization process. Acta Physiol Plant 30:325–331
Chakrabarty D, Park SY, Ali MB, Shin KS, Paek KY (2006) Hyperhydricity in apple: ultrastuctural and physiological aspects. Tree Physiol 26:377–388
Chen GX, Asada K (1989) Ascorbate peroxidase in tea leaves: occurrence of two isozymes and the differences in their enzymatic and molecular properties. Plant Cell Physiol 30:987–998
Choi JW, Huh K, Kim SH, Lee KT, Park HJ, Han YN (2002) Actinociceptive and anti-rhumatoidal effects of Kalopanax pictus extract and its saponin components in experimental animals. J Ethnopharmacol 79:199–204
Cuenca B, San-Jose MC, Martinez MT, Ballester A, Vieitez AM (1999) Somatic embryogenesis from stem and leaf explants of Quercus robur L. Plant Cell Rep 18:538–543
Dewir YH, Chakrabarty D, Hahn EJ, Paek KY (2005) Reversion of inflorescence development in Euphorbia millii and its application to large-scale micropropagation in an air-lift bioreactor. J Hortic Sci Biotech 80:581–587
Dewir YH, Chakrabarty D, Ali MB, Hahn EJ, Paek KY (2006) Lipid peroxidation and antioxidant enzyme activities of Euphorbia millii hyperhydric shoots. Environ Exp Bot 58:93–99
Ducos J-P, Lambot C, Pétiard V (2007) Bioreactors for coffee mass propagation by somatic embryogenesis. Int J Plant Dev Biol 1:1–12
Etienne H, Berthouly M (2002) Temporary immersion systems in plant micropropagation. Plant Cell Tiss Org Cult 69:215–231
Etienne H, Lartaud M, Michaux-Ferriere N, Carron MP, Berthouly M, Teisson C (1997) Improvement of somatic embryogenesis in Hevea brasiliensis (Müll. Arg) using the temporary immersion technique. In Vitro Cell Dev-Pl 33:81–87
González EJ (2005) Mass propagation of tropical crops in temporary immersion systems. In: Hvoslef-Eide AK, Preil W (eds) Liquid culture systems for in vitro plant propagation. Springer, Berlin, pp 197–211
Heath RL, Packer L (1968) Photoperoxidation in isolated chloroplasts. I. Kinetics and stoichiometry of fatty acid peroxidation. Arch Biochem Biophy 125:189–198
Horemans N, Foyer CH, Potters G, Asard H (2000) Ascorbate function and associated transport systems in plants. Plant Physiol Biochem 38:531–540
Kosky RG, Perozo JV, Valero NA, Peñalver DA (2005) Somatic embryo germination of Psidium guajava L. in the RITA_temporary immersion system and on solid medium. In: Hvoslef-Eide AK, Preil W (eds) Liquid culture systems for in vitro plant propagation. Springer, The Netherlands, pp 225–229
Lee EB, Li DW, Hyun JE, Kim IH, Whang WK (2001) Antiinflammatory activity of methanol extract of Kalopanax pictus bark and its fractions. J Ethnopharmacol 77:197–201
Lichtenthaler HK (1987) Chlorophyll and carotenoides: pigments of photosynthetic biomembranes. Methods Enzymol 148:350–382
Moon HK, Kim SH, Kim BK (2002) Micropropagation of Kalopanax pictus Nakai via axillary bud culture. J Kor Forest Soc 91:775–780
Moon HK, Kim YW, Lee JS, Choi YE (2005) Micropropagation of Kalopanax pictus tree via somatic embryogenesis. In Vitro Cell Dev-Pl 41:303–306
Moon HK, Park SY, Kim YW, Kim SH (2008) Somatic embryogenesis and plantlet production using rejuvenated tissues from serial grafting of a mature Kalopanax septemlobus tree. In Vitro Cell Dev-Pl 44:119–127
Murashige T, Skoog FA (1962) A revised medium for rapid growth and bioassays with tobacco tissue cultures. Physiol Plantarum 15:473–479
Paek KY, Chakrabarty D, Hahn EJ (2005) Application of bioreactor system for large scale production of horticultural and medicinal plants. In: Hvoslef-Eide AK, Preil W (eds) Liquid culture systems for in vitro plant propagation. Springer, New York, pp 95–116
Park HJ, Kim DH, Choi JW, Park JH, Han YN (1998) A potent antidiabetic agent from Kalopanax pictus. Arch Pharm Res 21:24–29
Peltzer D, Dreyer E, Polle A (2002) Differential temperature dependencies of antioxidative enzymes in two contrasting species: Fagus sylvatica and Coleus blumei. Plant Physiol Biochem 40:141–150
Sairam RK, Tyagi A (2004) Physiology and molecular biology of salinity stress tolerance in plants. Curr Sci 86:407–421
Sato K (1998) A stratification procedure to accelerate the germination of Kalopanax pictus. J Jap Forest Soc 80:279–282
Smith IK, Vierheller TL, Thorne CA (1988) Assay of glutathione reductase in crude tissue homogenates using 5, 5′-dithiobis (2-nitrobenzoic acid). Anal Biochem 175:408–413
Teisson C, Alvard D (1995) A new concept of plant in vitro cultivation liquid medium: temporary immersion. In: Terzi M (ed) Current issues in plant molecular and cellular biology. Kluwer Acad Publ, Dordrecht, pp 105–110
Yeoung YR, Lee MH, Kim BS, Kim HK, Kim JH (2001) Seed germination and softwood cutting technique of Kalopanax pictus Nakai. Korean J Plant Res 14:53–59
Yeung EC (1999) The use of histology in the study of plant tissue cultures systems-some practical comments. In Vitro Cell Dev-Pl 35:137–143
Ziv M (2005) Simple bioreactors for mass propagation of plants. In: Hvoslef-Eide AK, Preil W (eds) Liquid culture systems for in vitro plant propagation. Springer, Berlin, pp 79–94
Acknowledgment
This work was supported by grant No. FG 0701-1966-01 from the Korea Forest Research Institute.
Author information
Authors and Affiliations
Corresponding author
Rights and permissions
About this article
Cite this article
Kim, S.J., Dewir, Y.H. & Moon, H.K. Large-scale plantlets conversion from cotyledonary somatic embryos of Kalopanax septemlobus tree using bioreactor cultures. J. Plant Biochem. Biotechnol. 20, 241–248 (2011). https://doi.org/10.1007/s13562-011-0052-7
Received:
Accepted:
Published:
Issue Date:
DOI: https://doi.org/10.1007/s13562-011-0052-7

