Abstract
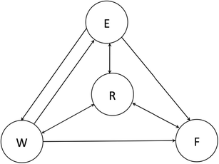
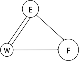
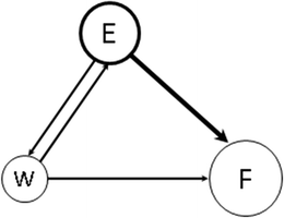
This paper presents relationships among food, energy, and water (FEW) systems, reflecting the interconnections among the energy/water, water/energy, water/food, and energy/food sectors. First, a unique approach uses metrics and quantification to reflect interdependencies among these sectors. Next, changes in food technology and practices are put forth in terms of impacts changes are likely to produce for a set of FEW system relationships. Organic farming or shifts in food consumption patterns, such as reduced meat consumption, are two examples of changes in food technology and practices that could affect water and energy use. From a policy perspective, changes in energy and water policy can potentially facilitate increased water conservation and greater use of renewable energy sources; such policy shifts are addressed in terms of changes to metrics and/or their values. The purpose of this work is to establish a network model that quantifies interdependencies among different sectors in terms of resource usage. The model is flexible and can accommodate other factors such as cyberphysical and logical interdependencies. The established model that these metrics provide inputs for enables analysis and design of the resilience mechanisms for FEW complex systems. Examples are used to illustrate the concepts developed in this work.
This is a preview of subscription content, access via your institution.






References
Amenumey SE, Capel PD (2014) Fertilizer consumption and energy input for 16 crops in the United States. Nat Resour Res 23(3):299–309
American Society of Civil Engineers (ASCE) (2013) 2013 Report card for America’s infrastructure. Available at http://www.infrastructurereportcard.org/
Blunden J, Arndt DS (2015) State of the climate in 2014. Bull Am Meteorol Soc 96(7):S1–S267. Available at http://ametsoc.org/soc-2014.pdf
Brandes U (2001) A faster algorithm for betweenness centrality. J Math Sociol 25(2):163–177
Buzby JC, Farah-Wells H, Hyman J (2014) The estimated amount, value, and calories of postharvest food losses at the retail and consumer levels in the United States. USDA-ERS Economic Information Bulletin 2014 Feb 1(121)
Canning P, Charles A, Huang S, Polenske KR, Waters A (2010) Energy use in the US food system. US Department of Agriculture, Economic Research Service, Washington, DC
Carter N (2010) Energy’s water demand: trends, vulnerabilities, and management. US Congress, Congressional Research Service, Washington, DC
Ceccarelli S (2014) GM crops, organic agriculture and breeding for sustainability. Sustainability 6(7):4273–4286
Chand S (2015) 9 Major limitations faced by input-output analysis. Available at http://www.yourarticlelibrary.com/economics/9majorlimitationsfacedbyinputoutputanalysiseconomics/28951/
Cook BI, Ault TR and Smerdon JE (2015) Unprecedented 21st century drought risk in the American Southwest and Central Plains. Science Advances 1 (1) DOI:10.1126/sciadv.1400082
Cooley L, Ved RR (2012) Scaling up—from vision to large‐scale change. A management framework for practitioners, second edition. http://www.msiworldwide.com/wp-content/uploads/MSI-Scaling-Up-Framework-2nd-Edition.pdf
Drinkwater LE, Letourneau DK, Workneh F, Van Bruggen AHC, Shennan C (1995) Fundamental differences between conventional and organic tomato agroecosystems in California. Ecol Appl 1098–1112
Fuglie K, MacDonald JM, Ball VE (2007) Productivity growth in US agriculture. USDA-ERS Economic Brief 9
Gelfand I, Snapp SS, Robertson GP (2010) Energy efficiency of conventional, organic, and alternative cropping systems for food and fuel at a site in the US Midwest. Environ Sci Technol 44(10):4006–4011
Gilbert N (2014) Cross-bred crops get fit faster. Nature 513:292. doi:10.1038/513292a
Guthrie J, Lin BH, Okrent A, Volpe R. (2013) Americans’ food choices at home and away: how do they compare with recommendations? Amber Waves 2013 Feb 1:33
Hadas Y, Ceder A (2010) Public transit network connectivity spatial-based performance indicators, 2143rd edn. Transportation Research Record: Journal of the Transportation Research Board, Transportation Research Board of the National Academies, Washington, DC, pp 1–8
Hamilton A, Balogh SB, Maxwell A, Hall CAS (2013) Efficiency of edible agriculture in Canada and the U.S. over the past three and four decades. Energies 6:1764–1793
Hill H (2009) Comparing energy used in conventional and organic cropping systems. ATTRA-National Sustainable Agriculture Information Service
Howard PH (2015) Intellectual property and consolidation in the seed industry. Crop Sci 55(6):2489–2495
Imamura F, Micha R, Khatibzadeh S, Fahimi S, Shi P, Powles J, Mozaffarian D, Global Burden of Diseases Nutrition and Chronic Diseases Expert Group (NutriCoDE) (2015) Dietary quality among men and women in 187 countries in 1990 and 2010: a systematic assessment. Lancet Glob Health 3(3):e132–e142
Intergovernmental Panel on Climate Change (IPCC) WGII AR5 Climate Change (2014) Impacts, adaptation, and vulnerability. Summary for Policymakers. Available at https://ipcc-wg2.gov/AR5/images/uploads/IPCC_WG2AR5_SPM_Approved.pdf
Kearney J (2010) Food consumption trends and drivers. Philos Trans R Soc B 365(1554):2793–2807
Kesmodel D (Oct. 25, 2015) California’s growers bear brunt of drought woes. Wall Street Journal. Available at http://www.wsj.com/articles/californias-growers-bear-brunt-of-drought-woes-1445765403
Kitzes J (2013) An introduction to environmentally-extended input-output analysis. Resources 2:489–503
Klümper W, Qaim M (2014) A meta-analysis of the impacts of genetically modified crops. PLoS One 9(11):e111629
Leontief W (1936) Quantitative input and output relations in the economic systems of the United States. Rev Econ Stat 18:105–125
Leontief W (1941) The structure of American economy, 1919–1929: an empirical application of equilibrium analysis. Harvard University Press, Cambridge, MA
Leontief W (1951) The structure of American economy, 1919–1939: an empirical application of equilibrium analysis-enlarged. Oxford University Press, New York
Leontief W (1966) Essays in economics: theories, theorizing, facts, and policies. Transaction Publishers, New York
Leontief W (1986) Input-output economics. Oxford University Press, New York
Lichtenberg E (2002) Agriculture and the environment. Handb Agric Econ 2:1249–1313
Medin J (2015) In drought-ridden California, the classic lawn loses. New York Times. Available at http://www.nytimes.com/2015/10/27/us/in-drought-ridden-california-the-classic-lawn-loses-ground.html. October 26.
Mekonnen MM, Hoekstra AY (2012) A global assessment of the water footprint of farm animal products ecosystems. Ecosystems 15:401–415. doi:10.1007/s10021-011-9517-8
Michulak P, Ulsh CZ, Reider C, Seidel R, Haberern J, Hepperly P (2004) Water, agriculture, and you. The Rodale Institute. Available at http://strauscom.com/rodale/way.pdf.
Miernyk WH (1967) The elements of input-output analysis. Random House
Monsanto (undated). Why does Monsanto sue farmers who save seeds? Available at http://www.monsanto.com/newsviews/pages/why-does-monsanto-sue-farmers-who-save-seeds.aspx
Motter AE, Lai Y-C (2002) Cascade-based attacks on complex networks. Phys Rev E 66:65–68
National Research Council, National Academies (2011) Sustainability and the US EPA. The National Academies Press, Washington, D.C
Newman MEJ (2010) Networks: an introduction. Oxford University Press, New York, NY
OFRF (2015) Organic sales, farm growth soar in 2014. Available at http://www.ofrf.org/news/organic-sales-farm-growth-soar-2014
Organisation for Economic Co-operation and Development (OECD), Input-output tables. Available at http://www.oecd.org/trade/input-outputtables.htm
Organisation for Economic Co-operation and Development (OECD) (2011) Reviews of risk management policies future global shocks improving risk governance. Available at http://www.oecd.org/governance/48329024.pdf
Penn State Extension (2015) Weed management in organic crops. Available at http://extension.psu.edu/pests/weeds/organic
Pimentel D, Pimentel M (2003) Sustainability of meat-based and plant-based diets and the environment. Am J Clin Nutr 78(3):660S–663S
Qaim M (2010) The benefits of genetically modified crops—and the costs of inefficient regulation, resources for the future. Available at http://www.rff.org/blog/2010/benefits-genetically-modified-crops-and-costs-inefficient-regulation
Reganold JP, Glover JD, Andrews PK, Hinman HR (2001) Sustainability of three apple production systems. Nature 410(6831):926–930
Rinaldi SM, Peerenboom JP, Kelly TK (2001) Identifying, understanding and analyzing critical infrastructure interdependencies. IEEE Control Syst Mag 11–25
Russo T, Lall U, Wen H, Williams M (2014) Assessment of trends in groundwater levels across the United States. Columbia Water Center, New York, NY
Smith LG, Williams AG, Pearce BD (2015) The energy efficiency of organic agriculture: a review. Renew Agric Food Syst 30:280–301. doi:10.1017/S1742170513000471
The National Association of Regulatory Utility Commissioners (2005) Utility and network interdependencies: what state regulators need to know., Technical assistance brief on critical infrastructure protection
Tilman D, Cassman KG, Matson PA, Naylor R, Polasky S (2002) Agricultural sustainability and intensive production practices. Nature 418(6898):671–677
Tuomisto HL, Hodge ID, Riordan P, Macdonald DW (2012) Does organic farming reduce environmental impacts?—a meta-analysis of European research. J Environ Manag 112:309–320
United Nations World Commission on Environment and Development (UN WCED) (1987) Our common future. Oxford University Press, Oxford
US Department of Agriculture (2015) USDA and EPA join with private sector, charitable organizations to set nation’s first food waste reduction goals. Press release Release No. 0257.15. Available at http://www.usda.gov/wps/portal/usda/usdahome?contentid=2015/09/0257.xml.
US Department of Agriculture, AMS (undated) The national organic program. Available at http://www.ams.usda.gov/about-ams/programs-offices/national-organic-program.
US Department of Agriculture, Economic Research Service (ERS) (2015) California drought: farms. Available at http://www.ers.usda.gov/topics/in-the-news/california-drought-farm-and-food-impacts/california-drought-farms.aspx
US Department of Energy (2013) Comparing the impacts of northeast hurricanes on energy infrastructure. [Online] Available from: http://energy.gov/sites/prod/files/2013/04/f0/Northeast%20Storm%20Comparison_FINAL_041513c.pdf
US Department of Energy (2014) The water-energy nexus: challenges and opportunities. US DOE, Washington, D.C. Available at http://www.energy.gov/sites/prod/files/2014/06/f16/Water%20Energy%20Nexus%20Report%20June%202014.pdf
US Department of Energy, Energy Efficiency & Renewable Energy (2015) Energy intensity indicators: indicators data. Available at http://www1.eere.energy.gov/analysis/eii_trend_data.html
US Department of Homeland Security (2010) Water and wastewater systems sector-specific plan an annex to the National Infrastructure Protection Plan. US DHS, Washington, DC. Available at http://www.dhs.gov/xlibrary/assets/nipp-ssp-water-(2010)pdf
US Department of Homeland Security (2013) 2013 partnering for critical infrastructure security and resilience. US DHS, Washington, DC. Available at https://www.dhs.gov/sites/default/files/publications/NIPP%202013_Partnering%20for%20Critical%20Infrastructure%20Security%20and%20Resilience_508_0.pdf
US-Canada Power System Outage Task Force (2004) Final report on the August 14th 2003 blackout in the United States and Canada: causes and recommendations. April 2004. Available at http://energy.gov/sites/prod/files/oeprod/DocumentsandMedia/BlackoutFinal-Web.pdf
Vale LJ (2014) The politics of resilient cities: whose resilience and whose city? Build Res Inf 42(2):191–201
Walsh J, et al (2014) Ch. 2: Our changing climate. Climate change impacts in the United States: The Third National Climate Assessment, In: Melillo, JM, Richmond, TC and Yohe, GW, Eds., US Global Change Research Program, 19-67. doi:10.7930/J0KW5CXT. pp. 19-67
Wasserman D, Faust K (2009) Social network analysis: methods and applications. Cambridge University Press, New York, NY
West PC, Gerber JS, Engstrom PM, Mueller ND, Brauman KA, Carlson KM, Cassidy ES, Johnston M, MacDonald GK, Ray DK, Siebert S (2014) Leverage points for improving global food security and the environment. Science 345(6194):325–328
Zhang TX, Lin, Rogers DH, FR Lamm (2015) Adaptation of irrigation infrastructure on irrigation demands under future drought in the USA. Earth Interactions. 05/2015; DOI:10.1175/EI-D-14-0035.1
Zimmerman R (2012) Transport, the environment and security. Making the connection. Cheltenham. Edward Elgar Publishing, Ltd, UK and Northampton, MA
Zimmerman R (2014a) Network attributes of critical infrastructure, vulnerability, and consequence assessment, Chapter 372. In: Deodatis G, Ellingwood BR, Frangopol DM (eds) Safety, reliability, risk and life-cycle performance of structures and infrastructures. Taylor & Francis Group, CRC Press, London, UK, pp 2777–2782
Zimmerman R (2014b) Planning restoration of vital infrastructure services following Hurricane Sandy: lessons learned for energy and transportation. J Extreme Events 1(1):1–38
Zimmerman R (2015) Resilient urban infrastructure for adapting to environmental disruptions. In: Seto KC, Solecki WD, Griffith CA (eds) Handbook on urbanization and global environmental change. Routledge, London, pp 488–512
Zimmerman R, Restrepo CE (2006) The next step: quantifying infrastructure interdependencies to improve security. Int J Crit Infrastruct 2(2/3):215–230
Acknowledgments
This paper is based upon work supported by the National Science Foundation under the following NSF grants: number 1441140 Resilient Interdependent Infrastructure Processes and Systems (RIPS) type 1—A meta-network system framework for resilient analysis and design of modern interdependent critical infrastructures; number 1541164 Critical Resilient Interdependent Infrastructure Systems and Processes (CRISP) type 1—Reductionist and integrative approaches to improve the resiliency of multi-scale interdependent critical infrastructure; and number 1444755 (Arizona State University lead)—Urban Resilience to Extreme Weather Related Events Sustainability Research Network (UREx SRN). Any opinions, findings, and conclusions or recommendations expressed in this material are those of the authors and do not necessarily reflect the views of the National Science Foundation. The authors gratefully acknowledge the input from the anonymous reviewers.
Author information
Authors and Affiliations
Corresponding author
Rights and permissions
About this article
Cite this article
Zimmerman, R., Zhu, Q. & Dimitri, C. Promoting resilience for food, energy, and water interdependencies. J Environ Stud Sci 6, 50–61 (2016). https://doi.org/10.1007/s13412-016-0362-0
Published:
Issue Date:
DOI: https://doi.org/10.1007/s13412-016-0362-0
Keywords
- Resilience
- Infrastructure interdependencies
- Food-energy-water production tradeoffs
- Organic agriculture
- Network analysis