Skip to main content

Altered Lamin A/C splice variant expression as a possible diagnostic marker in breast cancer

Abstract

Background

Lamin A/C alternative splice variants (Lamin A, Lamin C, Lamin AΔ10 and Lamin AΔ50) have been implicated in cell cycle regulation, DNA replication, transcription regulation, cellular differentiation, apoptosis and aging. In addition, loss of Lamin A/C expression has been observed in several cancers, including breast cancer, and it has been found that Lamin A/C suppression may lead to cancer-like aberrations in nuclear morphology and aneuploidy. Based on these observations, we hypothesized that Lamin A/C transcript variant quantification might be employed for the diagnosis of breast cancer.

Methods

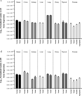
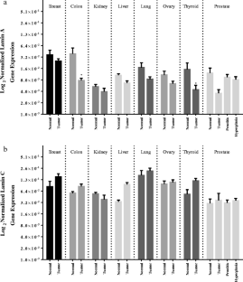
Newly designed TaqMan qRT-PCR assays for the analysis of Lamin A/C splice variants were validated and their use as biomarkers for the diagnosis of breast cancer was assessed using 16 normal breast tissues and 128 breast adenocarcinomas. In addition, the expression levels of the Lamin A/C transcript variants were measured in samples derived from seven other types of cancer.

Results

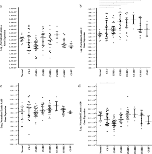
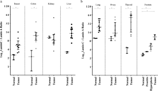
We found that the expression level of Lamin C was significantly increased in the breast tumors tested, whereas the expression levels of Lamin A and Lamin AΔ50 were significantly decreased. No significant change in Lamin AΔ10 expression was observed. Our data also indicated that the Lamin C : Lamin A mRNA ratio was increased in all clinical stages of breast cancer. Additionally, we observed increased Lamin C : Lamin A mRNA ratios in liver, lung and thyroid carcinomas and in colon, ovary and prostate adenocarcinomas.

Conclusions

From our data we conclude that the Lamin C : Lamin A mRNA ratio is increased in breast cancer and that this mRNA ratio may be of diagnostic use in all clinical stages of breast cancer and, possibly, also in liver, lung, thyroid, colon, ovary and prostate cancers.

This is a preview of subscription content, access via your institution.

Fig. 1
Fig. 2
Fig. 3
Fig. 4
Fig. 5
Fig. 6
Fig. 7
Fig. 8

References

  1. J.L. Broers, B.M. Machiels, G.J. van Eys, H.J. Kuijpers, E.M. Manders, R. van Driel, F.C. Ramaekers, Dynamics of the nuclear lamina as monitored by GFP-tagged A-type lamins. J. Cell Sci. 112(Pt 20), 3463–3475 (1999)

    CAS  PubMed  Google Scholar 

  2. A. Taddei, F. Hediger, F.R. Neumann, S.M. Gasser, The function of nuclear architecture: a genetic approach. Annu. Rev. Genet. 38, 305–345 (2004)

    CAS  Article  PubMed  Google Scholar 

  3. T. Shimi, R.D. Goldman, Nuclear lamins and oxidative stress in cell proliferation and longevity. Adv. Exp. Med. Biol. 773, 415–430 (2014)

    CAS  Article  PubMed  PubMed Central  Google Scholar 

  4. H. Cao, R.A. Hegele, LMNA is mutated in Hutchinson-Gilford progeria (MIM 176670) but not in Wiedemann-Rautenstrauch progeroid syndrome (MIM 264090). J. Hum. Genet. 48, 271–274 (2003)

    CAS  Article  PubMed  Google Scholar 

  5. A. De Sandre-Giovannoli, R. Bernard, P. Cau, C. Navarro, J. Amiel, I. Boccaccio, S. Lyonnet, C.L. Stewart, A. Munnich, M. Le Merrer, N. Levy, Lamin a truncation in Hutchinson-Gilford progeria. Science 300, 2055 (2003)

    Article  PubMed  Google Scholar 

  6. M. Eriksson, W.T. Brown, L.B. Gordon, M.W. Glynn, J. Singer, L. Scott, M.R. Erdos, C.M. Robbins, T.Y. Moses, P. Berglund, A. Dutra, E. Pak, S. Durkin, A.B. Csoka, M. Boehnke, T.W. Glover, F.S. Collins, Recurrent de novo point mutations in lamin A cause Hutchinson-Gilford progeria syndrome. Nature 423, 293–298 (2003)

    CAS  Article  PubMed  Google Scholar 

  7. B.M. Machiels, A.H. Zorenc, J.M. Endert, H.J. Kuijpers, G.J. van Eys, F.C. Ramaekers, J.L. Broers, An alternative splicing product of the lamin A/C gene lacks exon 10. J. Biol. Chem. 271, 9249–9253 (1996)

    CAS  Article  PubMed  Google Scholar 

  8. L. Mounkes, S. Kozlov, B. Burke, C.L. Stewart, The laminopathies: nuclear structure meets disease. Curr. Opin. Genet. Dev. 13, 223–230 (2003)

    CAS  Article  PubMed  Google Scholar 

  9. A. Muchir, H.J. Worman, The nuclear envelope and human disease. Physiology (Bethesda) 19, 309–314 (2004)

    CAS  Article  Google Scholar 

  10. D. McClintock, D. Ratner, M. Lokuge, D.M. Owens, L.B. Gordon, F.S. Collins, K. Djabali, The mutant form of lamin A that causes Hutchinson-Gilford progeria is a biomarker of cellular aging in human skin. PLoS One 2, e1269 (2007)

    Article  PubMed  PubMed Central  Google Scholar 

  11. B.C. Capell, F.S. Collins, Human laminopathies: nuclei gone genetically awry. Nat. Rev. Genet. 7, 940–952 (2006)

    CAS  Article  PubMed  Google Scholar 

  12. N. Sylvius, F. Tesson, Lamin A/C and cardiac diseases. Curr. Opin. Cardiol. 21, 159–165 (2006)

    Article  PubMed  Google Scholar 

  13. C.D. Capo-chichi, K.Q. Cai, J. Smedberg, P. Ganjei-Azar, A.K. Godwin, X.X. Xu, Loss of A-type lamin expression compromises nuclear envelope integrity in breast cancer. Chin. J. Cancer 30, 415–425 (2011)

    CAS  Article  PubMed  PubMed Central  Google Scholar 

  14. B.M. Machiels, J.L. Broers, Y. Raymond, L. de Ley, H.J. Kuijpers, N.E. Caberg, F.C. Ramaekers, Abnormal A-type lamin organization in a human lung carcinoma cell line. Eur. J. Cell Biol. 67, 328–335 (1995)

    CAS  PubMed  Google Scholar 

  15. C.D. Capo-chichi, B. Aguida, N.W. Chabi, Q.K. Cai, G. Offrin, V.K. Agossou, A. Sanni, X.-X. Xu, Lamin A/C deficiency is an independent risk factor for cervical cancer. Cell. Oncol. (2015). doi:10.1007/s13402-015-0252-6

  16. B. Stadelmann, E. Khandjian, A. Hirt, A. Luthy, R. Weil, H.P. Wagner, Repression of nuclear lamin A and C gene expression in human acute lymphoblastic leukemia and non-Hodgkin’s lymphoma cells. Leuk. Res. 14, 815–821 (1990)

    CAS  Article  PubMed  Google Scholar 

  17. R. Agrelo, F. Setien, J. Espada, M.J. Artiga, M. Rodriguez, A. Perez-Rosado, A. Sanchez-Aguilera, M.F. Fraga, M.A. Piris, M. Esteller, Inactivation of the lamin A/C gene by CpG island promoter hypermethylation in hematologic malignancies, and its association with poor survival in nodal diffuse large B-cell lymphoma. J. Clin. Oncol. 23, 3940–3947 (2005)

    CAS  Article  PubMed  Google Scholar 

  18. J.D. Debes, T.J. Sebo, H.V. Heemers, B.R. Kipp, D.L. Haugen, C.M. Lohse, D.J. Tindall, p300 modulates nuclear morphology in prostate cancer. Cancer Res. 65, 708–712 (2005)

    CAS  Article  PubMed  Google Scholar 

  19. L. Kong, G. Schafer, H. Bu, Y. Zhang, H. Klocker, Lamin A/C protein is overexpressed in tissue-invading prostate cancer and promotes prostate cancer cell growth, migration and invasion through the PI3K/AKT/PTEN pathway. Carcinogenesis 33, 751–759 (2012)

    CAS  Article  PubMed  Google Scholar 

  20. N.D. Willis, T.R. Cox, S.F. Rahman-Casans, K. Smits, S.A. Przyborski, P. van den Brandt, M. van Engeland, M. Weijenberg, R.G. Wilson, A. de Bruine, C.J. Hutchison, Lamin A/C is a risk biomarker in colorectal cancer. PLoS One 3, e2988 (2008)

    Article  PubMed  PubMed Central  Google Scholar 

  21. N.D. Willis, R.G. Wilson, C.J. Hutchison, Lamin A: a putative colonic epithelial stem cell biomarker which identifies colorectal tumours with a more aggressive phenotype. Biochem. Soc. Trans. 36, 1350–1353 (2008)

    CAS  Article  PubMed  Google Scholar 

  22. E.J. Belt, R.J. Fijneman, E.G. van den Berg, H. Bril, P.M. Delis-van Diemen, M. Tijssen, H.F. van Essen, E.S. de Lange-de Klerk, J.A. Belien, H.B. Stockmann, S. Meijer, G.A. Meijer, Loss of lamin A/C expression in stage II and III colon cancer is associated with disease recurrence. Eur. J. Cancer 47, 1837–1845 (2011)

    CAS  Article  PubMed  Google Scholar 

  23. P. Scaffidi, T. Misteli, Reversal of the cellular phenotype in the premature aging disease Hutchinson-Gilford progeria syndrome. Nat. Med. 11, 440–445 (2005)

    CAS  Article  PubMed  PubMed Central  Google Scholar 

  24. S. Rodriguez, F. Coppede, H. Sagelius, M. Eriksson, Increased expression of the Hutchinson-Gilford progeria syndrome truncated lamin A transcript during cell aging. Eur. J. Hum. Genet. 17, 928–937 (2009)

    CAS  Article  PubMed  PubMed Central  Google Scholar 

  25. J.I. Toth, S.H. Yang, X. Qiao, A.P. Beigneux, M.H. Gelb, C.L. Moulson, J.H. Miner, S.G. Young, L.G. Fong, Blocking protein farnesyltransferase improves nuclear shape in fibroblasts from humans with progeroid syndromes. Proc. Natl. Acad. Sci. U. S. A. 102, 12873–12878 (2005)

    CAS  Article  PubMed  PubMed Central  Google Scholar 

  26. C.L. Moulson, L.G. Fong, J.M. Gardner, E.A. Farber, G. Go, A. Passariello, D.K. Grange, S.G. Young, J.H. Miner, Increased progerin expression associated with unusual LMNA mutations causes severe progeroid syndromes. Hum. Mutat. 28, 882–889 (2007)

    CAS  Article  PubMed  Google Scholar 

  27. R. Al-Saaidi, P. Bross, Do lamin A and lamin C have unique roles? Chromosoma 124, 1–12 (2015)

    CAS  Article  PubMed  Google Scholar 

  28. I.C. Lopez-Mejia, M. de Toledo, C. Chavey, L. Lapasset, P. Cavelier, C. Lopez-Herrera, K. Chebli, P. Fort, G. Beranger, L. Fajas, E.Z. Amri, F. Casas, J. Tazi, Antagonistic functions of LMNA isoforms in energy expenditure and lifespan. EMBO Rep. 15, 529–539 (2014)

    CAS  Article  PubMed  PubMed Central  Google Scholar 

  29. J.L. Broers, B.M. Machiels, H.J. Kuijpers, F. Smedts, R. van den Kieboom, Y. Raymond, F.C. Ramaekers, A- and B-type lamins are differentially expressed in normal human tissues. Histochem. Cell Biol. 107, 505–517 (1997)

    CAS  Article  PubMed  Google Scholar 

  30. M.A. Eckersley-Maslin, J.H. Bergmann, Z. Lazar, D.L. Spector, Lamin A/C is expressed in pluripotent mouse embryonic stem cells. Nucleus 4, 53–60 (2013)

    Article  PubMed  PubMed Central  Google Scholar 

  31. R.A. Rober, K. Weber, M. Osborn, Differential timing of nuclear lamin A/C expression in the various organs of the mouse embryo and the young animal: a developmental study. Development 105, 365–378 (1989)

    CAS  PubMed  Google Scholar 

  32. J. Swift, I.L. Ivanovska, A. Buxboim, T. Harada, P.C. Dingal, J. Pinter, J.D. Pajerowski, K.R. Spinler, J.W. Shin, M. Tewari, F. Rehfeldt, D.W. Speicher, D.E. Discher, Nuclear lamin-A scales with tissue stiffness and enhances matrix-directed differentiation. Science 341, 1240104 (2013)

    Article  PubMed  PubMed Central  Google Scholar 

  33. H.J. Jung, J.M. Lee, S.H. Yang, S.G. Young, L.G. Fong, Nuclear lamins in the brain - new insights into function and regulation. Mol. Neurobiol. 47, 290–301 (2013)

    CAS  Article  PubMed  PubMed Central  Google Scholar 

  34. T. Wakabayashi, T. Mori, Y. Hirahara, T. Koike, Y. Kubota, Y. Takamori, H. Yamada, Nuclear lamins are differentially expressed in retinal neurons of the adult rat retina. Histochem. Cell Biol. 136, 427–436 (2011)

    CAS  Article  PubMed  Google Scholar 

  35. C.J. Hutchison, H.J. Worman, A-type lamins: guardians of the soma? Nat. Cell Biol. 6, 1062–1067 (2004)

    CAS  Article  PubMed  Google Scholar 

  36. F. Lin, H.J. Worman, Expression of nuclear lamins in human tissues and cancer cell lines and transcription from the promoters of the lamin A/C and B1 genes. Exp. Cell Res. 236, 378–384 (1997)

    CAS  Article  PubMed  Google Scholar 

  37. A. Matsumoto, M. Hieda, Y. Yokoyama, Y. Nishioka, K. Yoshidome, M. Tsujimoto, N. Matsuura, Global loss of a nuclear lamina component, lamin A/C, and LINC complex components SUN1, SUN2, and nesprin-2 in breast cancer. Canc. Med. 4, 1547–1557 (2015)

    CAS  Article  Google Scholar 

  38. U. Wazir, M.H. Ahmed, J.M. Bridger, A. Harvey, W.G. Jiang, A.K. Sharma, K. Mokbel, The clinicopathological significance of lamin A/C, lamin B1 and lamin B receptor mRNA expression in human breast cancer. Cell. Mol. Biol. Lett. 18, 595–611 (2013)

    CAS  Article  PubMed  Google Scholar 

  39. W.S. Lee, J.J. Jung, H.C. Jeung, S.W. Noh, B.K. Oh, K.Y. Kim, T.S. Kim, H.C. Chung, J.K. Roh, S.Y. Rha, Methylation status of lamin A/C in gastric cancer cell lines. Hepatogastroenterology 59, 1313–1318 (2012)

    CAS  Article  PubMed  Google Scholar 

  40. D. Constantinescu, H.L. Gray, P.J. Sammak, G.P. Schatten, A.B. Csoka, Lamin A/C expression is a marker of mouse and human embryonic stem cell differentiation. Stem Cells 24, 177–185 (2006)

    CAS  Article  PubMed  Google Scholar 

  41. D. Lourim, J.J. Lin, Expression of nuclear lamin A and muscle-specific proteins in differentiating muscle cells in ovo and in vitro. J. Cell Biol. 109, 495–504 (1989)

    CAS  Article  PubMed  Google Scholar 

  42. B. Liu, J. Wang, K.M. Chan, W.M. Tjia, W. Deng, X. Guan, J.D. Huang, K.M. Li, P.Y. Chau, D.J. Chen, D. Pei, A.M. Pendas, J. Cadinanos, C. Lopez-Otin, H.F. Tse, C. Hutchison, J. Chen, Y. Cao, K.S. Cheah, K. Tryggvason, Z. Zhou, Genomic instability in laminopathy-based premature aging. Nat. Med. 11, 780–785 (2005)

    CAS  Article  PubMed  Google Scholar 

  43. A. Peter, R. Stick, Evolution of the lamin protein family: what introns can tell. Nucleus 3, 44–59 (2012)

    Article  PubMed  Google Scholar 

  44. Y.S. Oh, D.G. Kim, G. Kim, E.C. Choi, B.K. Kennedy, Y. Suh, B.J. Park, S. Kim, Downregulation of lamin A by tumor suppressor AIMP3/p18 leads to a progeroid phenotype in mice. Aging Cell 9, 810–822 (2010)

    CAS  Article  PubMed  Google Scholar 

Download references

Acknowledgments

This work was supported by the King Abdullah International Medical Research Center (KAIMRC) and National Guard Health Affairs, and conducted at the College of Medicine, King Saud bin Abdulaziz University for Health Sciences, Riyadh, Kingdom of Saudi Arabia.

Author’s contributions

AA and AS conceived the experimental design. AJ and AS supervised the project. HS, JD, AB, SM and AG designed and performed the experiments and AJ, AA and JD analyzed the data and wrote the paper.

Author information

Affiliations

Authors

Corresponding author

Correspondence to Ahmad Aljada.

Ethics declarations

Competing interests

The authors have no conflict of interest to declare.

Rights and permissions

Reprints and Permissions

About this article

Verify currency and authenticity via CrossMark

Cite this article

Aljada, A., Doria, J., Saleh, A.M. et al. Altered Lamin A/C splice variant expression as a possible diagnostic marker in breast cancer. Cell Oncol. 39, 161–174 (2016). https://doi.org/10.1007/s13402-015-0265-1

Download citation

  • Accepted:

  • Published:

  • Issue Date:

  • DOI: https://doi.org/10.1007/s13402-015-0265-1

Keywords

  • Lamin A/C
  • Progerin
  • Breast cancer
  • Metastasis
  • Tumor marker